Regulation of immune response by permafrost microorganism metabolites via effector T-lymphocytes
- Authors: Petrov S.A.1, Sukhovey Y.G.1, Kalenova L.F.1, Kostolomova E.G.2, Kastornov A.A.1
-
Affiliations:
- Tyumen Scientific Centre SB RAS
- Tyumen State Medical University
- Issue: Vol 15, No 3 (2025)
- Pages: 543-550
- Section: ORIGINAL ARTICLES
- Submitted: 14.08.2024
- Accepted: 29.11.2024
- Published: 15.09.2025
- URL: https://iimmun.ru/iimm/article/view/17758
- DOI: https://doi.org/10.15789/2220-7619-ROI-17758
- ID: 17758
Cite item
Full Text
Abstract
Infectious agents have closely interacted with the human immune system, acquiring a set of highly sophisticated mechanisms for modulating immunity. One of the survival strategies for viruses, bacteria, protozoa, helminths and fungi is to target the regulatory T cell network (Treg: CD4+CD25hiCD127–) that controls immunopathogenic responses in many infections. Not only pathogens but also commensals are able to directly induce the conversion of naive T cells into suppressive Foxp3-expressing Tregs, while others activate pre-existing natural Tregs, in both cases suppressing pathogen-specific effector responses. However, Tregs can also contribute to immunity under certain conditions, such as at the initial stages of infection when effector cells must gain access to the site of infection, and subsequently in ensuring the generation of effector memory cells. It is noteworthy that currently little information on whether infections selectively drive pathogen-specific Tregs, and if so, whether such cells are also reactive to autoantigens are available. Further analysis of Treg subset specificity, along with a clearer picture of relative dynamics during the disease, should lead to rational strategies of immune intervention to optimize immunity and eliminate the infectious process. Thus, restoration of Treg function is important in the treatment of infectious, autoimmune and other diseases and can serve as a marker of their successful treatment. The article assesses the effect of exometabolites of derived from permafrost Bacillus bacteria obtained at different temperature conditions of their cultivation on the activity of Treg and effector T lymphocyte differentiation. Significant differences were established: secondary microbial exometabolites affect Treg (CD4+CD25hiCD127–) differentiation and expression of activation markers (CD69, CD25, HLA-DR) on CD4+ and CD8+ T lymphocytes. This effect is regulated by the type of metabolites obtained at different temperatures — “cold” (obtained at 5°C of bacterial incubation), “medium-temperature” (at 22°C) and “heat” (at 37°C) metabolites. In this case, an increase in the Treg level is associated with lower differentiation activity of CD4+ T-lymphocytes exposed to “cold” secondary exometabolites, a decrease in the differentiation activity of CD8+ T-lymphocytes treated with “warm” secondary exometabolites, and a roughly equivalent effect on the differentiation activity of CD4+ and CD8+ T-lymphocytes acted upon by “medium-temperature” secondary exometabolites.
Full Text
Введение
Регуляторные Т-клетки имеют фенотип CD3+CD4+CD25hiCD127–. Они способны блокировать или подавлять иммунную реактивность in vivo и in vitro. Различают естественные (nTreg), которые дифференцируются непосредственно в тимусе, и индуцибельные (iTreg) подгруппы Treg. Последние формируются в периферических лимфоидных органах из Т-клеток под влиянием различных факторов, в том числе при контакте с дендритными клетками, макрофагами, цитокинами IL-10 и TGF-β и др. Процесс антигенной активации эффекторных CD4+ и CD8+ T-лимфоцитов проявляется последовательной экспрессией на мембране клеток активационных маркеров (CD69, CD25 и HLA-DR). Уровень CD69 повышается через 3–12 часов после активации лимфоцитов, CD25 — в течение 24 часов после стимуляции TCR, а HLA-DR экспрессируется на мембране клеток примерно через 48 часов после активации [8, 19, 21].
Критически важными становятся задачи поиска соединений, избирательно воздействующих на мишень, и разработки подходящего метода их применения при тех или иных заболеваниях [1]. Известны микробные иммуномодуляторы, которые широко применяются в клинике и содержат рибосомально-протеогликановые комплексы и лизаты из наиболее распространенных возбудителей инфекций ЛОР-органов и дыхательных путей. Показано, что введение мышам дикого типа синтетического бактериального липопротеина Pam3Cys SK4 — лиганда TLR2 — приводило к значительному увеличению числа CD4+CD25+ Treg клеток [20]. Под влиянием V-антигена Yersinia enterocolitica активировался TLR2 и усиливалась продукция IL-10, что приводило к иммуносупрессии [18]. LPS грамотрицательных бактерий через мишени CD4+CD25+ Treg клеток реализуют механизм иммуносупрессии — взаимодействие LPS с TLR4 приводит к резкому увеличению иммуносупрессивной способности антиген-неспецифических Treg клеток [7]. Синтетический бактериальный липопротеин Pam3Cys SK4 через мишени CD4+CD25+ Treg клеток также обладает осуществляет иммуносупрессивное воздействие — взаимодействие Pam3Cys SK4 с TLR2 приводит к увеличению числа CD4+CD25+ Treg клеток [20].
В последнее время активно проводятся исследования комменсального микробиома человека, в первую очередь в желудочно-кишечном тракте. Комменсальная кишечная микробиота интенсивно взаимодействует с иммунной системой, индуцируя выработку IL-10 Т-клетками и подавляя продукцию IL-17, и, как будет показано далее, способствует дифференциации регуляторных Т-клеток через TLR2 [12]. Комменсалы участвуют в регуляции активности Treg, отчасти и потому, что они образуют биологический континуум (многие комменсалы являются оппортунистическими патогенами), а также из-за общих сигнальных путей и специфических рецепторов, которые участвуют в их распознавании (табл. 1).
Таблица 1. Влияние комменсальной микробиоты на Treg-клетки
Table 1. Effect of commensal microbiota on Treg cells
Комменсальная микробиота Commensal microbiota | Цитата Quote | Ссылка Reference |
Bacteroides fragilis (Gram–) | Стимулирует продукцию Treg через связывание полисахарида с TLR2 Drives Treg expansion, through PSA binding to TLR2 | |
Bifidobacterium infantis (Gram+) | Индуцируют Treg, которые опосредованно подавляют воспаление после заражения слизистой S. typhimurium Induction of Tregs, bystander suppression of inflammation following mucosal S. typhimurium infection | [15] |
Clostridium species (Gram+) | Опосредует индукцию Treg посредством TGF-b, защищает от колита DSS Mediates Treg induction through TGF-b, protects against DSS colitis | [6] |
Helicobacter hepaticus (Gram–) | Tr1-подобные клетки, продуцирующие IL-10, блокируют воспаление кишечника Tr1-like IL-10-producing cells block gut inflammation | [13] |
Streptococcus pneumoniae (Gram+) | CD8+CD28+ подавляющие Treg, продуцирующие IL-10 и TGF-b CD8+CD28+ suppressive Tregs producing IL-10 and TGF-b | [12] |
В этом плане перспективными для разработки микробных иммуномодулирующих соединений, избирательно воздействующих на дифференциацию регуляторных Т-клеток, и подходящего метода их применения при тех или иных заболеваниях являются микроорганизмы многолетнемерзлых пород (МО ММП). Ранее нами было установлено, что их метаболиты оказывают влияние на дифференцировку моноцитов периферической крови человека in vitro, а также продукцию мононуклеарными клетками периферической крови человека TNFa, IL-1b и IL-10 [2, 3, 9, 10, 11]. При этом, в отличии от комменсала (штамма IP5832 Bacillus cereus), индукция секреции IL-10 мононуклеарными клетками превышала в 15–20 раз при воздействии экзометаболитов МО ММП. Определение соотношения TNFa/IL-10 и IL-1b/IL-10 показало способность данных экзометаболитов, полученных при 42°С, сдвигать баланс в сторону синтеза противовоспалительных цитокинов.
Цель настоящей работы — оценить влияние экзометаболитов МО ММП, полученных при разных температурных режимах их инкубации, на активность дифференцировки Тreg и эффекторных Т-лимфоцитов.
Материалы и методы
В исследовании использованы 2 штамма МО ММП: 875 TS Bacillus megaterium и 9-08-CH9 Bacillus sp., зарегистрированные в ВКПМ (регистрационные номера 12242 и 12401 соответственно). МО ММП культивировали на ГРМ-агаре. Смыв микроорганизмов в дозе 107 микробных клеток в 1 мл физиологического раствора инкубировали 72 ч при 5°C («холодная» температура), 22°C («средняя» температура) и 37°C («теплая» температура). Микробную взвесь пропускали через мембранные фильтры (0,22 мкм; Millipore) и получали 3 вида метаболитов (МБ) — «холодовые» (МБ-Х), «среднетемпературные» (МБ-С) и «тепловые» (МБ-Т).
Мононуклеарные клетки (МНК) человека выделяли из гепаринизированной периферической крови группы 0(Rh+) на градиенте плотности DIACOLL-1077. Кровь получали от трех доноров (мужчины 25–30 лет), давших информированное добровольное согласие на взятие крови и проведение данного исследования. Культивирование МНК проводили в полной культуральной среде RPMI-1640 в присутствии 5% СО2 при 37°C в триплетах в течение 1, 3 и 7 сут. В контрольных пробах к культуре МНК добавляли полную культуральную среду. С учетом исходной пробы МНК получилось 4 контрольные группы (по 9 проб в группе). В опытных группах добавляли соответственно МБ-Х, МБ-С и МБ-Т соответствующего штамма МО. С учетом 2 штаммов МО, 2 типов МБ и 2 временных интервалов культивирования МНК получилось 18 опытных групп (по 6 проб в каждой группе). Содержание (%) регуляторных (Treg, CD3+ CD4+CD25hiCD127–), хелперных (CD45+CD3+CD4+CD8–) и цитотоксических (CD45+CD3+CD4–CD8+) Т-лимфоцитов с маркерами ранней (CD69), средней (CD25) и поздней (HLA-DR) активации определяли методом проточной цитометрии на цитофлюориметре CytoFLEX (Beckman Coulter, США) в гейте лимфоцитов. Для идентификации лимфоцитов использовали моноклональные антитела Beckman Coulter согласно инструкциям производителя. Результаты обрабатывали в программе Kaluza Analysis (Beckman Coulter, США). В каждом образце анализировали не менее 5 × 105 клеток.
Анализ характера распределения исследуемых показателей соответствовал нормальному, поэтому достоверность различий между группами оценивали по t-критерию Стьюдента в программе SPSS Statistics 21 (IBM). Критический уровень значимости при проверке статистических гипотез принимали равным 0.05. Для удобства анализа результаты исследования отражены на рисунках в процентах от контрольного уровня.
Результаты
В контрольных пробах (табл. 2) в динамике культивирования МНК у CD4 и CD8 Т-лимфоцитов происходит смена экспрессии активационных маркеров с CD69 в первые сутки на CD25 на третьи сутки и на HLA-DR с максимумом на седьмые сутки, что согласуется с данными других авторов [19, 21].
Таблица 2. Активность дифференцировки Т-лимфоцитов в контрольной группе, %
Table 2. T-lymphocyte differentiation activity in the control group, %
Маркеры активации Activation markers | 1 сутки 1 day | 3 сутки 3 day | 7 сутки 7 day |
CD45+CD3+CD4+CD8–CD69+ | 5,4±0,4 | 1,9±0,2 | 0,22±0,03 |
CD45+CD3+CD4+CD8–CD25+ | 2,1±0,2 | 3,0±0,27 | 0,5±0,04 |
CD45+CD3+CD4+CD8–HLA-DR+ | 0 | 0,7±0,05 | 3,8±0,3 |
CD45+CD3+CD4–CD8+CD69+ | 6,2±0,54 | 1,9±0,17 | 0,38±0,03 |
CD45+CD3+CD4–CD8+CD25+ | 1,9±0,13 | 5,5±0,48 | 0,8±0,07 |
CD45+CD3+CD4–CD8+HLA-DR+ | 0 | 1,3±0,11 | 4,1±0,35 |
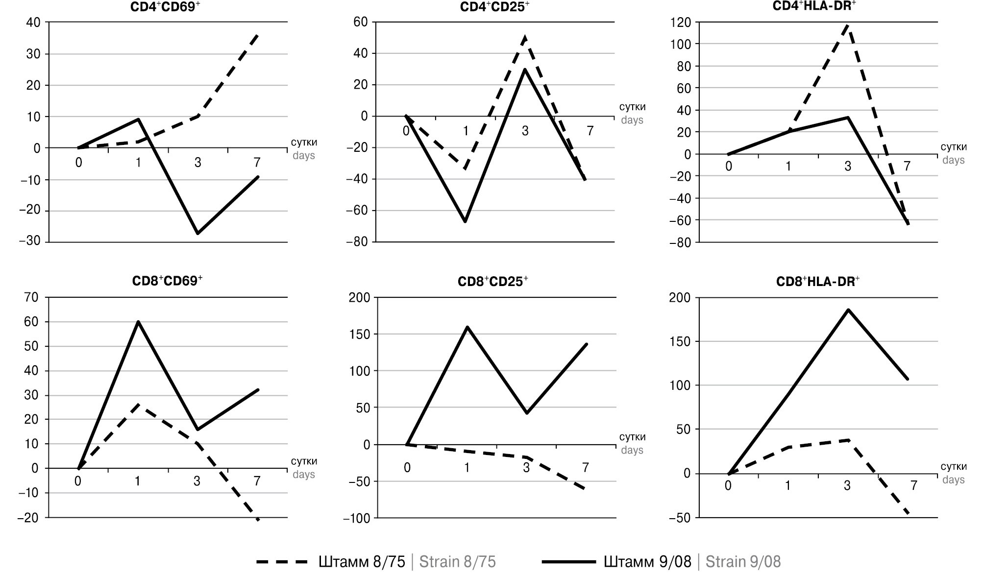
МБ-Х разных штаммов МО (рис. 1) оказали разное влияние на активность дифференцировки Т-лимфоцитов по сравнению с контролем. МБ-Х штамма 9-08-CH9 стимулировали экспрессию маркеров средней активации (CD4+CD25+ и CD8+CD25+); штамма 875 TS — экспрессию маркеров поздней активации (CD45+CD3+CD4+CD8–HLA-DR+ и CD45+CD3+CD4–CD8+HLA-DR+). Причем стимулирующее влияние МБ-Х на активность дифференцировки CD8 Т-лимфоцитов оказалось в 2–3 раза выше, чем CD4 Т-лимфоцитов.
Рисунок 1. Влияние МБ-Х на активность дифференцировки Т-лимфоцитов (в % отличия от контрольного уровня)
Figure 1. Effect of MB-X on the activity of T-lymphocyte differentiation (in % of difference from the control level)
Примечание. Достоверность отличия показателей в опытной группе от контроля: * — p > 0,05; ** — p > 0,01.
Note. Reliability of the difference in indicators in the experimental group from the control: * — p > 0.05; ** — p > 0.01.
МБ-С разных штаммов МО (рис. 2) примерно в равной степени индуцируют активность дифференцировки CD45+CD3+CD4+CD8– и CD45+CD3+CD4–CD8+ Т-лимфоцитов.
Рисунок 2. Влияние МБ-С на активность дифференцировки Т-лимфоцитов (в % отличия от контрольного уровня)
Figure 2. The effect of MB-S on the activity of T-lymphocyte differentiation (in % of difference from the control level)
Примечание. Достоверность отличия показателей в опытной группе от контроля: * — p > 0,05; ** — p > 0,01.
Note. Reliability of the difference in indicators in the experimental group from the control: * — p > 0.05; ** — p > 0.01.
Под влиянием МБ-С штамма 875 TS повысили уровень экспрессии маркеров поздней активации (CD4+HLA-DR+), а под влиянием МБ-С штамма 9-08-CH9 значимо возросла экспрессия маркеров средней и поздней активации (CD8+CD25+ и CD8+HLA-DR+).
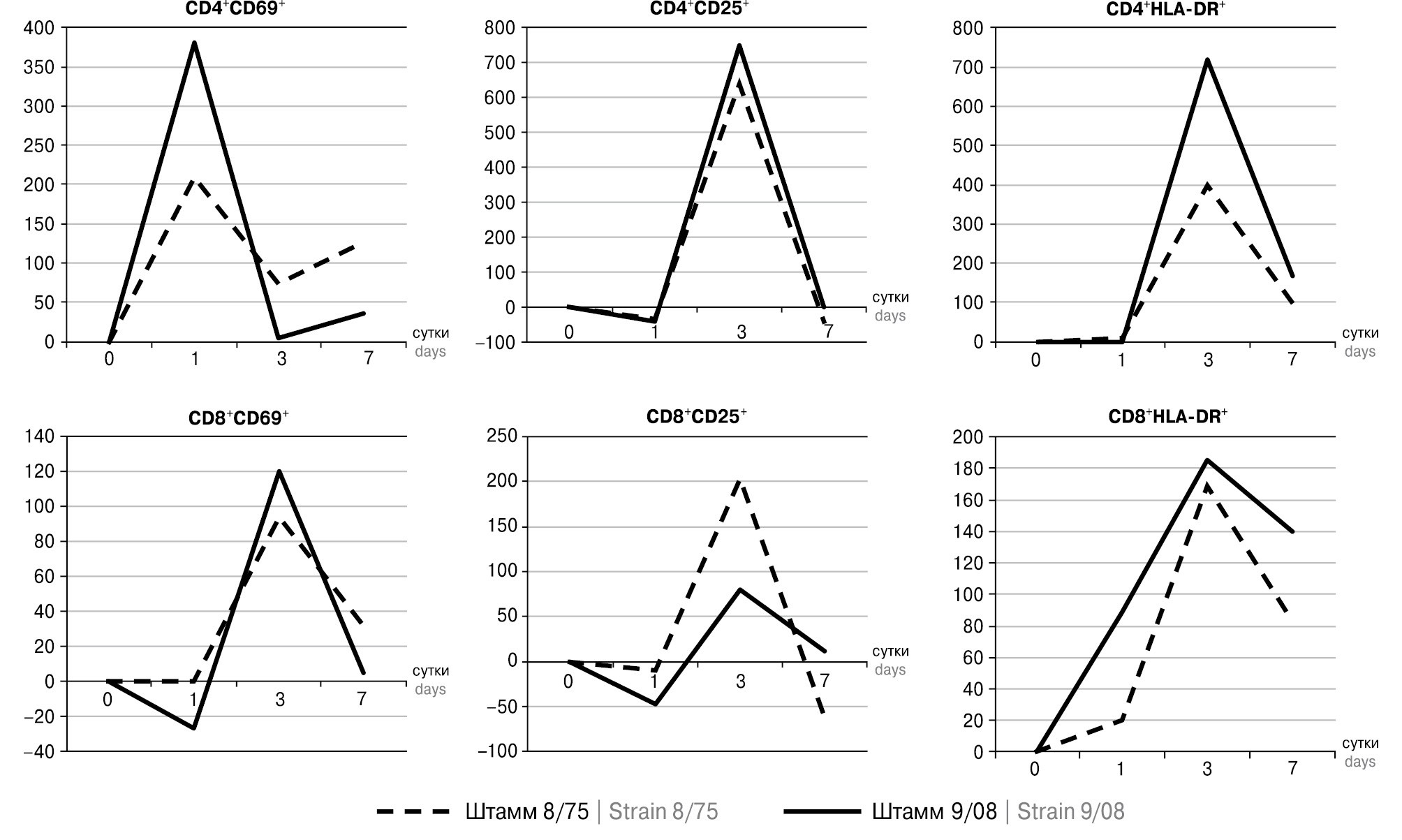
МБ-Т (рис. 3) штаммов 9-08-CH9 и 875 TS у обоих субпопуляций Т-лимфоцитов достоверно стимулировали экспрессию маркеров ранней, средней и поздней активации.
Рисунок 3. Влияние МБ-Т на активность дифференцировки Т-лимфоцитов (в % отличия от контрольного уровня)
Figure 3. The effect of MB-T on the activity of T-lymphocyte differentiation (in % of difference from the control level)
Примечание. Достоверность отличия показателей в опытной группе от контроля: * — p > 0,05; ** — p > 0,01.
Note. Reliability of the difference in indicators in the experimental group from the control: * — p > 0.05; ** — p > 0.01.
Уровень Treg (CD4+CD25hiCD127–) в контрольной группе (табл. 3) был относительно стабилен на протяжении всего срока (7 суток) культивирования МНК.
Таблица 3. Влияние вида МБ на активность дифференцировки Тreg, %
Table 3. Effect of MB type on Treg differentiation activity, %
Штаммы Strains | 1 сутки 1 day | 3 сутки 3 day | 7 сутки 7 day |
Контроль Control | 6,9±0,58 | 5,4±0,36 | 6,1±0,47 |
МБ-Х | MB-Х | |||
875 TS | 9,4±0,83** | 7,7±0,68** | 5,3±0,44 |
9-08-CH9 | 5,3±0,38** | 12±0,78** | 5,5±0,37 |
МБ-С | MB-S | |||
875 TS | 5,2±0,76* | 7,3±0,65** | 6,2±0,58 |
9-08-CH9 | 9,9±0,75** | 6,2±0,48 | 6,5±0,56 |
МБ-Т | MB-T | |||
875 TS | 11,8±0,97** | 13,3±1,17** | 7,5±0,73 |
9-08-CH9 | 24,5±1,75** | 15,9±1,27** | 9,4±0,74** |
Примечание. * — достоверность отличия c контролем (* — p > 0,05; ** — p > 0,01).
Note. * — significance of difference with control (* — p > 0.05; ** — p > 0.01).
МБ всех видов в той или иной степени стимулируют дифференцировку Treg на 1–3 сутки культивирования клеток. Так, МБ-Х и МБ-С стимулировали экспрессию CD4+CD25hiCD127– на 20–60%, а МБ-Т — на 40–250% относительно контрольного уровня. Выделяется штамм 9-08-CH9, МБ-Т которого в 2–3 раза активнее других штаммов и видов МБ стимулировали дифференцировку Treg.
Обсуждение
Воздействие на Treg широкого спектра инфекционных организмов неизбежно высветит индивидуальные особенности каждой системы с уникальными нишами, динамикой и молекулярными взаимодействиями. Тем не менее очевидно, что Treg участвуют в исходе почти каждого изучаемого инфекционного эпизода, не обязательно играя центральную роль, но неизменно изменяя масштаб и режим иммунитета. Более того, у многих биологических объектов — от вирусов до червей — их вмешательство имеет решающее значение. В течение длительного эволюционного времени бактерии рода Bacillus из обводненных дисперсных пород, перешедших в мерзлое состояние, выработали эффективные и часто изощренные средства выживания в жесткой среде обитания за длительный период времени. Среди многих стратегий, используемых бактериями рода Bacillus, использование регуляторного компартмента Т-клеток несомненно является одной из наиболее эффективных.
Тем не менее в перипетиях эволюции коадаптации хозяина и экзометаболитов бактерий рода Bacillus развились некоторые удивительные взаимодействия. Ключевое событие в развитии адаптивного иммунного ответа — этапная активация как Т-хелперов/индукторов (CD45+CD3+CD4+CD8–), так и Т-супрессорно-цитотоксических (CD45+CD3+CD4–CD8+) клеток от экспрессии на их клеточной мембране от CD69 в первые сутки к CD25 на третьи сутки и HLA-DR на седьмые сутки с сохранением иммунорегуляторного индекса (ИРИ) в пределах 0,54–0,92. Увеличение числа HLA-DR-позитивных лимфоцитов может свидетельствовать не только о цитокин-опосредованном запуске процессов дифференцировки и созревания клеток, но также об участии HLA-DR-позитивных лимфоцитов в подавлении гиперактивации иммунной системы [4, 5].
В работе показано, что МБ МО ММП могут оказывать непосредственное влияние на активность дифференцировки регуляторных и эффекторных Т-лимфоцитов. Причем данным эффектом можно управлять, изменяя температурные режимы получения МБ. Под влиянием «холодовых» МБ увеличение численности Treg в большей степени ассоциируется со снижением активности дифференцировки эффекторных Т-лимфоцитов в субпопуляцию CD45+CD3+CD4+CD8– клеток (в 2–3 раза по сравнению с уровнем активности CD45+CD3+CD4–CD8+ клеток). Под влиянием «тепловых» МБ супрессивная активность Treg в большей степени ассоциируется со снижением активности дифференцировки CD45+CD3+CD4–CD8+ клеток (в 3–4 раза по сравнению с уровнем активности CD45+CD3+CD4+CD8– клеток). Под влиянием МБ-С Treg оказывали примерно равнозначное влияние на дифференцировку хелперно-индукторных и супрессорно-цитотоксических Т-лимфоцитов. Полученные данные в значительной степени объясняют механизм выявленных нами ранее иммуномодулирующих свойств МО ММП [2, 9, 10, 11].
About the authors
Sergei A. Petrov
Tyumen Scientific Centre SB RAS
Author for correspondence.
Email: tumiki@yandex.ru
DSc (Medicine), Professor, Head Researcher, Department of Cryosphere Bioresources
Россия, TyumenYuri G. Sukhovey
Tyumen Scientific Centre SB RAS
Email: i_yura62@mail.ru
DSc (Medicine), Professor, Head Researcher, Department of Cryosphere Bioresources
Россия, TyumenLyudmila F. Kalenova
Tyumen Scientific Centre SB RAS
Email: lkalenova@mail.ru
DSc (Medicine), Head Researcher, Department of Cryosphere Bioresources
Россия, TyumenElena G. Kostolomova
Tyumen State Medical University
Email: lenakost@mail.ru
PhD (Biology), Associate Professor, Department of Microbiology
Россия, TyumenAlexander A. Kastornov
Tyumen Scientific Centre SB RAS
Email: alexkastornov@yandex.ru
Junior Researcher, Department of Cryosphere Bioresources
Россия, TyumenReferences
- Гариб Ф.Ю., Ризопулу А.П. Использование Т-регуляторных клеток хозяина в стратегии иммунной эвазии патогенов (обзор) // Биохимия. 2015. Т. 80, вып. 8. С. 1141–1159. [Garib F.Yu., Rizopulu A.P. T-regulatory cells as part of the strategy of immune evasion by pathogens. Biokhimiya = Biochemistry (Moscow), 2015, vol. 80, iss. 8, pp. 1141–1159. (In Russ.)]
- Литвинова Л.С., Гуцол А.А., Сохоневич Н.А., Кофанова К.А., Хазиахматова О.Г., Шуплецова В.В., Кайгородова Е.В., Гончаров А.Г. Основные поверхностные маркеры функциональной активности Т-лимфоцитов // Медицинская иммунология. 2014. Т. 6, № 1. С. 7–26. [Litvinova L.S., Gutsol A.A., Sokhonevich N.A., Kofanova K.A., Khaziakhmatova O.G., Shupletsova V.V., Kaigorodova E.V., Goncharov A.G. Basic surface markers of functional activity T-lymphocytes. Meditsinskaya immunologiya = Medical Immunology (Russia), 2014, vol. 6, no. 1, pp. 7–26. (In Russ.)] doi: 10.15789/1563-0625-2014-1-7-26
- Юрова К.А., Хазиахматова О.Г., Тодосенко Н.М., Литвинова Л.С. Оценка влияния γC-цитокинов (IL-2, IL-7 и IL-15) на экспрессию молекул поздней активации и апоптоза (CD95 И HLA-DR) CD4+/CD8+ Т-лимфоцитами в популяции CD45RA Т-клеток in vitro // Иммунология. 2018. Т. 39, № 1. С. 20–25. [Yurova K.A., Khaziakhmatova O.G., Todosenko N.M., Litvinova L.S. Evaluation of the effect of γccytokines (IL-2, IL-7 and IL-15) on expression of the late activation molecules and apoptosis (CD95 and HLA-DR) CD4+/CD8+ T-lymphocytes in a population of CD45RA T cells in vitro. Immunologiya = Immunologiya, 2018, vol. 39, no. 1, pp. 20–25 (In Russ.)] doi: 10.18821/0206-4952-2018-39-1-20-25
- Atarashi K., Tanoue T., Shima T., Imaoka A., Kuwahara T., Momose Y., Cheng G., Yamasaki S., Saito T., Ohba Y., Taniguchi T., Takeda K., Hori S., Ivanov I.I., Umesaki Y., Itoh K., Honda K. Induction of colonic regulatory T cells by indigenous Clostridium species. Science, 2011, vol. 331, pp. 337–341. doi: 10.1126/science.1198469
- Caramalho I., Lopes Carvalho T., Ostler D., Zelenay S., Haury M., Demengeot J. Regulatory T cells selectively express toll like receptors and are activated by lipopolysaccharide. J. Exp. Med., 2003, vol. 197, pp. 403–411. doi: 10.1084/jem.20021633
- Cibrián D., Sánchez-Madrid F. CD69: from activation marker to metabolic gatekeeper. Eur. J. Immunol., 2017, vol. 47, no. 6, pp. 946–953. doi: 10.1002/eji.201646837
- Kalenova L.F., Kolyvanova S.S. Effects of temperature on the ability of metabolites from permafrost microorganisms to activate the synthesis of systemic cytokines by mononuclear cells. Bull. Exp. Biol. Med., 2019, vol. 168, no. 1, pp. 72–75. doi: 10.1007/s10517-019-04650-6
- Kalenova L.F., Petrov S.A., Bazhin A.S. Dose-dependent effect of Bacillus sp. metabolites from permafrost on lymphocyte differentiation in the thymus. Bull. Exp. Biol. Med., 2020, vol. 169, no. 1, pp. 67–70. doi: 10.1007/s10517-020-04826-5
- Kalenova L.F., Petrov S.A., Subbotin A.M., Narushko M.V., Bazhin A.S. Influence of paleobacteria on the proliferative activity of human lymphocytes in vitro. Bull. Exp. Biol. Med., 2023, vol. 174, no. 6, pp. 758–761. doi: 10.1007/s10517-023-05787-1
- Kalenova L.F., Petrov S.A., Sukhovei Yu.G. Reparative and immunomodulatory potential of low-molecular-weight fractions of secondary metabolites of Bacillus sp. Bull. Exp. Biol. Med., 2022, vol. 172, no. 3, pp. 332–336. doi: 10.1007/s10517-022-05387-5
- Kullberg M.C., Jankovic D., Gorelick P.L., Caspar P., Letterio J.J., Cheever A.W., Sher A. Bacteria-triggered CD4(+) T regulatory cells suppress Helicobacter hepaticusinduced colitis. J. Exp. Med., 2002, vol. 196, pp. 505–515. doi: 10.1084/jem.20020556
- Maizels R.M., Smith K.A. Regulatory T cells in infection. Adv. Immunol., 2011, vol. 112, pp. 73–136. doi: 10.1016/B978-0-12-387827-4.00003-6
- Mertens J., Fabri M., Zingarelli A., Kubacki T., Meemboor S., Groneck L., Seeger J., Bessler M., Hafke H., Odenthal M., Bieler J.G., Kalka C., Schneck J.P., Kashkar H., Kalka-Moll W.M. Streptococcus pneumoniae serotype 1 capsular polysaccharide induces CD8CD28 regulatory T lymphocytes by TCR crosslinking. PLoS Pathog., 2009, vol. 5: e100059. doi: 10.1371/journal.ppat.1000596
- O’Mahony C., Scully P., O’Mahony D., Murphy S., O’Brien F., Lyons A., Sherlock G., MacSharry J., Kiely B., Shanahan F., O’Mahony L. Commensal-induced regulatory T cells mediate protection against pathogen-stimulated NF-kB activation. PLoS Pathog., 2008, vol. 4: e1000112. doi: 10.1371/journal.ppat.1000112
- Petrov S.A., Sukhovei Yu.G, Kalenova L.F, Kostolomova E.G, Subbotin A.M, Kastornov A.A. The influence of permafrost microorganisms on monocytes differentiation in vitro. Bull. Exp. Biol. Med., 2023, vol. 175, no. 3, pp. 362–366. doi: 10.1007/s10517-023-05868-1
- Round J.L., Mazmanian S.K. Inducible Foxp3+ regulatory T-cell development by a commensal bacterium of the intestinal microbiota. Proc. Natl Acad. Sci. USA, 2010, vol. 107, pp. 12204–12209. doi: 10.1073/pnas.0909122107
- Round J.L., Lee S.M., Li J., Tran G., Jabri B., Chatila T.A., Mazmanian S.K. The Toll-like receptor 2 pathway establishes colonization by a commensal of the human microbiota. Science, 2011, vol. 332, pp. 974–977. doi: 10.1126/science.1206095
- Sing A., Rost D., Tvardovskaia N., Roggenkamp A., Wiedemann A., Kirschning C.J., Aepfelbacher M., Heesemann J. Yersinia V antigen exploits toll like receptor 2 and CD14 for interleukin 10 mediated immunosuppression. J. Exp. Med., 2002, vol. 196, pp. 1017–1024. doi: 10.1084/jem.20020908
- Shipkova M., Wieland E. Surface markers of lymphocyte activation and markers of cell proliferation. Clin. Chim. Acta, 2012, vol. 413, no. 17–18, pp. 1338–1349. doi: 10.1016/j.cca.2011.11.006
- Sutmuller R.P., Morgan M.E., Netea M.G., Grauer O., Adema G.J. Toll-like receptors on regulatory T cells: expanding immune regulation. Trends Immunol., 2006, vol. 27, no. 8, pp. 387–393. doi: 10.1016/j.it.2006.06.005
- Wieland E., Shipkova M. Lymphocyte surface molecules as immune activation biomarkers. Clin. Biochem., 2016, vol. 49, no. 4–5, pp. 347–354. doi: 10.1016/j.clinbiochem.2015.07.099
Supplementary files







