Acinetobacter baumannii in blood-borne and central nervous system infections in intensive care unit children: molecular and genetic characteristics and clinical significance
- Authors: Sadeeva Z.Z.1, Novikova I.E.1, Alyabyeva N.M.1, Lazareva A.V.1, Komyagina T.M.1, Karaseva O.V.1,2, Vershinina M.G.1, Fisenko A.P.1
-
Affiliations:
- National Medical Research Center for Children’s Health, Ministry of Health of the Russian Federation
- Clinical and Research Institute of Emergency Pediatric Surgery and Trauma, Department of Public Health of Moscow
- Issue: Vol 13, No 2 (2023)
- Pages: 289-301
- Section: ORIGINAL ARTICLES
- Submitted: 05.12.2022
- Accepted: 11.03.2023
- Published: 24.04.2023
- URL: https://iimmun.ru/iimm/article/view/2091
- DOI: https://doi.org/10.15789/2220-7619-ABI-2091
- ID: 2091
Cite item
Full Text
Abstract
Acinetobacter baumannii is a representative of the peak priority nosocomial pathogens capable of causing infections with high mortality and economic treatment costs. The purpose of our study was to determine a role of A. baumannii in blood-borne and central nervous system infections in children. We conducted a retrospective study of A. baumannii — associated cases of bacteremia and CNS infection in children. A. baumannii strains were isolated from 17 children followed up with surgical pathology (congenital heart defects — 24%, abdominal pathology — 29%, severe combined trauma — 29%) and with somatic diseases accompanied by antibacterial and/or glucocorticosteroid therapy — 18%. The minimum inhibitory concentrations of antibiotics were determined by the broth microdilution method. Carbapenemase genes were detected by real time polymerase chain reaction. Biofilm formation genes were determined by PCR. Biofilms were grown using flat-bottomed polystyrene tablets, followed by coloring, fixation, elution and detection. Population diversity was assessed by the multilocus sequence typing. About a quarter of cases of bacteremia and central nervous system infection caused by A. baumannii had an unfavorable outcome. Resistance to carbapenems, aminoglycosides, fluoroquinolones was more than 70%. Carbapenemases of the OXA-23 (24%) and OXA-40 (41%) groups were identified. The study of biofilm production showed that A. baumannii isolates formed biofilms of varying intensity: weak biofilms (59%), moderate (35%) and strong (6%). During determining the sensitivity to meropenem for biofilm and planktonic forms of cultures, it was determined that the minimum inhibitory concentrations of meropenem were significantly higher for biofilms than for planktonic forms. The minimum inhibitory concentrations of meropenem for plankton cells ranged from 0.5 to 512 mg/l. While in biofilms the same microorganisms had in vitro minimum inhibitory concentrations of meropenem within 128 to 512 mg/l and higher. All isolates bore biofilm formation regulating genes: bfmR, bap and katE. The ompA gene was found in 94% strains, and the csuA/B gene was found in 88%. The population pattern of A. baumannii isolated from blood and cerebrospinal fluid of children was represented by nine different sequence types. Most of the isolates were represented by genotypes: ST944Oxf, ST1550Oxf, ST1104Oxf belonging to the international clonal line ICL6, and ST450Oxf, ST2063Oxf and ST1102Oxf of the international clonal line ICL2. Blood-borne and central nervous system infections associated with A. baumannii have a great importance in clinical practice. This microorganism is able to persist for a long time on biotic and abiotic surfaces, has a wide natural and acquired antibiotics resistance.
Full Text
Введение
Acinetobacter baumannii вызывает различные госпитальные инфекции во всем мире. Представители рода Acinetobacter признаны одними из наиболее приоритетных нозокомиальных возбудителей, вызывающих инфекции с высокими показателями смертности и экономическими затратами на лечение [40, 47].
Внутрибольничные инфекции, ассоциированные с A. baumannii, стали актуальной проблемой для здравоохранения во многих странах. Этот патоген способен вызывать различные инфекции, такие как бактериемия, эндокардит, пневмония, менингит, раневые инфекции и инфекции мочевыводящего тракта [4, 35, 55]. Особенно настораживает тот факт, что в последние годы продолжает увеличиваться частота инфицирования кровотока грамотрицательными неферментирующими бактериями, в том числе множественно-резистентными изолятами A. baumannii [58].
A. baumannii является проблемным патогеном за счет широкого арсенала механизмов лекарственной устойчивости и высокой способности к ее приобретению [10, 22, 28, 33, 36, 39, 42].
Эти механизмы включают ферментативное разрушение антибиотиков, изменение проницаемости бактериальной клетки, активное выведение антибиотика и модификацию целевых участков [8, 28, 36, 43, 44]. Различают изоляты A. baumannii с множественной лекарственной устойчивостью (МЛУ; резистентность как минимум к трем классам противомикробных препаратов), с широкой лекарственной устойчивостью (ШЛУ; устойчивость к пяти классам противомикробных препаратов, включая карбапенемы) [17], в настоящее время в стационарах часто выделяют изоляты, резистентные к полимиксинам, что значительно затрудняет лечение [22, 34, 39, 41, 49].
Способность этого возбудителя сохраняться в различных условиях, в том числе при высушивании, приводит к сохранению его жизнеспособности во внутрибольничной среде до нескольких месяцев [15]. Образование биопленок на биотических и абиотических поверхностях также сохраняет жизнеспособность этого патогена [27]. Для нозокомиальных инфекций способность к образованию биопленок играет особую роль, поскольку это позволяет им колонизировать различные рабочие поверхности, медицинские устройства и аппаратуру [3, 21].
A. baumannii обладает регуляторной системой, включающей белок наружной мембраны (ompA), пили (csu), белки, ассоциированные с биопленкой (bap), каталазу (katE) [38]. Эта система поддерживает и регулирует проявление вирулентности, а именно: чувство кворума, образование биопленки, подвижность, адгезию и продукцию каталазы. Факторы вирулентности играют значительную роль при терапии A. baumannii, потому как наличие биопленки может затруднять проникновение антибиотиков к микробной клетке, вследствие чего, происходит увеличение минимальных ингибирующих концентраций антибактериальных препаратов [13]. Продукция каталазы микробной клеткой способствует разрушению активных форм кислорода, которые вырабатываются нейтрофилами хозяина при инфицировании, что вносит существенный вклад в патогенез инфекции [50]. Вирулентные свойства помогают патогену сохраняться в организме хозяина, скрываться от его иммунной системы и проявлять свою патогенность [7, 14].
Сложная таксономия бактерий рода Acinetobacter связана с высоким потенциалом генетической изменчивости [13]. В настоящее время существует более 2800 вариантов последовательностей MLST (ST), внесенных в базу данных MLST A. baumannii (https://pubmlst.org/organisms/acinetobacter-baumannii). Недавний анализ показал наличие шести основных крупных международных клональных линий, распространенных на всех континентах [26]. Эти международные клональные линии включают три основных первоначальных эпидемических клона и отражают появление новых клонов эпидемического риска [12].
A. baumannii, обладающий МЛУ и ШЛУ, а также рядом патогенных свойств, способен вызывать тяжелые инфекционные осложнения у пациентов в отделениях реанимации и интенсивной терапии, нередко приводя к неблагоприятным исходам [11].
Целью нашего исследования было изучение резистентности, патогенности и клонального разнообразия A. baumannii при инфекциях кровотока и ЦНС у детей.
Материалы и методы
Бактериальные культуры. В период с 2014 по 2021 г. были отобраны 17 изолятов A. baumannii из положительных гемокультур и проб ликвора. Изоляты были выделены от пациентов из двух московских детских больниц: ФГАУ «НМИЦ здоровья детей» Минздрава России (С1), НИИ неотложной детской хирургии и травматологии Департамента здравоохранения г. Москвы (С2).
Образцы крови инкубировали в анализаторе гемокультур BACTEC 9050 (Becton Dickinson, США), BacT/ALERT (bioMerieux, Франция) до фиксации роста микроорганизмов, затем пробу отсевали на плотные питательные среды для выделения чистой культуры возбудителя. Посевы производили на питательные среды: кровяной агар и Uri-select агар (BioRad, США), затем инкубировали в термостате при температуре 37°С в течение 24–48 ч. Идентификацию возбудителя проводили методом масс-спектрометрии MALDI-ToF (Bruker Daltonics, Германия).
Чувствительность к антибактериальным препаратам. Для определения чувствительности к антибиотикам использовали: меропенем, имипенем, колистин, тобрамицин, амикацин, гентамицин, триметоприм/сульфаметоксазол,ципрофлоксацин, левофлоксацин. МПК антибиотиков определяли методом серийных микроразведений в бульоне Мюллера–Хинтон (bioMerieux, Франция), Sensititre™ (ThermoScientific, Великобритания). В качестве контроля использовали штамм A. baumannii АТСС 19606.
Минимальные подавляющие концентрации (МПК) к меропенему определяли методом микроразведений в соответствии со стандартом (ГОСТ Р ИСО 20776-1-2010).
Результаты интерпретировали в соответствии с критериями Европейского комитета по тестированию чувствительности к антибиотикам (EUCAST) версия 10.0. (EUCAST: European Committee on Antimicrobial Susceptibility Testing, version 10.0., 2020, pp. 10–20).
Выделение ДНК и определение генов карбапенемаз. Для выделения ДНК использовали суточную культуру. Бактериальную ДНК выделяли согласно инструкции производителя с использованием коммерческих наборов «ГК-экспресс» (ЦНИИЭ Роспотребнадзора). Полученные образцы хранили до использования при температуре –20°С.
Выявление генов, отвечающих за продукцию карбапенемаз, проводили с использованием наборов с гибридизационно-флуоресцентной детекцией «АмплиСенс MDR Ab-OXA-FL» (OXA-23, OXA-40, OXA-58, ОХА-51), «АмплиСенс MDR MBL-FL» (IMP, NDM, VIM), производства ЦНИИЭ Роспотребнадзора. Проведение ПЦР осуществляли согласно инструкции производителя. ПЦР проводили с помощью амплификатора LightCycler 96 (Roche). Результаты оценивали по наличию или отсутствию пересечения графика флуоресценции с пороговой линией, отражающей экспоненциальный подъем сигнала. При значении Ct ≤ 32 результат оценивали как положительный.
Биопленкообразование. Анализ формирования биопленок на абиотической поверхности проводили с использованием сердечно-мозгового бульона (BHB; Becton Dickinson, США) по ранее описанной методике с модификациями [20].
Биопленки выращивали в 96-ти луночных полистироловых планшетах с плоским дном. Все изоляты тестировали в трех повторах. Для исследования использовались суточные бактериальные культуры. Аликвоту 20 мкл бактериальной суспензии с мутностью 0,8 по МакФарланду вносили в лунки, содержащие 180 мкл BHB. Инкубировали в течение 24 ч при температуре 37°С без перемешивания. После инкубации бульон и планктонные клетки тщательно отбирали, лунки промывали дистиллированной водой. Для фиксации биопленок добавляли 200 мкл 2,5% глутарового альдегида и инкубировали 5 мин при комнатной температуре. После удаления альдегида лунки трижды промывали дистиллированной водой. Для окрашивания вносили 200 мкл кристаллического фиолетового (0,1% спиртовой раствор), инкубировали в течение 10 мин. После удаления красителя лунки трижды промывали дистиллированной водой. Для растворения и обесцвечивания связанного красителя добавляли 200 мкл 95% этанола с последующей инкубацией в течение 30 мин. Оптическую плотность итогового раствора измеряли при длине волны 590 нм с использованием планшетного считывателя Infinite 200M (Tecan, Австрия). Результаты интерпретировали согласно рекомендациям [51].
Чувствительность биопленочных культур к меропенему определяли на суточных биопленках. После тщательного отбора бульона и планктонных форм в лунки добавляли растворы антибиотика с концентрацией от 0,5 до 512 мг/л (аналогично определению МПК меропенема для планктонных форм) и инкубировали в течение 24 ч при температуре 37°С без перемешивания. Учет результатов проводили по полному отсутствию роста микроорганизма в лунке.
Гены вирулентности. Гены bfmR, csuA/B, ompA, bap, katE, отвечающие за чувство кворума и процесс образования биопленок, определяли методом ПЦР с детекцией в 2% агарозном геле. Праймеры и температуры отжига представлены в табл. 1.
Таблица 1. Праймеры для определения генов, отвечающих за продукцию биопленки
Table 1. Primer sequences for determining the genes responsible for biofilm production
Ген Gene | Последовательность 5′→3′ Primer sequence (5′→3′) | Продукт Size (bp) | Температура отжига (°С) Annealing temperature (°С) | Источник References | |
bfmR | Bfm-f | CTGGTAGGTAATCAGTTCG | 200 | 62 | [53] |
Bfm-r | GAGAGACCCAAACCATAACC | ||||
csuA/B | Csu-f | ATGCGGTAAATACTCAAGCA | 204 | 57 | [53] |
Csu-r | TCACAGAAATATTGCCACCT | ||||
ompA | Omp-f | CTCTTGCTGGCTTAAACGTA | 192 | 57 | [53] |
Omp-r | GCAATTTCTGGGCTTGTATTG | ||||
katE | Kat-f | GTGTCCGGTTCAGGTTTTAC | 230 | 60 | [53] |
Kat-r | GGATTCTTGACAGACCCAAC | ||||
bap | Bap-f | ATGCCTGAGATACAAATTATTGCCAAGGATAATC | 561 | 54 | [27] |
Bap-r | AGGTGCTGAAGAATCATCATTAC | ||||
Условия и объемы реакции
Для генов bfmR, csuA/B, ompA, katE: компоненты ПЦР смеси — iTaq Universal Probes Supermix, BioRad — 5 мкл; по 1 мкл каждого праймера (F и R); деионизированная вода — 1 мкл; проба ДНК — 2 мкл.
Условия ПЦР реакции:
- Начальная денатурация — 95°C — 5′;
- Денатурация 94°C — 60″;
- Отжиг праймеров от 57 до 62°C (см. табл. 1) — 60″;
- Элонгация 72°C — 60″;
- Количество температурных циклов — 35;
- Заключительный этап элонгации 72°C — 5′.
Для гена bap: компоненты ПЦР смеси — iQ Supermix, BioRad — 5 мкл; по 1 мкл каждого праймера (F и R); деионизированная вода — 1 мкл; проба ДНК — 2 мкл.
Условия ПЦР реакции:
- Начальная денатурация — 95°C — 5′;
- Денатурация 95°C — 30″;
- Отжиг праймеров 54°C — 30″;
- Элонгация 72°C — 45″;
- Количество температурных циклов — 35;
- Заключительный этап элонгации 72°C — 10′.
ПЦР выполняли с использованием амплификатора LightCycler 96 (Roche, Швейцария); 5 мкл всех продуктов ПЦР подвергали электрофорезу в 1,5% агарозном геле в буфере TBE при 120 В и визуализировали в УФ-свете путем окрашивания бромидом этидия.
Мультилокусное секвенс-типирование (МЛСТ). Для сиквенс-типирования изолятов A. baumannii использовали метод МЛСТ. Подготовка включала амплификацию участков семи генов домашнего хозяйства: gltA, gyrB, gdhB, recA, cpn60, gpi, rpoD. Были использованы праймеры из общепринятой схемы МЛСТ Oxford [6].
Подготовку ампликонов осуществляли с помощью стандартных методик. Секвенирование проводили с использованием наборов реагентов и оборудования фирмы Applied Biosystems (США) в соответствии с рекомендациями производителя. Нуклеотидные последовательности, полученные в результате секвенирования, анализировали с помощью программы SeqMan (DNASTAR Inc.) и затем сравнивали с базой аллелей МЛСТ [https://pubmlst.org/organisms/acinetobacter-baumannii (02.12.2022)]. Генотип определяли по комбинации аллелей.
Оценка клинических данных. Ретроспективно были проанализированы клинические данные пациентов, из крови или ликвора которых был выделен A. baumannii.
Статистические методы. Статистическую обработку данных проводили с помощью программ SPSS 20.0 (SPSS Statistics, США) и Microsoft Excel. Различия считались статистически значимыми при р ≤ 0,05.
Результаты
За исследуемый период было выделено 17 изолятов A. baumannii из положительных проб гемокультур и ликвора. При этом из крови было выделено 14 (82%) изолятов, а из ликвора — 3 (18%).
Результаты определения чувствительности к антимикробным препаратам представлены на рис. 1.
Рисунок 1. Чувствительность к антимикробным препаратам изолятов A. baumannii
Среди изученных штаммов A. baumannii выявлено довольно широкое распространение антибиотикорезистентности. Только для колистина количество чувствительных изолятов превышает количество резистентных — 76% (13/17).
Для карбапенемов резистентность составила 76% (n = 13). К аминогликозидам резистентность проявили от 71 до 88% изолятов. К фторхинолонам были резистентны 88% (n = 15) штаммов. К бисептолу проявили резистентность чуть более половины изолятов — 59% (n = 10).
В нашем исследовании у штаммов A. baumannii были выявлены гены карбапенемаз OXA-23 и OXA-40. Видоспецифическая карбапенемаза OXA-51 была обнаружена у всех изученных изолятов. Карбапенемаза OXA-58, комбинации карбапенемаз и металло-β-лактамазы IMP, NDM, VIM у исследованных штаммов обнаружены не были. Для оценки частоты выявления карбапенемаз сравнивали два временных периода — с 2014 по 2017 г. и с 2018 по 2021 г. Также продукция карбапенемаз сравнивалась между изолятами, выделенными в двух стационарах.
Карбапенемазы группы OXA-23 были выявлены у 24% (n = 4) штаммов. При этом в период с 2018 по 2021 г. эта группа карбапенемаз выявлялась значимо чаще, чем с 2014 по 2017 г. (р = 0,0294). Значимых различий между двумя стационарами по наличию у изолятов этой группы карбапенемаз выявлено не было. Карбапенемазы группы OXA-40 были выявлены у 41% (n = 7) штаммов. Значимых различий между более ранними и более поздними изученными периодами с 2014 по 2021 г. выявлено не было. В то же время в стационаре С1 эта группа карбапенемаз выявлялась значительно чаще, чем в стационаре С2 (р = 0,02098). У двух изолятов, резистентных к карбапенемам, не было выявлено карбапенемаз.
Изучение продукции биопленок показало, что изоляты A. baumannii проявляли способность к формированию биопленок различной интенсивности: слабые биопленки (59%), умеренные (35%) и сильные (6%).
Для биопленочных культур была определена чувствительность к меропенему. Результаты сравнения МПК меропенема планктонных и биопленочных культур отражены на рис. 2.
Рисунок 2. Сравнение МПК меропенема для планктонных и биопленочных культур A. baumannii
Примечание. Для двух изолятов под номерами 15 и 16 МПК меропенема была определена более 512 мг/л; на рисунке эти точки имеют значения 700 мг/л. Ось Х — порядковые номера изолятов. Ось Y — значения МПК меропенема.
Статистический анализ показал, что МПК меропенема для биопленочных форм культур значимо выше, чем МПК меропенема для планктонных форм тех же штаммов (р < 0,05). МПК меропенема для планктонных клеток распределялись от 0,5 до 512 мг/л, в то время как эти же микроорганизмы в биопленках имели МПК меропенема in vitro в концентрациях от 128 до 512 мг/л и выше. Было определено, что у изолятов, проявлявших способность к образованию слабых биопленок, МПК меропенема для бактериальных клеток в составе биопленок превышали МПК для планктонных клеток от двух до восьми раз. Для штаммов, способных к образованию умеренных и сильных биопленок превышение подавляющих концентраций достигало 512 раз (0,5 мг/л для планктонных и 256 мг/л для клеток в составе биопленок).
Для всех штаммов было проведено определение генов bfmR, csuA/B, ompA, bap и katE, ответственных за регуляцию биопленкообразования. Результаты представлены в табл. 2.
Таблица 2. Наличие генов биопленкообразования у штаммов A. baumannii
Table 2. Presence of biofilm formation genes in A. baumannii strains
Интенсивность биопленки Biofilm intensity | Гены, ассоциированные с образованием биопленок Genes associated with biofilm formation | ||||
bfmR | csuA/B | ompA | bap | katE | |
Слабая/Weak (n = 10) | 10 | 9 | 9 | 10 | 10 |
Умеренная/Moderate (n = 6) | 6 | 5 | 6 | 6 | 6 |
Сильная/Strong (n = 1) | 1 | 1 | 1 | 1 | 1 |
Все изоляты имели гены bfmR, bap и katE. Ген ompA был обнаружен у 94% (n = 16) штаммов, а ген csuA/B — у 88% (n = 15).
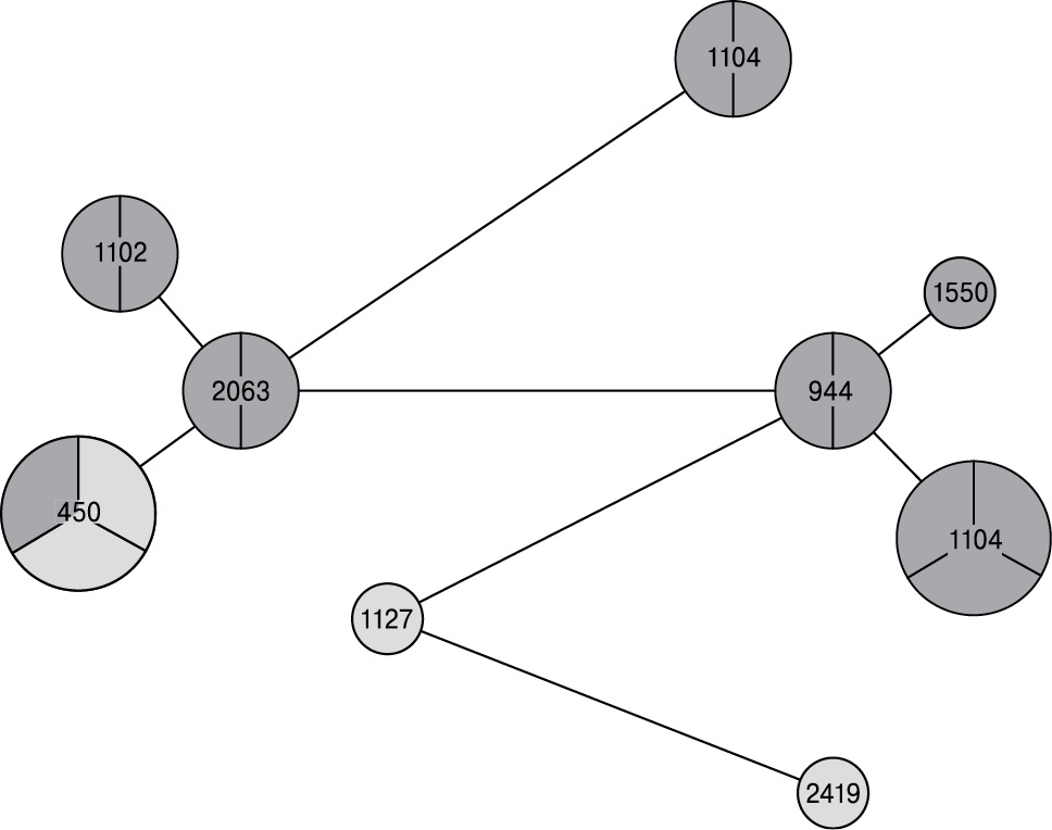
Популяционная структура изолятов A. baumannii, выделенных из крови и ликвора у детей, представлена девятью различными сиквенс-типами. Один из них ранее не был представлен в базе данных МЛСТ (рис. 3).
Рисунок 3. Генотипическая структура изолятов A. baumannii, выделенных из крови и ликвора у детей
Примечание. Темным цветом обозначены изоляты, резистентные к карбапенемам, светлым — чувствительные. Секторами обозначено количество изолятов в генотипе.
Сиквенс-типы ST944Oxf, ST1550Oxf и ST1104Oxf входят в клональную группу СС944Oxf/СС78Pas международной клональной линии ICL6, а сиквенс-типы ST450Oxf, ST2063Oxf и ST1102Oxf — в клональную группу СС92/СС208Oxf/CC2Pas, относящуюся к международной клональной линии ICL2.
Генотипы ST944Oxf, ST1127Oxf, ST1104Oxf, ST1550Oxf, ST450Oxf, ST2419Oxf встречались только в С1, генотип ST2063Oxf — только в С2, а генотипы ST1100Oxf и ST1102Oxf выделялись в обоих стационарах с одинаковой частотой.
Продуцентами карбапенемаз группы OXA-40 были все представители ST944Oxf, ST1104Oxf, ST1550Oxf (ICL6), а также карбапенем-резистентный представитель ST450Oxf. Карбапенемазы группы OXA-23 были выявлены у всех изолятов ST1102Oxf и ST2063Oxf (ICL2).
Способностью к образованию сильной биопленки обладал только изолят с новым генотипом ST2419Oxf. Умеренные биопленки образовывали все изоляты ST450Oxf, ST1102Oxf и ST1127Oxf. Все штаммы ST944Oxf, ST1100Oxf, ST1104Oxf, ST1550Oxf и ST2063Oxf обладали слабой способностью к биопленкообразованию.
Гены, отвечающие за образование биопленок, встречались у представителей всех девяти генотипов. В трех случаях у изолятов отсутствовали некоторые из них: csuA/B отсутствовал у изолятов генотипов ST1127Oxf и ST2063Oxf, ompA отсутствовал у другого представителя ST2063Oxf.
Среди изученных 17 штаммов по итогам анализа стоит отметить четыре, которые проявили устойчивость ко всем используемым в тестировании антибиотикам. Сводные данные по этим образцам представлены в табл. 3.
Таблица 3. Характеристика изолятов A. baumannii, резистентных ко всем исследованным антимикробным препаратам
Table 3. Characteristics of A. baumannii isolates resistant to all antimicrobial drugs studied
Номер изолята Isolate number | Стационар Hospital | Возраст пациента Patient’s age | Локус Locus | Патология Pathology | МПК меропенема MIC of meropenem | МПК колистина MIC of colistin | Карбапенемазы Carbapenemases | Биопленка Biofilm | ST |
56–1520 | С1 | 7 месяцев 7 months | Кровь ЦВК CVC Blood | Хирургическая, АП + сепсис Surgical, AP + sepsis | 512 | 8 | OXA-40 | L | 944 |
99–738 | С2 | 7 лет 3 месяцев 7 years 3 months | Кровь Blood | Хирургическая, ТСТ Surgical, SCI | 64 | 8 | OXA-23 | L | 2063 |
99–974 | С2 | 11 лет 8 месяцев 11 years 8 months | Ликвор Liquor | Хирургическая, ТСТ + вентрикуломенингит Surgical, SCI + ventriculomeningitis | 256 | 4 | OXA-23 | L | 2063 |
99–1128 | С2 | 2 года 8 месяцев 2 years 8 months | Ликвор Liquor | Хирургическая, ТСТ Surgical, SCI | 32 | 4 | OXA-23 | M | 1102 |
Примечание. АП — абдоминальная патология, ТСТ — тяжелая сочетанная травма, L — слабая биопленка, M — умеренная биопленка, ST — сиквенс-тип.
Note. AP — abdominal pathology, SCI — severe combined injury, L — weak biofilm, M — moderate biofilm, ST — sequenstype
По результатам оценки клинических данных изоляты A. baumannii были выделены от детей в возрасте от 5 суток до 17 лет. Медиана возраста — 11 месяцев (5 месяцев; 7 лет 3 месяца). Пациенты были разделены на 4 возрастные группы: I (0–1 год) — 9 детей (53%), II (1–3 лет) — 2 ребенка (12%), III (3–7 лет) — 1 ребенок (6%), IV (7–17 лет) — 5 детей (29%). Характеристика изолятов, выделенных в разных возрастных группах, отображена в табл. 4.
Таблица 4. Характеристика изолятов A. baumannii в разных возрастных группах
Table 4. Characteristics of A. baumannii isolates in different age groups
Группы Groups Параметры Parameters | Группа 1:дети до 1 года Group 1:children under 1 year (n = 9) | Группа 2:от 1 до 3 лет Group 2:from 1 to 3 years (n = 2) | Группа 3:от 3 до 7 лет Group 3: from 3 to 7 years (n = 1) | Группа 4:от 7 до 17 лет Group 4: from 7 to 17 years (n = 5) | |
Карбапенемазы Carbapenemases | OXA-23 | – | 2 | – | 2 |
OXA-40 | 5 | – | – | 2 | |
Интенсивность биопленок Biofilm intensity | Слабая/Weak | 5 | – | – | 5 |
Умеренная/Moderate | 4 | 2 | – | – | |
Сильная/Strong | – | – | 1 | – | |
Генотипы (STОxf) Genotypes (STОxf) | 450 (n = 3) 944 (n = 2) 1104 (n = 2) 1127 1100 | 1102 (n = 2) | 2419 | 1100 1104 1550 2063 (n = 2) | |
Изоляты A. baumannii были выделены у детей, которые наблюдались с хирургической патологией (врожденные пороки сердца — 24%, абдоминальная патология — 29%, тяжелая сочетанная травма — 29%) и с соматическими заболеваниями, сопровождающимися антибактериальнойи/или глюкокортикостероидной терапией — 18%.
Из 14 пациентов, от которых была получена положительная гемокультура, диагноз сепсис был у четверых (29%), три случая завершились летально.
В трех случаях положительные высевы A. baumannii были получены из образцов ликвора. При этом у двух пациентов стоял диагноз вентрикуломенингит, в одном случае был зафиксирован летальный исход.
Микробиологическая и клиническая характеристика неблагоприятных исходов отображена в табл. 5.
Таблица 5. Характеристика случаев бактериемии и инфекции ЦНС, ассоциированных c A. baumannii, с летальным исходом
Table 5. Characteristics of bacteremia and CNS infection cases associated with A. baumannii, with lethal outcome
Номер изолята Isolate number | Возраст пациента Patient’s age | Локус Locus | Патология Pathology | Фенотип резистентности Resistance phenotype | Карбапенемазы Carbapenemases | Биопленки Biofilms | ST |
46-3145 | 1 месяц 1 month | Кровь ЦВК CVC Blood | Хирургическая, ВПС + сепсис Surgical, CHD + sepsis | CAR, AMI, FQL, STX | OXA-40 | L | 1104 |
56-1520 | 7 месяцев 7 months | Кровь ЦВК CVC Blood | Хирургическая, АП + сепсис Surgical, AP + sepsis | CAR, AMI, FQL, STX, COL | OXA-40 | L | 944 |
79-784 | 17 лет 17 years | Ликвор Liquor | Хирургическая, ТСТ + вентрикуломенингит Surgical, SCI + ventriculomeningitis | CAR, AMI, FQL, STX | – | L | 1100 |
87-190 | 8 месяцев 8 months | Кровь Blood | Хирургическая, ВПС + сепсис Surgical, CHD + sepsis | CAR, AMI, FQL | OXA-40 | М | 450 |
Примечание. ВПС — врожденный порок сердца, АП — абдоминальная патология, ТСТ — тяжелая сочетанная травма, L — слабая биопленка, М — умеренная биопленка, CAR — карбапенемы, AMI — аминогликозиды, FQL — фторхинолоны, STX — триметоприм/сульфаметоксазол, COL — колистин, ST — сиквенс-тип.
Note. CHD — congenital heart disease, AP — abdominal pathology, SCI — severe combined injury, L — weak biofilm, M — moderate biofilm,CAR — carbapenems, AMI — aminoglycosides, FQL — fluoroquinolones, STX — trimethoprim/sulfamethoxazole, COL — colistin, ST — sequence type.
В трех эпизодах бактериемии с неблагоприятным исходом, ассоциированной A. baumannii, возраст пациентов был меньше года, сепсис у них развился на фоне хирургической патологии. Выделенные изоляты A. baumannii проявляли резистентность минимум к трем группам препаратов (карбапенемы, аминогликозиды и фторхинолоны) и обладали карбапенемазой группы OXA-40. Один из описанных штаммов проявлял устойчивость ко всем исследованным антимикробным препаратам (в том числе к колистину и бисептолу). В двух случаях микроорганизмы обладали слабой способностью к образованию биопленок, в одном — умеренной. В одном случае A. baumannii определялся в пробе ликвора 17-летнего пациента, у которого вентрикуломенингит развился на фоне хирургической патологии.
Изолят ацинетобактера, выделенный в этом случае, проявлял устойчивость к карбапенемам, аминогликозидам, фторхинолонам и бисептолу, не имел карбапенемаз и обладал слабой способностью к биопленкообразованию. Во всех случаях, закончившихся летально, были определены разные сиквенс-типы A. baumannii: ST1104, ST1100, ST944, ST450.
Обсуждение
Результаты этого исследования отражают серьезную проблему, которую представляют собой инфекции кровотока и ЦНС, вызванные множественно-резистентными изолятами A. baumannii. Более половины исследованных нами штаммов ацинетобактера проявили резистентность к трем и более классов антибиотиков. Около четверти изолятов проявили резистентность ко всем исследованным антибиотикам, в том числе к колистину. Эта тенденция не может не вызывать опасений по поводу дальнейших перспектив в лечении инфекций, вызванных нозокомиальными штаммами A. baumannii. Наши данные по резистентности в отношении большинства групп препаратов совпадают с результатами многоцентрового исследования наших турецких коллег, у которых резистентность к этим же группам препаратов составила более 90%. В то же время резистентность к колистину в данном исследовании значительно ниже, чем в нашем — около 1% [9]. Резистентность к карбапенемным антибиотикам в нашем исследовании сопоставима с данными многоцентрового исследования «МАРАФОН 2015–2016» и составила около 70% [1].
Гены OXA-51 встречаются в природе в геноме A. baumannii, недавно они были обнаружены у других представителей рода Acinetobacter, проявляющих устойчивость к карбапенемам. Обнаружение OXA-51-подобного гена может быть использовано в качестве дополнительной идентификации A. baumannii до вида [29]. У всех исследованных нами изолятов ацинетобактера был обнаружен OXA-51-подобный ген.
По данным зарубежных коллег, у ацинетобактера часто встречаются металло-β-лактамазы [24], однако в нашем исследовании резистентность к карбапенемам была связана с наличием карбапенемаз группы D (OXA-23 подобные и OXA-40 подобные). В отличие от результатов китайских [30] и немецких коллег [48], в нашем исследовании преобладают OXA-40-подобные карбапенемазы (41%), OXA-23-подобных обнаружено только 24%. В то же время наши данные по распространенности карбапенемаз согласуются с результатами, полученными коллегами из Польши [37], Испании [54] и России [1].
Среди множества факторов вирулентности способность к образованию биопленок — одна из основных, определяющих патогенность A. baumannii [32]. Все изоляты ацинетобактера, выделенные из крови и ликвора, в нашем исследовании способны к образованию биопленок разной интенсивности, что соотносится с предыдущими данными [23].
Обычно клинические штаммы A. baumannii образуют сильные биопленки [45, 57]. Для изученных нами штаммов было характерно образование биопленок слабой интенсивности. Наличие генов, ответственных за продукцию биопленок, согласно предыдущим исследованиям, коррелирует с интенсивностью биопленкообразования [5, 7]. Несмотря на наличие практически у всех изученных нами штаммов четырех и более генов, отвечающих за биопленкоообразование (bfmR, csuA/B, ompA, bap, katE), менее половины изолятов оказались способны к образованию сильных и умеренных биопленок (7/17).
Основная масса генотипов, полученных в нашем исследовании, относится к двум международным клональным линиям высокого риска ICL2 и ICL6. Это согласуется с предыдущими исследованиями наших российских коллег [1]. По данным базы МЛСТ, генотипический состав A. baumannii, выделенных из крови и ликвора в нашем исследовании, значительно отличается от такового в Китае, Японии [25], Дании [19].
Описывается, что штаммы международной клональной группы СС92/СС208Oxf/CC2Pas (ICL2) наиболее часто способны вызывать бактериемию у пациентов [18]. В нашем исследовании к клональной линии ICL2 относились 7 изолятов (41%).
Acinetobacter spp. чаще всего вызывает инфицирование пациентов, подвергшихся инвазивным вмешательствам (катетеризация, интубация трахеи), имеющих травматическое или хирургическое повреждение кожных покровов, длительно применявших антимикробные препараты широкого спектра действия, особенно пациентов с травмами и в отделениях интенсивной терапии [16]. Наиболее распространенными инфекциями, связанными с A. baumannii, в клинике являются нозокомиальная пневмония и бактериемия. Фактором, провоцирующим возникновение пневмоний, может быть наличие у пациентов эндотрахеальных трубок и высокая способность A. baumannii к их колонизации [52]. Инфекции кровотока, как правило, связаны с наличием центрального венозного катетера или очагов инфекции, способствующих диссеминации патогена [2]. Менингиты, ассоциированные A. baumannii, обычно возникают после операций или при наличии вентрикулостомы [56].
В нашем исследовании наблюдались пациенты с хирургической патологией (53%), с тяжелыми сочетанными травмами (29%), а также с соматическими заболеваниями, сопровождающимися длительной антибактериальной и/или глюкокортикостероидной терапией (18%). Во всех случаях они находились в отделении реанимации и интенсивной терапии.
Сообщается, что уровень смертности при инфекциях кровотока, ассоциированных A. baumannii, колеблется от 28 до 43% [11]. В то же время данные некоторых исследователей еще более тревожны: свыше 60% в Израиле [46] и Бразилии [31]. В нашем исследовании около четверти случаев бактериемии и инфекции ЦНС, вызванных A. baumannii, имели неблагоприятный исход.
Выводы
Проведенный анализ показал, что инфекции кровотока и ЦНС, ассоциированные с A. baumannii, имеют большое значение особенно в отделениях реанимации и интенсивной терапии. A. baumannii способен длительное время сохраняться в организме человека и на поверхностях окружающей среды, в первую очередь больничной, а также обладает огромным потенциалом антибиотикорезистентности и вирулентности, способствуя высокой заболеваемости и смертности пациентов.
About the authors
Zulfirya Z. Sadeeva
National Medical Research Center for Children’s Health, Ministry of Health of the Russian Federation
Author for correspondence.
Email: zulfiryasadeeva@yandex.ru
Junior Researcher, Laboratory of Molecular Microbiology
Россия, MoscowIrina E. Novikova
National Medical Research Center for Children’s Health, Ministry of Health of the Russian Federation
Email: zulfiryasadeeva@yandex.ru
Junior Researcher, Laboratory of Molecular Microbiology
Россия, MoscowNatalia M. Alyabyeva
National Medical Research Center for Children’s Health, Ministry of Health of the Russian Federation
Email: zulfiryasadeeva@yandex.ru
PhD (Medicine), Senior Researcher, Head of the Laboratory of Experimental Immunology and Virology
Россия, MoscowAnna V. Lazareva
National Medical Research Center for Children’s Health, Ministry of Health of the Russian Federation
Email: zulfiryasadeeva@yandex.ru
DSc (Medicine), Head Researcher, Laboratory of Molecular Microbiology, Head of the Microbiology Laboratory
Россия, MoscowTatiana M. Komyagina
National Medical Research Center for Children’s Health, Ministry of Health of the Russian Federation
Email: zulfiryasadeeva@yandex.ru
Junior Researcher, Laboratory of Experimental Immunology and Virology
Россия, MoscowOlga V. Karaseva
National Medical Research Center for Children’s Health, Ministry of Health of the Russian Federation; Clinical and Research Institute of Emergency Pediatric Surgery and Trauma, Department of Public Health of Moscow
Email: zulfiryasadeeva@yandex.ru
DSc (Medicine), Head of the Department of Emergency Surgery and Pediatric Trauma; Deputy Director for Scientific Work, Head of the Department of Combined Trauma, Anesthesiology-Resuscitation
Россия, Moscow; MoscowMarina G. Vershinina
National Medical Research Center for Children’s Health, Ministry of Health of the Russian Federation
Email: zulfiryasadeeva@yandex.ru
PhD (Medicine), Leading Researcher, Laboratory of Medical Genomics
Россия, MoscowAndrey P. Fisenko
National Medical Research Center for Children’s Health, Ministry of Health of the Russian Federation
Email: zulfiryasadeeva@yandex.ru
DSc (Medicine), Professor, Director
Россия, MoscowReferences
- Шек Е.А., Сухорукова М.В., Эйдельштейн М.В., Склеенова Е.Ю., Иванчик Н.В., Шайдуллина Э.Р., Кузьменков А.Ю., Дехнич А.В., Козлов Р.С., Семенова Н.В., Слепакова С.А., Шепотайлова Н.В., Стребкова В.В., Рыбина Н.А., Яранцева Н.З., Перевалова Е.Ю., Розанова С.М., Наговицина С.Г., Молдовану М.Г., Насыбуллова З.З., Архипенко М.В., Шахмурадян Р.М., Нижегородцева И.А., Варибрус Е.В., Александрова И.А., Лазарева А.В., Крыжановская О.А., Маркелова Н.Н., Чернявская Ю.Л., Лебедева Е.В., Кириллова Г.Ш., Беккер Г.Г., Попова Л.Д., Елохина Е.В., Смолькова Ю.Е., Зиновьев Д.Ю., Итяева Л.Н., Блинова Г.Ю., Зубарева Н.А., Витязева В.П., Плаксина М.Г., Куцевалова О.Ю., Панова Н.И., Суборова Т.Н., Полухина О.В., Ворошилова Т.М., Чурикова Е.М., Москвитина Е.Н., Кречикова О.И., Петрова Т.А., Мартьянова Н.М., Хохлова К.О., Гудкова Л.В., Быконя С.А., Хохлявина Р.М., Шпилькина Л.В., Бурасова Е.Г., Хребтовская В.А., Молчанова И.В., Звонарева О.В., Корнилова П.А., Крянга В.Г., Портнягина У.С., Шамаева С.Х., Попов Д.А., Вострикова Т.Ю. Устойчивость к антибиотикам, образование карбапенемаз и генотипы внутрибольничных штаммов Acinetobacter spp. в больницах России: результаты многоцентрового эпидемиологического исследования «МАРАФОН 2015–2016»// Kлиническая микробиология и антимикробная химиотерапия. 2019. Т. 21, № 2. С. 171–180. [Shek E.A., Sukhorukova M.V., Edelstein M.V., Skleenova E.Yu., Ivanchik N.V., Shajdullina E.R., Kuzmenkov A.Yu., Dekhnich A.V., Kozlov R.S., Semyonova N.V., Slepakova S.A., Shepotajlova N.V., Strebkova V.V., Rybina N.A., Yaranceva N.Z., Perevalova E.Yu., Rozanova S.M., Nagovicina S.G., Moldovanu M.G., Nasybullova Z.Z., Arkhipenko M.V., Shakhmuradyan R.M., Nizhegorodceva I.A., Varibrus E.V., Aleksandrova I.A., Lazareva A.V., Kryzhanovskaya O.A., Markelova N.N., Chernyavskaya Yu.L., Lebedeva E.V., Kirillova G.Sh., Bekker G.G., Popova L.D., Elokhina E.V., Smol’kova Yu.E., Zinov’ev D.Yu., Ityaeva L.N., Blinova G.Yu., Zubareva N.A., Vityazeva V.P., Plaksina M.G., Kucevalova O.Yu., Panova N.I., Suborova T.N., Polukhina O.V., Voroshilova T.M., Churikova E.M., Moskvitina E.N., Krechikova O.I., Petrova T.A., Mart’yanova N.M., Khokhlova K.O., Gudkova L.V., Bykonya S.A., Khokhlyavina R.M., Shpil’kina L.V., Burasova E.G., Khrebtovskaya V.A., Molchanova I.V., Zvonaryova O.V., Kornilova P.A., Kryanga V.G., Portnyagina U.S., Shamaeva S.Kh., Popov D.A., Vostrikova T.Yu. Antimicrobial resistance, carbapenemase production, and genotypes of nosocomial Acinetobacter spp. Isolates in Russia: results of multicenter epidemiological study ”MARATHON 2015–2016”. Klinicheskaya mikrobiologiya i antimikrobnaya khimioterapiya = Clinical Microbiology and Antimicrobial Chemotherapy, 2019, vol. 21, no. 2, pp. 171–180. (In Russ.)] doi: 10.36488/cmac.2019.2.171-180
- Anggraini D., Santosaningsih D., Endraswari P.D., Jasmin N., Siregar F.M., Hadi U., Kuntaman K. Multicenter study of the risk factors and outcomes of bloodstream infections caused by carbapenem-non-susceptible Acinetobacter baumannii in Indonesia. Trop. Med. Infect. Dis., 2022, vol. 7, no. 8: 161. doi: 10.3390/tropicalmed7080161
- Asaad A.M., Ansari S., Ajlan S.E., Awad S.M. Epidemiology of biofilm producing Acinetobacter baumannii nosocomial isolatesfrom a tertiary care hospital in Egypt: a cross-sectional study. Infect. Drug Resist., 2021, vol. 14, pp. 709–717. doi: 10.2147/IDR.S261939
- Ayoub M.C., Hammoudi H.D. Insights into Acinetobacter baumannii: a review of microbiological, virulence, and resistance traits in a threatening nosocomial pathogen. Antibiotics (Basel), 2020, vol. 9, no. 3: 119. doi: 10.3390/antibiotics9030119
- Azizi O., Shahcheraghi F., Salimizand H., Modarresi F., Shakibaie M.R., Mansouri S.H., Ramazanzadeh R., Badmasti F., Nikbin V. Molecular analysis and expression of bap gene in biofilm-forming multi-drug-resistant Acinetobacter baumannii. Rep. Biochem. Mol. Biol., 2016, vol. 5, no. 1, pp. 62–72.
- Bai B., Eales B.M., Huang W., Ledesma K.R., Merlau P.R., Li G., Yu Z., Tam V.H. Clinical and genomic analysis of virulence-related genes in bloodstream infections caused by Acinetobacter baumannii. Virulence, 2022, vol. 13, no. 1, pp. 1920–1927.doi: 10.1080/21505594.2022.2132053
- Bardbari A.M., Arabestani M.R., Karami M., Keramat F., Alikhani M.Y., Bagheri K.P. Correlation between ability of biofilm formation with their responsible genes and MDR patterns in clinical and environmental Acinetobacter baumannii isolates. Microb. Pathog., 2017, vol. 108, pp. 122–128. doi: 10.1016/j.micpath.2017.04.039
- Bonomo R.A., Szabo D. Mechanisms of multidrug resistance in Acinetobacter species and Pseudomonas aeruginosa. Clin. Infect. Dis., 2006, vol. 43, no. 2, pp. 49–56. doi: 10.1086/504477
- Boral B., Unaldi Ö., Ergin A., Durmaz R., Eser Ö.K., Acinetobacter Study Group. A prospective multicenter study on the evaluation of antimicrobial resistance and molecular epidemiology of multidrug-resistant Acinetobacter baumannii infections in intensive care units with clinical and environmental features. Ann. Clin. Microbiol. Antimicrob., 2019, vol. 18, no. 1: 19. doi: 10.1186/s12941-019-0319-8
- Butler D.A., Biagi M., Tan X., Qasmieh S., Bulman Z.P., Wenzler E. Multidrug resistant Acinetobacter baumannii: resistance by any other name would still be hard to treat. Curr. Infect. Dis. Rep., 2019, vol. 21, no. 12, pp. 46. doi: 10.1007/s11908-019-0706-5
- Chopra T., Marchaim D., Awali R.A., Krishna A., Johnson P., Tansek R., Chaudary K., Lephart P., Slim J., Hothi J., Ahmed H., Pogue J.M., Zhao J.J., Kaye K.S. Epidemiology of bloodstream infections caused by Acinetobacter baumannii and impact of drug resistance to both carbapenems and ampicillin-sulbactam on clinical outcomes. Antimicrob. Agents Chemother., 2013, vol. 57, no. 12, pp. 6270–6275. doi: 10.1128/AAC.01520-13
- Diancourt L., Passet V., Nemec A., Dijkshoorn L., Brisse S. The population structure of Acinetobacter baumannii: expanding multiresistant clones from an ancestral susceptible genetic pool. PLoS One, 2010, vol. 5, no. 4: e10034. doi: 10.1371/journal.pone.0010034
- Djahanschiri B., Di Venanzio G., Distel J.S., Breisch J., Dieckmann M.A., Goesmann A., Averhoff B., Göttig S., Wilharm G., Feldman M.F., Ebersberger I. Evolutionarily stable gene clusters shed light on the common grounds of pathogenicity in the Acinetobacter calcoaceticus-baumannii complex. PLoS Genet., 2022, vol. 18, no. 6: e1010020. doi: 10.1371/journal.pgen.1010020
- Eze E.C., Chenia H.Y., El Zowalaty M.E. Acinetobacter baumannii biofilms: effects of physicochemical factors, virulence, antibiotic resistance determinants, gene regulation, and future antimicrobial treatments. Infect. Drug Resist., 2018, vol. 11, pp. 2277–2299. doi: 10.2147/IDR.S169894
- Fournier P.E., Richet H. The epidemiology and control of Acinetobacter baumannii in health care facilities. Clin. Infect. Dis., 2006, vol. 42, no. 5, pp. 692–699. doi: 10.1086/500202
- Ge Y.L., Shan Q.W., Qiu Y., Zhou S.P., Cheng Y.B., Wang F., Yang J.W., Wan C.M., Zhu Y., Xu Y., Chen M.X., Lin D.J., Zhu C.H., Zeng, M. [Risk factors and resistance patterns of invasive Acinetobacter Baumannii infection in Children]. Zhonghua Er Ke Za Zhi, 2022, vol. 60, no. 8, pp. 762–768. (In Chinese). doi: 10.3760/cma.j.cn112140-20220502-00404
- German G.J., Gilmour M., Tipples G., Adam H.J., Almohri H., Bullard J., Dingle T., Farrell D., Girouard G., Haldane D., Hoang L., Levett P.N., Melano R., Minion J., Needle R., Patel S.N., Rennie R., Reyes R.C., Longtin J., Mulvey M.R. Canadian recommendations for laboratory interpretation of multiple or extensive drug resistance in clinical isolates of Enterobacteriaceae, Acinetobacter species and Pseudomonas aeruginosa. Can. Commun. Dis. Rep., 2018, vol. 44, no. 1, pp. 29–34. doi: 10.14745/ccdr.v44i01a07
- Giannouli M., Cuccurullo S., Crivaro V., Di Popolo A., Bernardo M., Tomasone F., Amato G., Brisse S., Triassi M., Utili R., Zarrilli R. Molecular epidemiology of multidrug-resistant Acinetobacter baumannii in a tertiary care hospital in Naples, Italy, shows the emergence of a novel epidemic clone. J. Clin. Microbiol., 2010, vol. 48, no. 4, pp. 1223–1230. doi: 10.1128/JCM.02263-09
- Hammerum A.M., Hansen F., Skov M.N., Stegger M., Andersen P.S., Holm A., Jakobsen L., Justesen U.S. Investigation of a possible outbreak of carbapenem-resistant Acinetobacter baumannii in Odense, Denmark using PFGE, MLST and whole-genome-based SNPs. J. Antimicrob. Chemother., 2015, vol. 70, no. 7, pp. 1965–1968. doi: 10.1093/jac/dkv072
- Hu P., Chen J., Chen Y., Zhou T., Xu X., Pei X. Molecular epidemiology, resistance, and virulence properties of Pseudomonas aeruginosa cross-colonization clonal isolates in the non-outbreak setting. Infect. Genet. Evol., 2017, vol. 55, pp. 288–296. doi: 10.1016/j.meegid.2017.09.010
- Ibrahim S., Al-Saryi N., Al-Kadmy I.M.S., Aziz S.N. Multidrug-resistant Acinetobacter baumannii as an emerging concern in hospitals. Mol. Biol. Rep., 2021, vol. 48, no. 10, pp. 6987–6998. doi: 10.1007/s11033-021-06690-6
- Isler B., Doi Y., Bonomo R.A., Paterson D.L. New treatment options against carbapenem-resistant Acinetobacter baumannii infections. Antimicrob. Agents Chemother., 2018, vol. 63, no. 1: e01110-18. doi: 10.1128/AAC.01110-18
- Jain M., Sharma A., Sen M.K., Rani V., Gaind R., Suri J.C. Phenotypic and molecular characterization of Acinetobacter baumannii isolates causing lower respiratory infections among ICU patients. Microb. Pathog., 2019, vol. 128, pp. 75–81. doi: 10.1016/ j.micpath.2018.12.023
- Jalal D., Elzayat M.G., Diab A.A., El-Shqanqery H.E., Samir O., Bakry U., Hassan R., Elanany M., Shalaby L., Sayed A.A. Deciphering multidrug-resistant Acinetobacter baumannii from a pediatric cancer hospital in Egypt. mSphere, 2021, vol. 6, no. 6: e0072521. doi: 10.1128/mSphere.00725-21
- Jolley K.A., Bray J.E., Maiden M.C.J. Open-access bacterial population genomics: BIGSdb software, the PubMLST.org website and their applications. Wellcome Open Res., 2018, vol. 3: 124. doi: 10.12688/wellcomeopenres.14826.1
- Karah N., Sundsfjord A., Towner K., Samuelsen Ø. Insights into the global molecular epidemiology of carbapenem non-susceptible clones of Acinetobacter baumannii. Drug Resist. Updat., 2012, vol. 15, no. 4, pp. 237–247. doi: 10.1016/j.drup.2012.06.001
- Kodori M., Douraghi M., Yaseri M., Rahbar M. The impact of primer sets on detection of the gene encoding biofilm-associated protein (Bap) in Acinetobacter baumannii: in silico and in vitro analysis. Lett. Appl. Microbiol., 2017, vol. 64, no. 4, pp. 304–308. doi: 10.1111/lam.12717
- Lee C.R., Lee J.H., Park M., Park K.S., Bae I.K., Kim Y.B., Cha C.J., Jeong B.C., Lee S.H. Biology of Acinetobacter baumannii: pathogenesis, antibiotic resistance mechanisms, and prospective treatment options. Front. Cell. Infect. Microbiol., 2017, vol. 7: 55. doi: 10.3389/fcimb.2017.00055
- Lee Y.T., Kuo S.C., Chiang M.C., Yang S.P., Chen C.P., Chen, T. L., Fung, C. P. Emergence of carbapenem-resistant non-baumannii species of Acinetobacter harboring a blaOXA-51-like gene that is intrinsic to A. baumannii. Antimicrob. Agents Chemother., 2012, vol. 56, no. 2, pp. 1124–1127. doi: 10.1128/AAC.00622-11
- Li P., Niu W., Li H., Lei H., Liu W., Zhao X., Guo L., Zou D., Yuan X., Liu H., Yuan J., Bai, C. Rapid detection of Acinetobacter baumannii and molecular epidemiology of carbapenem-resistant A. baumannii in two comprehensive hospitals of Beijing, China. Front. Microbiol., 2015, vol. 6: 997. doi: 10.3389/fmicb.2015.00997
- Marra A.R., Camargo L.F., Pignatari A.C., Sukiennik T., Behar P.R., Medeiros E.A., Ribeiro J., Girão E., Correa L., Guerra C., Brites C., Pereira C.A., Carneiro I., Reis M.,Souza M.A., Tranchesi R., Barata C.U., Edmond M.B., Brazilian SCOPE Study Group. Nosocomial bloodstream infections in Brazilian hospitals: analysis of 2,563 cases from a prospective nationwide surveillance study. J. Clin. Microbiol., 2011, vol. 49, no. 5, pp. 1866–1871. doi: 10.1128/JCM.00376-11
- Martinez J., Razo-Gutierrez C., Le, C., Courville R., Pimentel C., Liu C., Fung S.E., Tuttobene M.R., Phan K., Vila A.J., Shahrestani P., Jimenez V., Tolmasky M.E., Becka S.A., Papp-Wallace K.M., Bonomo R.A., Soler-Bistue A., Sieira R., Ramirez, M.S. Cerebrospinal fluid (CSF) augments metabolism and virulence expression factors in Acinetobacter baumannii. Sci. Rep., 2021, vol. 11, no. 1, pp. 4737. doi: 10.1038/s41598-021-81714-6
- Mohd S.L. S., Zainal A.A., Liew S.M., Roberts J.A., Sime F.B. The global prevalence of multidrug-resistance among Acinetobacter baumannii causing hospital-acquired and ventilator-associated pneumonia and its associated mortality: a systematic review and meta-analysis. J. Infect., 2019, vol. 79, no. 6, pp. 593–600. doi: 10.1016/j.jinf.2019.09.012
- Nasr P. Genetics, epidemiology, and clinical manifestations of multidrug-resistant Acinetobacter baumannii. J. Hosp. Infect., 2020, vol. 104, no. 1, pp. 4–11. doi: 10.1016/j.jhin.2019.09.021
- Nemec A., Krizova L., Maixnerova M., Reijden T.J., Deschaght P., Passet V., Vaneechoutte M., Brisse S., Dijkshoorn L. Genotypic and phenotypic characterization of the Acinetobacter calcoaceticus-Acinetobacter baumannii complex with the proposal of Acinetobacter pittii sp. nov. (formerly Acinetobacter genomic species 3) and Acinetobacter nosocomialis sp. nov. (formerly Acinetobacter genomic species 13TU). Res. Microbiol., 2011, vol. 162, no. 4, pp. 393–404. doi: 10.1016/j.resmic.2011.02.006
- Nowak P., Paluchowska P. Acinetobacter baumannii: biology and drug resistance — role of carbapenemases. Folia Histochem. Cytobiol., 2016, vol. 54, no. 2, pp. 61–74. doi: 10.5603/FHC.a2016.0009
- Nowak P., Paluchowska P.M., Budak A. Co-occurrence of carbapenem and aminoglycoside resistance genes among multidrug-resistant clinical isolates of Acinetobacter baumannii from Cracow, Poland. Med. Sci. Monit. Basic Res., 2014, vol. 20, pp. 9–14. doi: 10.12659/MSMBR.889811
- Pakharukova N., Tuittila M., Paavilainen S., Malmi H., Parilova O., Teneberg S., Knight S.D., Zavialov A.V. Structural basis for Acinetobacter baumannii biofilm formation. Proc. Natl Acad. Sci. USA, 2018, vol. 115, no. 21, pp. 5558–5563. doi: 10.1073/pnas.1800961115
- Paterson D.L., Bonomo R.A. Multidrug-resistant gram-negative pathogens: the urgent need for ‘old’ polymyxins. Adv. Exp. Med. Biol., 2019, vol. 1145, pp. 9–13. doi: 10.1007/978-3-030-16373-0_2
- Peleg A.Y., Seifert H., Paterson D.L. Acinetobacter baumannii: emergence of a successful pathogen. Clin. Microbiol. Rev., 2008, vol. 21, no. 3, pp. 538–582. doi: 10.1128/CMR.00058-07
- Perez F., El Chakhtoura N.G., Yasmin M., Bonomo R.A. Polymyxins: to combine or not to combine? Antibiotics (Basel), 2019, vol. 8, no. 2: 38. doi: 10.3390/antibiotics8020038
- Perez F., Hujer A.M., Hujer K.M., Decker B.K., Rather P.N., Bonomo R.A. Global challenge of multidrug-resistant Acinetobacter baumannii. Antimicrob. Agents Chemother., 2007, vol. 51, no. 10, pp. 3471–3484. doi: 10.1128/AAC.01464-06
- Ramirez M.S., Nikolaidis N., Tolmasky M.E. Rise and dissemination of aminoglycoside resistance: the aac(6’)-Ib paradigm. Front. Microbiol., 2013, vol. 4: 121. doi: 10.3389/fmicb.2013.00121
- Ramirez M.S., Tolmasky M.E. Aminoglycoside modifying enzymes. Drug Resist. Updat., 2010, vol. 13, no. 6, pp. 151–171. doi: 10.1016/j.drup.2010.08.003
- Ranjbar R., Farahani A. Study of genetic diversity, biofilm formation, and detection of Carbapenemase, MBL, ESBL, and tetracycline resistance genes in multidrug-resistant Acinetobacter baumannii isolated from burn wound infections in Iran. Antimicrob. Resist. Infect. Control, 2019, vol. 8: 172. doi: 10.1186/s13756-019-0612-5
- Robenshtok E., Paul M., Leibovici L., Fraser A., Pitlik S., Ostfeld I., Samra Z., Perez S., Lev B., Weinberger M. The significance of Acinetobacter baumannii bacteraemia compared with Klebsiella pneumoniae bacteraemia: risk factors and outcomes. J. Hosp. Infect., 2006, vol. 64, no. 3, pp. 282–287. doi: 10.1016/j.jhin.2006.06.025
- Russo A., Bassetti M., Bellelli V., Bianchi L., Marincola Cattaneo F., Mazzocchetti S., Paciacconi E., Cottini F., Schiattarella A., Tufaro G., Sabetta F., D’Avino A. Efficacy of a fosfomycin-containing regimen for treatment of severe pneumonia caused by multidrug-resistant Acinetobacter baumannii: a prospective, observational study. Infect. Dis. Ther., 2021, vol. 10, no. 1, pp. 187–200. doi: 10.1007/s40121-020-00357-8
- Schleicher X., Higgins P.G., Wisplinghoff H., Körber-Irrgang B., Kresken M., Seifert H. Molecular epidemiology of Acinetobacter baumannii and Acinetobacter nosocomialis in Germany over a 5-year period (2005–2009). Clin. Microbiol. Infect., 2013, vol. 19, no. 8, pp. 737–742. doi: 10.1111/1469-0691.12026
- Shin B., Park W. Antibiotic resistance of pathogenic Acinetobacter species and emerging combination therapy. J. Microbiol., 2017, vol. 55, no. 11, pp. 837–849. doi: 10.1007/s12275-017-7288-4
- Slauch J.M. How does the oxidative burst of macrophages kill bacteria? Still an open question. Mol. Microbiol., 2011, vol. 80, no. 3, pp. 580–583. doi: 10.1111/j.1365-2958.2011.07612.x
- Stepanović S., Vuković D., Hola V., Di Bonaventura G., Djukić S., Cirković I., Ruzicka F. Quantification of biofilm in microtiter plates: overview of testing conditions and practical recommendations for assessment of biofilm production by staphylococci. APMIS, 2007, vol. 115, no. 8, pp. 891–899. doi: 10.1111/j.1600-0463.2007.apm_630.x
- Thorarinsdottir H.R., Kander T., Holmberg A., Petronis S., Klarin B. Biofilm formation on three different endotracheal tubes: a prospective clinical trial. Crit. Care, 2020, vol. 24, no. 1: 382. doi: 10.1186/s13054-020-03092-1
- Vijayakumar K., Thirunanasambandham R. 5-Hydroxymethylfurfural inhibits Acinetobacter baumannii biofilms: an in vitro study. Arch. Microbiol., 2021, vol. 203, no. 2, pp. 673–682. doi: 10.1007/s00203-020-02061-0
- Villalón P., Valdezate S., Medina-Pascual M.J., Carrasco G., Vindel A., Saez-Nieto J.A. Epidemiology of the Acinetobacter-derived cephalosporinase, carbapenem-hydrolysing oxacillinase and metallo-β-lactamase genes, and of common insertion sequences, in epidemic clones of Acinetobacter baumannii from Spain. J. Antimicrob. Chemother., 2013, vol. 68, no. 3, pp. 550–553. doi: 10.1093/jac/dks448
- Wang X., Zhang L., Sun A., Yang X., Sang W., Jiang Y., Cheng J., Wang J., Zhou M., Chen B., Ouyang J. Acinetobacter baumannii bacteraemia in patients with haematological malignancy: a multicentre retrospective study from the Infection Working Party of Jiangsu Society of Hematology. Eur. J. Clin. Microbiol. Infect. Dis., 2017, vol. 36, no. 7, pp. 1073–1081. doi: 10.1007/s10096-016-2895-2
- Wong D., Nielsen T.B., Bonomo R.A., Pantapalangkoor P., Luna B., Spellberg B. Clinical and pathophysiological overview of Acinetobacter infections: a century of challenges. Clin. Microbiol. Rev., 2017, vol. 30, no. 1, pp. 409–447. doi: 10.1128/CMR.00058-16
- Zeighami H., Valadkhani F., Shapouri R., Samadi E., Haghi F. Virulence characteristics of multidrug resistant biofilm forming Acinetobacter baumannii isolated from intensive care unit patients. BMC Infecti. Dis., 2019, vol. 19, no. 1, pp. 629. doi: 10.1186/s12879-019-4272-0
- Zhang S., Sun L., Sun L., Yang Z. [Application progress of polymyxin in bloodstream infection of drug-resistant Acinetobacter baumannii]. Zhonghua Wei Zhong Bing Ji Jiu Yi Xue, 2021, vol. 33, no. 11, pp. 1401–1404. (In Chinese). doi: 10.3760/cma.j.cn121430-20210219-00255
Supplementary files







