Peripheral blood B-cells and CXCR3 expression in chronic hepatitis C virus infection
- Authors: Arsentieva N.A.1,2, Elezov D.S.1, Kudryavtsev I.V.2,3, Korobova Z.R.1,2, Totolian A.A.1,2
-
Affiliations:
- St. Petersburg Pasteur Institute
- Pavlov First State Medical University of St. Petersburg
- Institute of Experimental Medicine
- Issue: Vol 15, No 3 (2025)
- Pages: 529-535
- Section: ORIGINAL ARTICLES
- Submitted: 29.05.2025
- Accepted: 08.06.2025
- Published: 15.09.2025
- URL: https://iimmun.ru/iimm/article/view/17939
- DOI: https://doi.org/10.15789/2220-7619-PBB-17939
- ID: 17939
Cite item
Full Text
Abstract
Hepatitis C virus (HCV) infection remains a serious global healthcare challenge, often leading to chronic disease with complications such as liver cirrhosis, hepatocellular carcinoma, and extrahepatic manifestations. According to the World Health Organization (WHO), an estimated about 50 million people lived with chronic HCV infection in 2022, highlighting the ongoing need to understand the immune mechanisms driving disease progression. HCV may evade of immunosurveillance, so that disease progression is linked to specific immune response, whereas reactivation risk after antiviral therapy exists, which together account for a need to gain understanding of underlying immune mechanisms. HCV may infect lymphocytes primarily B-cells serving as a virus reservoir and result in diverse systemic complications. The current study focused on analyzing peripheral blood CXCR3+ B-cells at various differentiation stages in patients with chronic HCV infection to assess a potential link to clinical and laboratory markers of disease progression. Blood samples collected from 58 patients with chronic HCV infection and 27 healthy controls were examined. When analyzing flow cytometry data, we noted a significant B-cell redistribution in HCV infection compared to control samples presented as a shift towards activated mature, resting memory and ‘double negative’ B-cells characterized by increased expression of chemokine receptor CXCR3. Flow cytometry analysis revealed no significant difference in total B-cell (CD19+) but elevated memory B-cells (CD27+CD19+) (p = 0.037). CXCR3 expression peaked on memory B-cells and increased across all B-cell subsets in HCV patients (p < 0.001). Redistribution toward differentiated B-cell subsets — double-negative (CD38–CD27–), resting memory (CD38–CD27+), and activated mature (CD38+CD27+) B-cells was observed, with elevated CXCR3+ percentage in the latter two subsets (p = 0.017 and p = 0.001, respectively). HCV viral load correlated positively with CD38+ B-cells and CXCR3+ naïve/activated mature subset counts but inversely with CD38+ B1/B2/memory cell levels. Genotype 1 and advanced fibrosis (F3/cirrhosis) were associated with reduced B2 cells and increased CXCR3+ B1/B2 subset levels. These findings suggest that chronic HCV infection drives B-cell differentiation and CXCR3-mediated recruitment to the liver, implicating CXCR3 in disease progression.
Keywords
Full Text
Introduction
Hepatitis C virus (HCV) infection remains a serious problem for global healthcare. The disease is often chronic, with the development of liver cirrhosis, hepatocellular carcinoma and/or extrahepatic complications. According to World Health Organization (WHO) data, in 2022 there were 50 million HCV patients worldwide [23].
Despite being known for tropism to liver tissues, HCV replicates not only in hepatocytes, but also in various types of immune cells. HCV infects the cell through interaction with CD81 receptor on the surface of hepatocytes and B lymphocytes. Some authors suggest that B-cell virus tropism leads to various systemic complications, such as mixed cryoglobulinemia [7], rheumatoid factor production [15], lymphoproliferative disorders [24], B-cellular lymphoma [20, 21]. In addition, it is likely that B-cells may act as an additional reservoir for HCV survival in the host [9]. Therefore, B lymphocytes can play a significant role in the immune aspects of chronic hepatitis C development and its complications.
Studying B-cell subsets and their role in development of infectious diseases is an object of high interest, correlating with clinical and laboratory markers of disease activity. However, subsets of peripheral B lymphocytes in chronic hepatitis C are poorly studies compared to other infections. In the classical way of B lymphocyte differentiation into subsets of B1, B2 and memory B-cells receptors CD5 and CD27 are used as markers. B2 cells (CD5–CD27–) form the main subset of B lymphocytes and play a major role in the humoral immune response. Memory B-cells expressing CD27 are more sensitive to antigen stimulation, they proliferate quickly and form plasma cells [5]. CD5-expressing B1 cells are associated with production of autoantibodies; their increase considered to be related with autoimmune pathology [10].
Another B lymphocyte differentiation scheme according to the stages of maturation is based on co-expression of CD27 and CD38 [8]. The smallest subset is transitional B-cells (CD38brightСD27–). This population migrates from bone marrow to secondary lymphoid organs as the earliest subset of B lymphocytes that appears in peripheral blood. The largest subset is “naïve” mature B-cells (CD38+CD27–) with signs both of “naïve” and mature B-cells. A subset of activated mature B-cells (CD38+CD27+) can be differentiated into a subset of resting memory B-cells (CD38–CD27+) or plasma cells (CD38brightCD27+). The final subset is “double negative” B-cells (CD38–CD27–) with no clearly described features [12].
This classification allows to better characterize both stages of maturation and B-cellular immune responses in chronic hepatitis C.
One of the most well studied chemokine receptors in HCV infection is CXCR3. The expression of this chemokine receptor increases significantly on B lymphocytes and, especially, on memory B-cells during chronic infection [16]. This reflects migration and involvement of these cells in damaged liver tissue and their participation in immunopathogenesis of chronic hepatitis C [13]. We, too, previously published data on B-cellular subsets and CXCR3 expression [1]. Within our previous study, we explored B1, B2 and B memory subsets between HCV infected individuals and controls. We noted no statistically significant differences between these groups. However, the percentage of CXCR3+ cells was higher in patients with HCV infection. To further investigate these finding, we improved the gating strategy by adding CD38. The use of current gating strategy based on CD27 and CD38 expression allows to determinate all main peripheral blood B lymphocyte subsets and measure CXCR3 expression. Moreover, we added severity of liver fibrosis and the viral load into analysis.
The purpose of this study is to investigate changes in the peripheral B and CXCR3+ B-cell subsets in chronic HCV patients and explore a relationship between clinical and laboratory markers of disease activity.
Materials and methods
For this study, we used blood samples from 58 patients with chronic hepatitis C infection. All patients were positive for HCV RNA, had not received antiviral therapy, and were not infected with HBV and/or HIV.
The control group included 27 healthy donors not infected with HCV, HBV and/or HIV. All participants lived in the North-West region of Russia.
Data acquisition was performed with flow cytometer Navios™ (Beckman Coulter, USA) equipped with 488 and 638 nm diode lasers. The following monoclonal antibodies (mAbs) were used with corresponding mouse IgG isotypes: CD5-FITC (clone BL1A), CD38-PE (clone LS198-4-3), CD3-ECD (clone UCHT1), CD27-PE/Cy7 (clone 1A4CD27), CXCR3-APC (clone G025H7), CD19-APC-Alexa Fluor 700 (clone J3–119).
All above-mentioned mAbs were manufactured by Beckman Coulter (USA), except for CXCR3-APC (by BioLegend, USA). Sample preparation was performed according to the standard procedure [2]. The gating strategy for the main B-cell subsets was described previously [11]. We used VersaLyse lysing solution (Beckman Coulter, USA) for erythrocyte lysis. At least 50 000 lymphocytes were analyzed in each sample. The absolute number of cells was determined using FlowCount™ reagent (Beckman Coulter, USA).
For a study of B-cell subsets content and CXCR3 expression depending on HCV genotype all patients were divided into two groups — genotype 1 (n = 35) and “non-1” genotype (n = 23). The stage of liver fibrosis was assessed via METAVIR scale (F0 — absence of fibrosis, F1 — weak fibrosis, F2 — moderate fibrosis, F3 — severe fibrosis and F4 — cirrhosis) [22]. Based on fibrosis stage, patients were divided into three groups: F0–F1 (n = 27), F2 (n = 12) and F3-F4 (n = 10). All patients were tested for viral load. Data were analyzed using Navios Software v.1.2 and Kaluza™ v.1.2 (Beckman Coulter, USA). Statistical analysis was performed using GraphPad Prizm 6 (GraphPad Software, USA). Data are presented as median, interquartile range (25; 75%), minimum and maximum values. Statistical significance between groups was determined by Mann–Whitney test, differences were considered significant at p < 0.05. Correlations between parameters were assessed using Spearman correlation analysis.
Results
The strategy of peripheral B lymphocyte subset analysis included separation of B-cells from other lymphocyte subsets based on CD19 expression. Then, using dot plot for a distribution of B-lymphocytes numbers of B1 (CD5+), B2 (CD5–CD27–) and B memory (CD27+) cells were determined by expression levels of CD5 and CD27. Based on co-expression of CD38 and CD27, we analyzed transitional cells (CD38brightСD27–), “naïve” mature cells (CD38+CD27–), resting memory cells (CD38–CD27+), activated mature cells (CD27+CD38+) and “double negative” cells (CD38–CD27–) (Fig. 1). Expression of the chemokine receptor CXCR3 was determined on a separate histogram for each subset of B-cells.
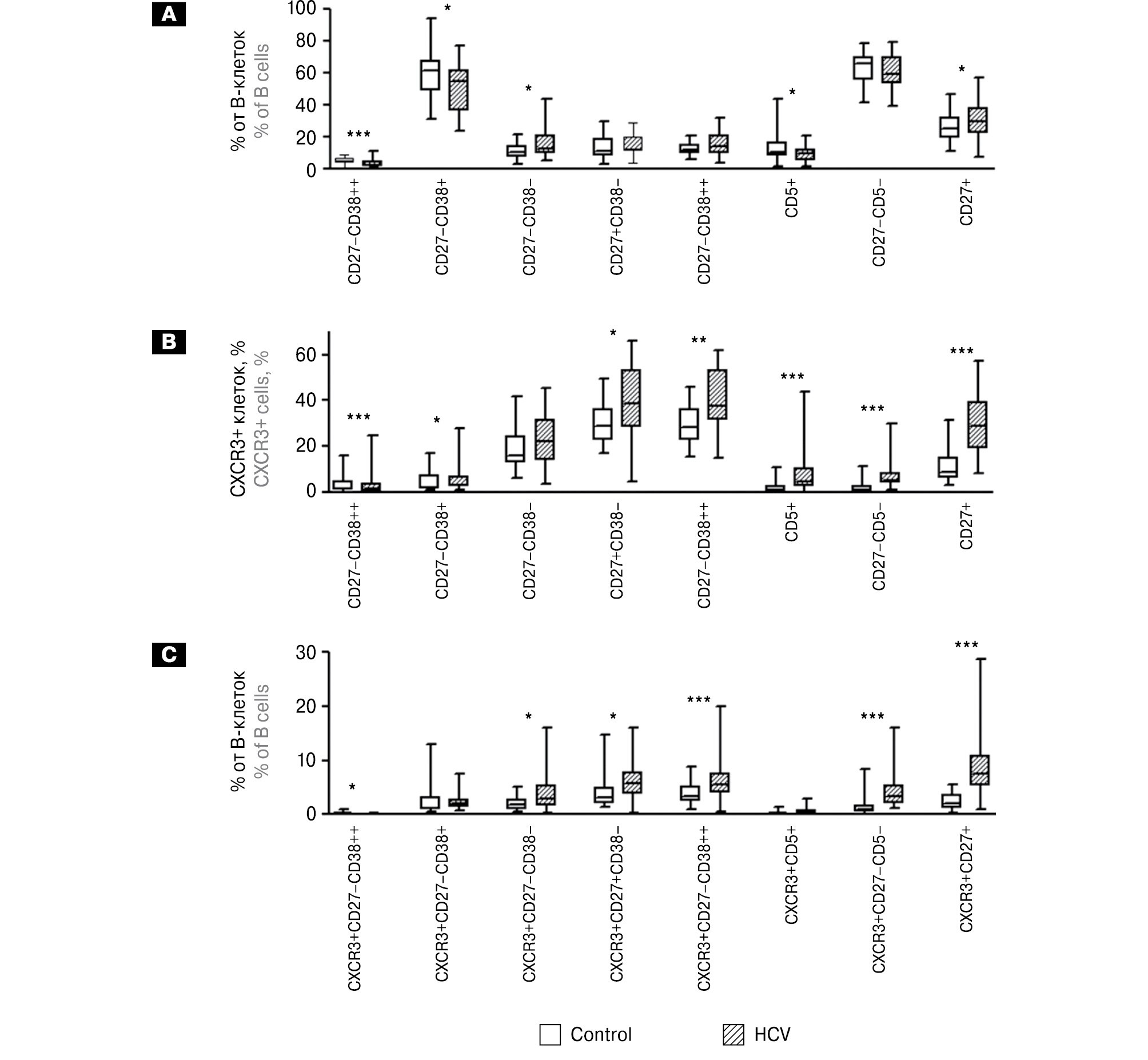
Figure 1. A distribution of the main B cell subsets by expression levels of CD27/CD5 (A) and CD38/CD27 (B)
The total number of B-cell subsets (CD19+) in peripheral blood of HCV patients was not significantly different (p = 0.68) from the control group. When B lymphocytes were divided into B1 (CD5+CD19+), B2 (CD5–CD27–CD19+) and B memory cells (CD27+CD19+), elevated numbers of memory B-cells were seen in HCV patients (p = 0.037). CXCR3 expression was different among B-cell subsets in both groups (Fig. 2). Memory B-cells expressed CXCR3 at high levels, whereas the expression for B1 and B2 cells was comparatively less. In HCV patients, an increased number of all three subsets of B-cells expressing CXCR3 (p < 0.001) was noted.
Figure 2. B lymphocyte subsets in peripheral blood of chronic HCV patients and healthy donors [Me (Q25–Q75)]
Note. A: The percentage of B cell subsets of total B lymphocytes (CD19+); B: The percentage of CXCR3+ cells of B cell subsets; C: The percentage of CXCR3+ B cell subsets of total B lymphocytes (CD19+). *p < 0.05; **p < 0.01; ***p < 0.001.
Numbers and percentages of transitional (CD38brightCD27–), “naïve” mature (CD38+CD27–), resting memory (CD38–CD27+), activated mature (CD38+CD27+), “double negative” B-cells (CD38–CD27–) and subsets of these cells expressing CXCR3 were determined. In HCV patients, a redistribution of B lymphocyte subset composition was seen, from “naïve» resting B-cells towards more differentiated subsets of “double negative”, resting memory and activated mature B-cells. The percentage of CXCR3+ cells was also elevated among resting memory B-cells (p = 0.017) and activated mature B-cells (p = 0.001).
The content of CD38+ cells of B lymphocytes (this subset includes transitional, “naïve» and activated mature B-cells) correlated with HCV viral load (r = 0.453; p = 0.014), and the content of CD38+ cells of B1 (r = –0.401; p = 0.031), B2 (r = –0.538; p = 0.003) and memory B-cells (r = –0.403; p = 0.030) inversely correlated with HCV viral load. Correlations were observed also between HCV viral load and the content of “double negative” B lymphocytes (CD38–CD27–) (r = 0.453; p = 0.014), CXCR3+ B lymphocyte subsets: CXCR3+ “naïve” mature B-cells (r = 0.394; p = 0.034) and CXCR3+ active mature B-cells (r = 0.477; p = 0.009).
Based on the HCV genotype, the group with genotype 1 there demonstrated a reduced (p = 0.009) percentage of B2 cells 55.57% (48.44; 59.32) compared with the group of healthy donors 68.96% (59.6; 72.43).
In the group of HCV patients with fibrosis F0 and F1, there were increased numbers of memory B subset (p = 0.015) and a reduction of B2 subset (p = 0.012) compared with the control group. In the group of HCV patients with F3 fibrosis and liver cirrhosis, an elevation of memory B-cell subset (p = 0.015) and reduction of B2 cell subset (p = 0.004) were seen compared to the HCV patients with F0 and F1 fibrosis. The numbers of CXCR3+ B1 and CXCR3+ B2 subsets in the group of patients with F3 fibrosis and liver cirrhosis were elevated compared with the group with F0 and F1 fibrosis (p = 0.050; p = 0.027). There was a trend towards a rise in the numbers of CXCR3+ B1 and CXCR3+ B2 cells as the fibrosis progressed (Fig. 3).
Figure 3. The composition of lymphocyte subsets in peripheral blood of chronic HCV patients with various stages of fibrosis (F0–F1, F2, F3–F4) and healthy donors [Me (Q25–Q75)]
Note. A: The percentage of B2 cells (CD5–CD27–) of total B lymphocytes; B: The percentage of memory B cells (CD27+) of total B lymphocytes; C: The percentage of CXCR3+ B cell of B1 lymphocytes (CD5+CD19+); D: The percentage of CXCR3+ B cells of B2 lymphocytes (CD5–CD27–). *p < 0.05; **p < 0.01; ***p < 0.001; F0–F1, F2, F3–F4 — groups of HCV patients at different stages of liver fibrosis.
Discussion
The available studies on memory B-cells in HCV patients are contradictory. Our results are most consistent with the results of Rosa et al., 2005 and show an increased percentage of memory B-cells in peripheral blood of HCV patients compared to the control group [16]. This is also consistent with the fact that CD27+ B-cells are less prone to apoptosis than CD27– B-cells [14] which explains their elevation in the peripheral blood. Memory B-cells are quickly activated by antigen stimulation.
In the group of HCV patients a reduced percentage of B1 cells was noted when compared to the total number of B lymphocytes. This finding, we believe, is most likely due to the increase in memory B-cells. Other studies either unchanged [18] or increased numbers of B1 cells [25] in peripheral blood of HCV patients. This could occur if the group included patients with systemic complications associated with the dysregulation of B-cellular immunity. In the meantime, HCV patients demonstrated a reduced number of less differentiated B-cell subsets (e.g., transitional and “naïve» mature) and an increase in more differentiated (activated mature, “double negative” B-cells). Our results demonstrate that chronic hepatitis C is associated with the redistribution (or an imbalance) in B-cellular fractions towards more differentiated cells.
CXCR3 expression is higher on more differentiated B-cell subsets, and our findings on CXCR3 expression suggest that these B-cell subsets are attracted to the infected liver tissues. Their presence in tissues and the degree of attraction varies: resting memory B-cells, activated mature B-cells, less “double negative” B-cells, and least CXCR3-expressing cells are transitional and “naïve» mature B-cells.
CXCR3 is involved in B lymphocyte transmigration through the endothelium of sinusoidal capillaries of liver [4]. Our results on the expression of CXCR3 on B lymphocytes and memory B-cells confirm already existing studies [14, 19].
Previously, we have published a review article on CXCR3 expression in various infections, and although it focuses mostly on CXCR3 expression in T cells, there are some points to be made concerning HCV [17]. For HCV infection, CXCL9, CXCL10, and CXCL11 are key ligands for CXCR3 that are elevated [6]. The persistent inflammation driven by CXCR3 ligands in HCV could influence B-cell activation, antibody production, and possibly autoantibody formation. High serum levels of CXCL10 are associated with advanced liver fibrosis and extrahepatic manifestations like vasculitis and autoimmune thyroiditis in HCV patients [3]. CXCL10 levels correlate with liver fibrosis scores and enzyme concentrations, suggesting a role in disease progression. Targeting CXCR3 or its ligands could be a potential therapeutic approach to modulate B-cell responses in HCV.
We believe that B lymphocytes, specifically their more differentiated subsets, are either constantly present, or migrate into the infected liver tissues during HCV infection.
Conclusions
We discovered that CD38 and CXCR3 expression on B-cells is dependent on viral load. In addition, we have demonstrated that the late stages of liver fibrosis are followed by the depletion of memory cells and an upsurge in CXCR3+ B1 and B 2 cells. When taking HCV genotype into account, patients with HCV genotype 1 demonstrated higher levels of B2 subsets. These relationships require further investigation and we encourage our readers and fellow colleagues to join the research of this topic.
About the authors
Natalia A. Arsentieva
St. Petersburg Pasteur Institute; Pavlov First State Medical University of St. Petersburg
Author for correspondence.
Email: arsentieva_n.a@bk.ru
PhD (Biology), Associate Professor of the Department of Immunology, Senior Researcher, Laboratory of Molecular Immunology
Россия, Санкт-Петербург; Санкт-ПетербургDmitrii S. Elezov
St. Petersburg Pasteur Institute
Email: elezovds@yahoo.com
PhD (Medicine), Junior Researcher, Laboratory of Molecular Immunology
Россия, St. PetersburgIgor V. Kudryavtsev
Pavlov First State Medical University of St. Petersburg; Institute of Experimental Medicine
Email: igorek1981@yandex.ru
PhD (Biology), Associate Professor of the Department of Immunology, Head of the Cell Immunology Laboratory, Department of Immunology
Россия, St. Petersburg; St. PetersburgZoya R. Korobova
St. Petersburg Pasteur Institute; Pavlov First State Medical University of St. Petersburg
Email: zoia-korobova@yandex.ru
Junior Researcher, Laboratory of Molecular Immunology, Assistant Professor, Department of Immunology
Россия, St. Petersburg; St. PetersburgAreg A. Totolian
St. Petersburg Pasteur Institute; Pavlov First State Medical University of St. Petersburg
Email: totolian@spbraaci.ru
RAS Full Member, DSc (Medicine), Professor, Director, Head of the Department of Immunology
Россия, St. Petersburg; St. PetersburgReferences
- Арсентьева Н.А., Кудрявцев И.В., Елезов Д.С., Семенов А.В., Басина В.В., Эсауленко Е.В., Тотолян Арег А. Экспрессия хемокинового рецептора СХСR3 на субпопуляциях В-лимфоцитов периферической крови больных хроническим вирусным гепатитом // Медицинская иммунология. 2013. Т. 15, № 5. С. 471–476. [Arsentyeva N.A., Kudryavtsev I.V., Elezov D.S., Semenov A.V., Basina V.V., Esaulenko E.V., Totolian A.A. Expression of chemokine receptor CXCR3 on subpopulations of peripheral blood B-lymphocytes in patients with chronic viral hepatitis. Meditsinskaya immunologiya = Medical Immunology (Russia), 2013, vol. 15, no. 5, pp. 471–476. (In Russ.)] doi: 10.15789/1563-0625-2013-5-471-476
- Хайдуков С.В., Байдун Л.А., Зурочка А.В., Тотолян Арег А. Стандартизованная технология «Исследование субпопуляционного состава лимфоцитов периферической крови с применением проточных цитофлюориметров-анализаторов» (Проект) // Медицинская иммунология. 2012. Т. 14, № 3. С. 255–268. [Khaydukov S.V., Baydun L.A., Zurochka A.V., Totolian Areg A. Standardized technology «Research of lymphocytes subpopulation composition in peripheral blood using flow cytometry analyzers» (Draft). Meditsinskaya immunologiya = Medical Immunology (Russia), 2012, vol. 14, no. 3, pp. 255–268. (In Russ.)] doi: 10.15789/1563-0625-2012-3-255-268
- Butera D., Marukian S., Iwamaye A.E., Hembrador E., Chambers T.J., Di Bisceglie A.M., Charles E.D., Talal A.H., Jacobson I.M., Rice C.M., Dustin L.B. Plasma chemokine levels correlate with the outcome of antiviral therapy in patients with hepatitis C. Blood, 2005, vol. 106, no. 4, pp. 1175–1182. doi: 10.1182/blood-2005-01-0126
- Curbishley S.M., Eksteen B., Gladue R.P., Lalor P., Adams D.H. CXCR3 activation promotes lymphocyte transendothelial migration across human hepatic endothelium under fluid flow. Am. J. Pathol., 2005, vol. 167, pp. 887–899. doi: 10.1016/S0002-9440(10)62060-3
- Fecteau J.F., Roy A., Néron S. Peripheral blood CD27+ IgG+ B-cells rapidly proliferate and differentiate into immunoglobulin-secreting cells after exposure to low CD154 interaction. Immunology, 2009, vol. 128, no. 1, pp. 353–365. doi: 10.1111/j.1365-2567.2008.02976.x
- Ferrari S.M., Fallahi P., Ruffilli I., Elia G., Ragusa F., Paparo S.R., Patrizio A., Mazzi V., Colaci M., Giuggioli D., Ferri C., Antonelli A. Immunomodulation of CXCL10 secretion by hepatitis C virus: could CXCL10 be a prognostic marker of chronic hepatitis C? J. Immunol. Res., 2019, vol. 2019: 5878960. doi: 10.1155/2019/5878960
- Ferri C., Antonelli A., Mascia M.T., Sebastiani M., Fallahi P., Ferrari D., Giunti M., Pileri S.A., Zignego A.L. B-cells and mixed cryoglobulinemia. Autoimmun. Rev., 2007, vol. 7, no. 2, pp. 114–120. doi: 10.1016/j.autrev.2007.02.019
- Hanley P., Sutter J.A., Goodman N.G., Du Y., Sekiguchi D.R., Meng W., Rickels M.R., Naji A., Prak E.T.L. Circulating B-cells in type 1 diabetics exhibit fewer maturation-associated phenotypes. Clin. Immunol., 2017, vol. 183, pp. 336–343. doi: 10.1016/j.clim.2017.09.021
- Ito M., Masumi A., Mochida K., Kukihara H., Moriishi K., Matsuura Y., Yamaguchi K., Mizuochi T. Peripheral B-cells may serve as a reservoir for persistent hepatitis C virus infection. J. Innate Immun., 2010, vol. 2, pp. 607–617. doi: 10.1159/000317690
- Kotb A., Ismail S., Kimito I., Mohamed W., Salman A., Mohammed A.A. Increased CD5+ B-cells are associated with autoimmune phenomena in lepromatous leprosy patients. J. Infect. Public Health, 2019, vol. 12, no. 5, pp. 656–659. doi: 10.1016/j.jiph.2019.03.001
- Kudryavtsev I.V., Arsentieva N.A., Batsunov O.K., Korobova Z.R., Khamitova I.V., Isakov D.V., Kuznetsova R.N., Rubinstein A.A., Stanevich O.V., Lebedeva A.A., Vorobyov E.A., Vorobyova S.V., Kulikov A.N., Sharapova M.A., Pevtcov D.E., Totolian A.A. Alterations in B cell and follicular T-helper cell subsets in patients with acute COVID-19 and COVID-19 convalescents. Curr. Issues Mol. Biol., 2021, vol. 44, no. 1, pp. 194–205. doi: 10.3390/cimb44010014
- Luning Prak E.T., Ross J., Sutter J., Sullivan K.E. Age-related trends in pediatric B-cell subsets. Pediatr. Dev. Pathol., 2011, vol. 14, no. 1, pp. 45–52. doi: 10.2350/10-01-0785-OA
- Mizuochi T., Ito M., Saito K., Kasai M., Kunimura T., Morohoshi T., Momose H., Hamaguchi I., Takai K., Iino S., Suzuki M., Mochida S., Ikebuchi K., Yamaguchi K. Possible recruitment of peripheral blood CXCR3+CD27+CD19+ B-cells to the liver of chronic hepatitis C patients. J. Interferon Cytokine Res., 2010, vol. 30, no. 4, pp. 243–252. doi: 10.1089/jir.2009.0047
- Mizuochi T., Ito M., Takai K., Yamaguchi K. Peripheral blood memory B-cells are resistant to apoptosis in chronic hepatitis C patients. Virus Res., 2011, vol. 155, no. 1, pp. 349–351. doi: 10.1016/j.virusres.2010.09.017
- Reyes-Avilés E., Kostadinova L., Rusterholtz A., Cruz-Lebrón A., Falck-Ytter Y., Anthony D.D. Presence of rheumatoid factor during chronic HCV infection is associated with expansion of mature activated memory B-cells that are hypo-responsive to B-cell receptor stimulation and persist during early stage of IFN-free therapy. PLoS One, 2015, vol. 10, no. 12: e0144629. doi: 10.1371/journal.pone.0144629
- Rosa D., Saletti G., De Gregorio E., Zorat F., Comar C., D’Oro U., Nuti S., Houghton M., Barnaba V., Pozzato G., Abrignani S. Activation of naive B lymphocytes via CD81, a pathogenetic mechanism for hepatitis C virus-associated B lymphocyte disorders. Proc. Natl Acad. Sci. USA, 2005, vol. 102, no. 51, pp. 18544–18549. doi: 10.1073/pnas.0509402102
- Rubinstein A., Kudryavtsev I., Arsentieva N., Korobova Z.R., Isakov D., Totolian A.A. CXCR3-expressing T cells in infections and autoimmunity. Front. Biosci. (Landmark Ed.), 2024, vol. 29, no. 8: 301. doi: 10.31083/j.fbl2908301
- Santer D.M., Hockman D., Landy A., Tyrrell D.L., Houghton M. Enhanced activation of memory, but not naïve, B-cells in chronic hepatitis C virus–infected patients with cryoglobulinemia and advanced liver fibrosis. PLoS One, 2013, vol. 8, no. 6: e68308. doi: 10.1371/journal.pone.0068308
- Shetty S., Bruns T., Weston C.J., Stamataki Z., Oo Y.H., Long H.M., Reynolds G.M., Pratt G., Moss P., Jalkanen S., Hubscher S.J., Lalor P.F., Adams D.H. Recruitment mechanisms of primary and malignant B-cells to the human liver. Hepatology, 2012, vol. 56, pp. 1521–1531. doi: 10.1002/hep.25790
- Tasleem S., Sood G.K. Hepatitis C–associated B-cell non-Hodgkin lymphoma: clinical features and the role of antiviral therapy. J. Clin. Transl. Hepatol., 2015, vol. 3, no. 2, pp. 134–139. doi: 10.14218/JCTH.2015.00011
- Visco C., Finotto S. Hepatitis C virus and diffuse large B-cell lymphoma: pathogenesis, behavior and treatment. World J. Gastroenterol., 2014, vol. 20, no. 32, pp. 11054–11061. doi: 10.3748/wjg.v20.i32.11054
- Weerakkody Y., Bell D., Rezaee A. METAVIR score. Reference article. Radiopaedia.org, 2025. doi: 10.53347/rID-51855
- World Health Organization. Global Hepatitis Report 2024. World Health Organization, Geneva, 2024, p. 19. doi: 10.9789240091672
- Zignego A.L., Giannini C., Ferri C. Hepatitis C virus-related lymphoproliferative disorders: an overview. World J. Gastroenterol., 2007, vol. 13, no. 17, pp. 2467–2478. doi: 10.3748/wjg.v13.i17.2467
- Zuckerman E. Expansion of CD5+ B-cells overexpressing CD81 in HCV infection: towards better understanding the link between HCV infection, B-cell activation and lymphoproliferation. J. Hepatol., 2003, vol. 38, no. 5, pp. 674–676. doi: 10.1016/S0168-8278(03)00122-3
Supplementary files







