CDR1, CDR2, MDR1 and ERG11 expression in azole resistant Сandida albicans isolated from HIV-infected patients in city of Moscow
- Authors: Voropaev A.D.1, Yekaterinchev D.A.1, Urban Y.N.2, Zverev V.V.1, Nesvizhsky Y.V.1, Voropaeva E.A.2, Likhanskaya E.I.2, Afanasiev M.S.1, Afanasiev S.S.3
-
Affiliations:
- I.M. Sechenov First Moscow State Medical University (Sechenov University)
- G.N. Gabrichevsky Research Institute for Epidemiology and Microbiology
- G.N. Gabrichevsky Research Institute for Epidemiology and Microbiologyor epidemiology and microbiology
- Issue: Vol 12, No 5 (2022)
- Pages: 929-937
- Section: ORIGINAL ARTICLES
- Submitted: 19.04.2022
- Accepted: 15.05.2022
- Published: 16.11.2022
- URL: https://iimmun.ru/iimm/article/view/1931
- DOI: https://doi.org/10.15789/2220-7619-CCM-1931
- ID: 1931
Cite item
Full Text
Abstract
Candida fungi are common opportunistic microorganisms capable of causing infections of various localization, as well as life-threatening conditions in immunocompromised patients, such as HIV-infected individuals, oncology patients, subjects undergoing HSCT, which number has been steadily increasing in recent years. In addition, resistance to anti-fungal drugs has been spreading as well. Naturally sensitive to azoles, C. albicans possess a variety of mechanisms of acquired resistance, including efflux transporters and target protein-encoding gene amplification. This study was conducted to assess a prevalence of such mechanisms in the isolates sample obtained from HIV-infected patients in the Moscow region of the Russian Federation, characterize a relationship between these mechanisms and patterns of developing drug resistance. 18 strains of C. albicans resistant to fluconazole and voriconazole were isolated from HIV-infected patients with recurrent oropharyngeal candidiasis in the Moscow region. The expression levels of the ERG11, MDR1, CDR1, CDR2 genes involved in the formation of acquired azole resistance were measured using quantitative PCR, the –2ΔΔCT method with ACT and PMA genes as control genes and reference values of sensitive isolates. Expression levels exceeding the average values of sensitive isolates by more than 3 standard deviations were considered significantly elevated. In most of the isolates, elevated levels of CDR1 and CDR2 gene expression were found: 89% and 78%, respectively. The expression level of the MDR1 gene was increased only in 28% of cases. ERG11 expression levels were significantly elevated in 78% of the isolates. Expression levels of all resistance genes studied were significantly increased in 4 strains. In this sample of C. albicans isolates, acquired resistance is mainly associated with efflux vectors encoded by the CDR1 and CDR2 genes. Also, in most isolates, an increased expression level for the azole target protein gene — ERG11 was detected. The expression level of the efflux transporter gene MDR1 was increased in the smallest number of samples. It is also impossible to exclude a potential role of other mechanisms in developing acquired resistance, such as mutations in the ERG11 gene. It can be assumed that the identified mechanisms of resistance result from long-term, widespread, and sometimes uncontrolled use of azoles, including those in treatment and prevention of candidiasis in HIV-infected patients.
Keywords
Full Text
Введение
Candida spp. — убиквитарные условно-патогенные микроорганизмы, способные вызывать инфекции различной локализации, а также угрожающие жизни состояния у иммунокомпрометированных пациентов [26]. У 90% ВИЧ-инфицированных наблюдается как минимум один эпизод орофарингеального кандидоза. Всего в данной группе пациентов ежегодно регистрируется около 2 млн случаев орального кандидоза и 1,3 млн случаев кандидоза пищевода [9]. Рецидивирующий орофарингеальный кандидоз, вызываемый C. albicans, значительно ухудшает качество жизни иммунокомпрометированных пациентов [25].
В последнее время повышается доля устойчивых к противогрибковым препаратам штаммов Candida spp. [14]. В исследовании SENTRY на 20 788 инвазивных изолятах Candida spp. отмечено нарастание устойчивости к флуконазолу [30]. По данным отечественного исследования КРИТ (кандидоз в отделениях реанимации и интенсивной терапии) устойчивость к флуконазолу достигает 21% [2]. При этом природно-чувствительные к азолам C. albicans приобретают устойчивость за счет разнообразных механизмов приобретенной резистентности, таких как повышенная экспрессия генов эффлюксных переносчиков и амплификация гена белка-мишени [11, 31].
Среди механизмов устойчивости к азолам отмечена значимость двух основных типов эффлюксных переносчиков: ABC (ATP-binding cassette) и MFS (Major-Facilitator superfamily) [32]. ABC-транспортеры функционируют за счет гидролиза АТФ, MFS — за счет протонного хемиосмотического градиента. Среди ABC-транспортеров в устойчивости к противогрибковым препаратам принимают участие CDR1 и CDR2, среди MFS — MDR1. Повышенная экспрессия эффлюксных переносчиков CDR1, CDR2, MDR1 позволяет удалять из клетки различные токсичные вещества, в том числе противогрибковые препараты [7]. Если CDR1 и CDR2 обеспечивают резистентность ко всем азолам, то MDR1 — преимущественно к флуконазолу [17]. Кроме того, CDR1 и CDR2 могут способствовать устойчивости к топическим препаратам тербинафину и аморолфину, но не к эхинокандинам, амфотерицину B или флюцитозину [21]. Приобретенная устойчивость возникает одновременно в отношении всех имидазолов и какой-либо части препаратов из ряда триазолов. Так, утрата CDR1 приводит к повышенной чувствительности C. albicans к азолам, в то время как потеря MDR1 не оказывает существенного влияния на базовый уровень устойчивости к этим препаратам [27].
Гиперэкспрессия гена ERG11, кодирующего ланостерол-14α-диметилазу, повышает необходимую минимальную подавляющую концентрацию препарата [22]. Азолы снижают активность фермента ланостерол-14α-диметилазы, который относится к семейству цитохромов P450 (CYP51А) и катализирует один из этапов биосинтеза эргостерола — ключевого компонента клеточной стенки гриба. У устойчивых к азолам клинических изолятов Candida spp. выявляется повышенная концентрация фермента 14-α-диметилазы, что может быть обусловлено повышенной экспрессией гена ERG11 [36]. ERG11 регулируется преимущественно транскрипционным фактором UPC2, CDR1 и CDR2 — TAC1, MDR1 — MRR1. UPC2, TAC1 и MRR1 относятся к одному семейству транскрипционных факторов (zinc cluster transcription factors [ZCFs]), внутри которого также обнаружен фактор MRR2, влияющий преимущественно на экспрессию CDR1 [13].
Несмотря на изученность механизмов приобретенной устойчивости C. albicans к азолам, исследования, касающиеся распространенности данных механизмов, совсем немногочисленны. В одном из первых исследований, характеризующем распространенность различных механизмов устойчивости среди небольшой выборки (n = 20) лиц со СПИД и рецидивирующим орофарингеальным кандидозом из США, преобладающим механизмом оказалась повышенная экспрессия эффлюксных переносчиков CDR1 и CDR2 (55% штаммов), а также MDR1 (55%). Гиперэкспрессия гена ERG11, ответственного за синтез фермента-мишени азолов, наблюдалась у 35% штаммов [28]. В швейцарском исследовании на 16 изолятах C. albicans от пациентов со СПИД выявлено преобладание гиперэкспрессии CDR1 и MDR1 [5]. В исследовании, проведенном в Сингапуре в 2012–2015 гг., у всех изолятов C. albicans обнаружена повышенная экспрессия CDR2, у двух штаммов — повышенная экспрессия MDR1 [38]. У пациентов из Китая отмечалось повышение экспрессии MDR1, CDR1, CDR2 и TAC1 (регулятор транскрипции CDR1, CDR2) [37]. В российском исследовании 47 штаммов Candida spp., выделенных от пациенток с кольпитом и сальпингоофоритом, было установлено повышение экспрессии гена MDR1 [3]. Повышенная экспрессия CDR1 и CDR2 наблюдалась у пациентов, длительно получавших противогрибковую терапию [35].
Данные о механизмах устойчивости Candida spp. имеют большое значение для актуальных рекомендаций по терапии грибковых инфекций, а также для поиска новых противогрибковых препаратов, к примеру ингибиторов эффлюксных переносчиков [23]. Механизмы устойчивости к противогрибковым препаратам, как и факторы их активации по отдельности, хорошо известны, однако процессы совместной активации все еще не до конца изучены [29]. Анализ распределения показателей экспрессии основных генов, связанных с устойчивостью, может помочь в развитии понимания механизмов, управляющих развитием резистентности C. albicans в ответ на воздействие ксенобиотиков.
Приведенные факты, несмотря на актуальность проблемы лекарственной резистентности, указывают на ограниченность информации о популяционной распространенности молекулярно-генетических механизмов устойчивости Candida spp. к антимикотическим препаратам на территории Российской Федерации. Это ограничивает наши прогностические возможности в плане преодоления резистентности и повышения эффективности специфической терапии.
В связи со сказанным целью настоящей работы было оценить распространенность повышенной экспрессии генов CDR1, CDR2, ERG11 и MDR1 в устойчивой к азолам выборке изолятов C. albicans, выделенных от ВИЧ-инфицированных пациентов в Московском регионе Российской Федерации, и охарактеризовать возможные закономерности и взаимосвязи данных механизмов.
Материалы и методы
В исследование включены 22 штамма C. albicans из коллекции ФБУН МНИИЭМ им. Г.Н. Габричевского Роспотребнадзора: 18 устойчивых к флуконазолу и вориконазолу штаммов, выделенных от ВИЧ-инфицированных пациентов с рецидивирующим орофарингеальным кандидозом, находящихся на лечении в ГБУЗ ИКБ № 2 ДЗМ, и 7 чувствительных штаммов в качестве контрольных образцов. У всех обследованных лиц было получено информированное согласие на использование данных лабораторных анализов в научных целях. Все исследования проведены с согласия Комитета по этике при ГБОУ ВПО ЮУГМУ Минздрава России (протокол № 4 от 25.04.2014) на основании требований Хельсинкской декларации Всемирной медицинской ассоциации «Этические принципы проведения научных медицинских исследований с участием человека» от июня 1964 г.
Штаммы культивировались на плотной питательной среде Сабуро и хромогенном агаре для грибов рода Candida (HiChrome, Himedia, Индия). Видовая идентификация проводилась рутинными методами, в том числе с помощью микроскопии нативных и окрашенных по Граму препаратов, тестов на образование ростовых трубок в присутствии сыворотки и способности к образованию гиф на кукурузном агаре по Дальмау, оценке морфологии, а также с помощью биохимических тестов (remel RapID Yeast Plus). Идентификация подтверждалась методом полимеразной цепной реакции (ПЦР) с видоспецифическими праймерами («АмплиСенс C. albicans/C. glabrata/C. krusei– МУЛЬТИПРАЙМ-FL», ООО «Интерлабсервис», Россия). Устойчивость к флуконазолу и вориконазолу определялась диско-диффузионным методом в соответствии со стандартами CLSI M44 и M60, методом микроразведений с помощью планшетов Sensititre YeastOne10 (Trek Diagnostic System, Великобритания).
Уровни экспрессии генов ERG11, MDR1, CDR1, CDR2 были измерены с помощью количественной ПЦР и метода 2–ΔΔCt для анализа, где ΔCT = CT,X – CT,R — разница между пороговыми циклами исследуемого и контрольного генов, и –ΔΔCT = –(ΔCT,q – ΔCT,cb) — разница между значением, полученным для образца q, и базовым значением, полученным для чувствительных изолятов [18]. Выделение РНК проводилось с помощью реагента для выделения суммарной РНК ExtractRNA (ЗАО «Евроген», Россия) в соответствии с инструкцией производителя из суточной чистой культуры исследуемого штамма. Обратная транскрипция проводилась с помощью набора «Реверта-L» (ФБУН ЦНИИ эпидемиологии Роспотребнадзора, Россия) в соответствии с инструкцией производителя: 30 мин при 37°C.
В работе использовались следующие праймеры:
- ERG11-F aactacttttgtttataatttaagatggactattga;
- ERG11-R aatgatttctgctggttcagtaggt;
- MDR1-F ttacctgaaacttttggcaaaaca;
- MDR1-R acttgtgattctgtcgttaccg;
- CDR2-F ggtattggctggtcctaatgtga;
- CDR2-R gcttgaatcaaataagtgaatggattac;
- CDR1-F tttagccagaactttcactcatgatt;
- CDR1-R tatttatttcttcatgttcatatggattga;
- PMA1-F ttgaagatgaccacccaatcc;
- PMA1-R gaaacctctggaagcaaattgg;
- ACT1-F ttggtgatgaagcccaatcc;
- ACT1-R catatcgtcccagttggaaaca.
Амплификация проводилась с помощью набора реактивов для проведения ПЦР в реальном времени в присутствии интеркалирующего красителя Sybr-Green I (ЗАО «Синтол», Россия) с использованием амплификатора Applied Biosystems 7500 Real Time PCR System (США) со следующими параметрами: 95°C 3 мин; далее 40 циклов: 95°C — 10 с, 55°C — 20 с.
Гены домашнего хозяйства ACT и PMA использовались в качестве контрольных генов. Базовые значения 2–ΔΔCt для генов ERG11, MDR1, CDR1, CDR2 получены при исследовании чувствительных изолятов (n = 7). Уровень экспрессии исследуемого штамма считался достоверно повышенным в случае, если он превышал базовые средние значения для чувствительных изолятов (m) более чем на 3 стандартных отклонения (3δ).
Для статистического анализа использовалось программное обеспечение Microsoft Excel. Для оценки значимости различий между группами использовался точный критерий Фишера. Критический уровень ошибки при проверке статистических гипотез принимался равным или менее 0,05.
Результаты
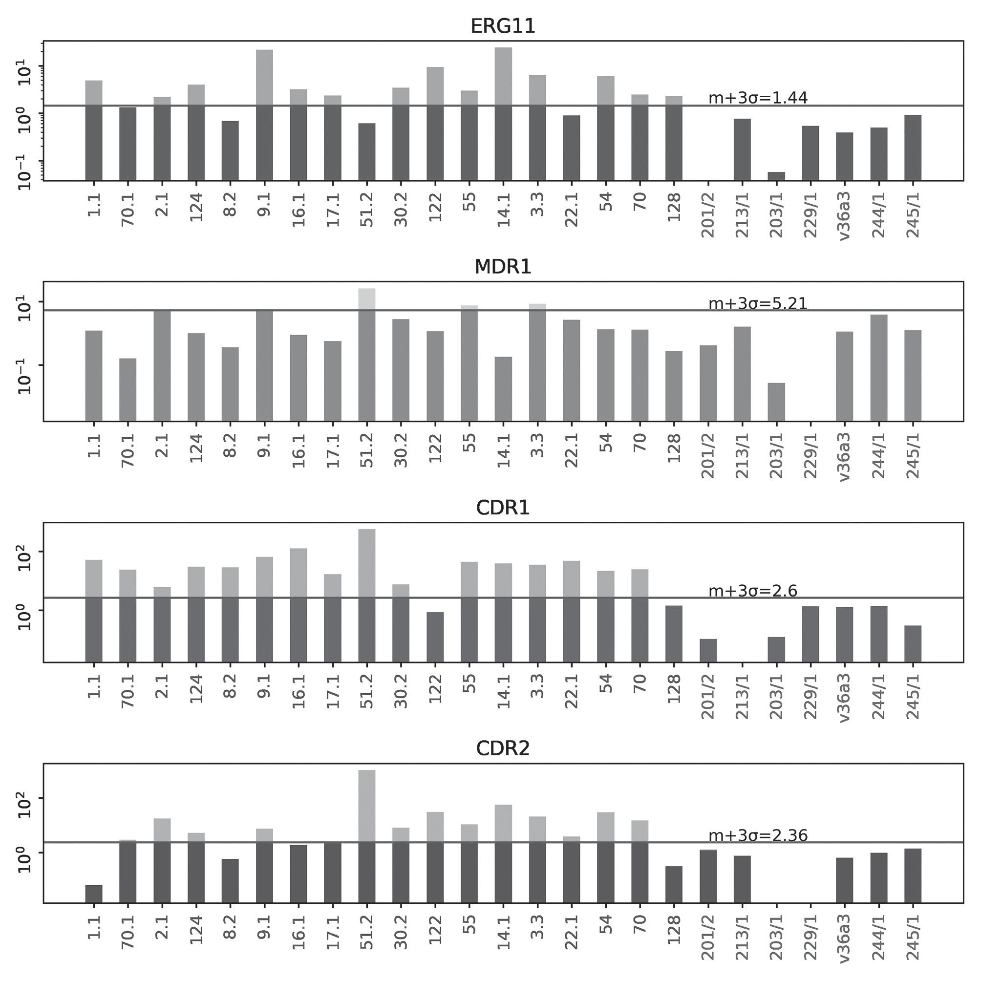
В ходе проведенного исследования было установлено, что у каждого из устойчивых штаммов в нашей выборке повышен уровень экспрессии по крайней мере одного из изучаемых генов (p = 0,0001) (рис. 1).
Рисунок 1. Уровни экспрессии ERG11, MDR1, CDR1, CDR2 (–2ΔΔCT)
Figure 1. ERG11, MDR1, CDR1, CDR2 expression levels (–2ΔΔCT)
Примечание. Линией обозначен уровень m+3ó, 1.1–128 — устойчивые изоляты, 201/2–245/1 — чувствительные изоляты.
Note. Line depicts m+3ó level, 1.1–128 — resistant isolates, susceptible controls — 201/2–245/1.
Уровни экспрессии ERG11 были значительно повышенными у 77% (n = 14) изолятов. У одного штамма (№ 128) был повышен уровень экспрессии только ERG11. Уровень экспрессии гена MDR1 был повышен только в 27% случаев (n = 5). У подавляющего большинства изолятов обнаружены повышенные уровни экспрессии генов CDR1 и CDR2: 88% (n = 16) и 83% (n = 15) соответственно (рис. 2). При этом уровень экспрессии CDR2, но не CDR1, был повышен только у одного штамма. У данного штамма (№ 122), помимо этого, отмечалась гиперэкспрессия ERG11, и нормальный уровень экспрессии MDR1. В то же время гиперэкспрессия CDR1 без CDR2 отмечалась у трех штаммов, у одного из них без гиперэкспрессии других генов, у двух — ERG11, но не MDR1. У 1 штамма (№ 51.2) была выявлена повышенная не менее чем в 10 раз по сравнению с другими штаммами экспрессия всех исследуемых генов, за исключением ERG11. Штаммы с изолированным повышением экспрессии MDR1 или MDR1 и ERG11 отсутствовали.
Рисунок 2. Доли штаммов с повышенным уровнем экспрессии ERG11, MDR1, CDR1, CDR2
Figure 2. Percentage of strains with elevated expression level of ERG11, MDR1, CDR1, CDR2
У 13 штаммов (59%) одновременно был повышен уровень CDR1 и CDR2. Выявлена равноценная взаимосвязь экспрессии CDR1 и CDR2 (p < 0,01). У 2 штаммов (9%) повышен уровень только CDR1, CDR2. У 1 штамма (№ 8.2) повышен уровень экспрессии только гена CDR1, при этом в выборке отсутствуют штаммы с изолированной гиперэкспрессией CDR2.
У 5 штаммов (22%) была выявлена коэкспрессия MDR1, CDR1, CDR2, у 4 штаммов (18%) — коэкспрессия всех исследуемых генов. Таким образом, при повышении экспрессии MDR1 наблюдалось одновременное повышение экспрессии CDR1/2 (100%, n = 5) и ERG11 (92,9%, n = 4) (p < 0,05). При этом обратного влияния повышения экспрессии CDR1/2, ERG11 на экспрессию MDR1 не выявлено.
У 10 штаммов (45,5%) была обнаружена коэкспрессия CDR1, CDR2 и ERG11. Выявлена равноценная взаимосвязь экспрессии ERG11 и CDR1, ERG11 и CDR2 (p < 0,05). Кроме того, выявлена взаимосвязь между повышением экспрессии ERG11 и одновременным повышением экспрессии CDR1, CDR2 (p < 0,05). Также выявлена взаимосвязь между повышением экспрессии CDR2 и одновременным повышением экспрессии ERG11 и CDR1 (p < 0,05).
Обсуждение
Таким образом, было установлено, что в данной выборке изолятов C. albicans приобретенная устойчивость связана с несколькими вариантами коэкспрессии генов ERG11, CDR1, CDR2 и MDR1.
Различные механизмы устойчивости к азолам, включая повышение экспрессии генов эффлюксных переносчиков, подробно описаны для одного из первых выявленных устойчивых к азолам штаммов C. albicans — штамма Дарлингтон, выделенного от пациента с рецидивирующим кандидозом кожи и слизистых оболочек (Darlington strain). Селективное ингибирование MDR1 и CDR1 у данного штамма не приводило к снижению устойчивости к флуконазолу или вориконазолу. Однако при ингибировании CDR1 восстанавливалась чувствительность к итраконазолу и позаконазолу. Это позволяет предположить влияние MDR1 на устойчивость к короткоцепочечным азолам — флуконазолу и вориконазолу, но не к итраконазолу и позаконазолу. Повышенная экспрессия ERG11 также обеспечивает устойчивость лишь к короткоцепочечным азолам [12]. В другом подобном исследовании описывается серия из 17 штаммов C. albicans, выделенных за два года от ВИЧ-инфицированного пациента, получавшего терапию азолами против рецидивирующего орофарингеального кандидоза. За период исследования уровень устойчивости возрос более чем в 200 раз, были выявлены мутации в гене ERG11, регуляторах транскрипции Tac1, Upc2, что приводило к повышенной экспрессии CDR1, CDR2, ERG11. Уровень экспрессии MDR1 также был повышен [33].
По данным нашего исследования у 59% штаммов были одновременно повышены уровни CDR1 и CDR2. Подобные результаты достаточно характерны для устойчивых к азолам клинических изолятов C. albicans [1]. Это может быть обусловлено тем, что гены, кодирующие эффлюксные переносчики CDR1 и CDR2, расположены в одном локусе на хромосоме 3, и часто обнаруживается их одновременная гиперэкспрессия [19]. Следует отметить, что CDR1, CDR2 также регулируются общими механизмами, такими как промотор TAC1, расположенный в одном локусе на левом плече хромосомы 5 вместе с геном ERG11, промоторами CaNDT80, CaFCR1 и CaFCR3 [8].
В то же время в исследованной выборке имеются штаммы с изолированной экспрессией CDR1 либо CDR2. Эти данные также находят подтверждение в результатах других исследователей: делеция CDR2 оказывает заметно меньшее воздействие на устойчивость к азолам по сравнению с отсутствием CDR1 [16].
У подавляющего большинства изолятов был выявлен повышенный уровень экспрессии гена белка мишени азолов — ERG11. Также обнаруживалась коэкспрессия ERG11 как минимум с одним из исследуемых генов. Однако в литературе имеются противоречивые сведения относительно распространенности экспрессии этого гена и его влияния на устойчивость к различным группам противогрибковых препаратов [40]. Многие исследователи отмечают, что в случае повышенной экспрессии ERG11 минимальная подавляющая концентрация для препарата пропорционально повышается, в то время как мутационные механизмы обеспечивают полную устойчивость к антимикотику [24].
Уровень экспрессии гена эффлюксного переносчика MDR1 был повышен в наименьшем числе образцов, хотя в работах ряда исследователей данный механизм был более распространенным [37]. Изолированная гиперэкспрессия MDR1 не оказывает воздействия, сравнимого с другими эффлюксными переносчиками. Тем не менее он способен обеспечивать устойчивость к флуконазолу — наиболее часто рекомендуемому противогрибковому препарату [6]. Ген MDR1 находится на хромосоме 6 и регулируется фактором транскрипции Mrr1 (Multidrug resistance regulator 1), мутации в котором могут приводить к конститутивному повышению его экспрессии [20].
В нашей выборке повышенный уровень экспрессии MDR1 сопровождался одновременным повышением уровней экспрессии CDR1, CDR2 и ERG11 (p < 0,05). Это наблюдение может быть обусловлено функционированием транскрипционного фактора Efg1, который к тому же регулирует образование гиф и другие факторы вирулентности C. albicans и рассматривается в качестве терапевтической мишени для новых препаратов [4]. Возможно также положительное влияние транскрипционного фактора Upc2, регулирующего преимущественно ERG11, на экспрессию MDR1 и CDR1 [10].
Практически в половине случаев (45,5%) наблюдалась коэкспрессия CDR1, CDR2 и ERG11. Выявлена двусторонняя зависимость повышения экспрессии данных генов (p < 0,05). Кроме того, установлена зависимость одновременного повышения уровня экспрессии CDR1, CDR2 при повышении ERG11 (p < 0,05) и ERG11, CDR1 при повышении экспрессии CDR2 (p < 0,05). В литературе встречаются случаи возникновения анеуплоидии левого плеча пятой хромосомы C. albicans, где находится ERG11, а также регулятор транскрипции TAC1, влияющий на экспрессию CDR1 и CDR2, что ведет к одновременной гиперэкспрессии гена 14-α-диметилазы и эффлюксных насосов CDR1 и CDR2 [15]. В то же время на левом плече хромосомы 5 находятся гены PGA4, CHT2, CNB1 и MID1, ассоциированные с устойчивостью к эхинокандинам. Таким образом, появление подобной перестройки может быть механизмом множественной устойчивости к противогрибковым препаратам [34]. Также может играть роль транскрипционный фактор Ace2, который активирует гены CDR1, CDR2, ERG11 и снижает экспрессию MDR1 [39].
По результатам нашего исследования можно предположить, что выявленные механизмы устойчивости являются следствием длительного, широкого, а порой и бесконтрольного применения флуконазола, в том числе для лечения ВИЧ-инфицированных пациентов. Возможно приобретение устойчивости, выходящей за рамки спектра короткоцепочечных азолов. Подобные явления могут приводить к неэффективной терапии случаев инвазивного кандидоза дорогостоящими резервными препаратами. Кроме того, нельзя исключать опасность широкого распространения штаммов Candida spp. с приобретенной устойчивостью к противогрибковым препаратам.
About the authors
A. D. Voropaev
I.M. Sechenov First Moscow State Medical University (Sechenov University)
Author for correspondence.
Email: advoropaev@gmail.com
PhD Student, Department of Microbiology, Virology and Immunology
Russian Federation, MoscowD. A. Yekaterinchev
I.M. Sechenov First Moscow State Medical University (Sechenov University)
Email: ekaterinchevda@yandex.ru
PhD Student, Department of Microbiology, Virology and Immunology
Russian Federation, MoscowY. N. Urban
G.N. Gabrichevsky Research Institute for Epidemiology and Microbiology
Email: urbanek@mail.ru
PhD (Biology), Senior Researcher, Laboratory of Clinical Microbiology and Biotechnology
Russian Federation, MoscowV. V. Zverev
I.M. Sechenov First Moscow State Medical University (Sechenov University)
Email: vitalyzverev@outlook.com
RAS Full Member, PhD, MD (Biology), Professor, Head of the Department of Microbiology, Virology and Immunology
Russian Federation, MoscowYu. V. Nesvizhsky
I.M. Sechenov First Moscow State Medical University (Sechenov University)
Email: nesviz@mail.ru
PhD, MD (Medicine), Professor, Honored Scientist of the Russian Federation, Professor of the Department of Microbiology
Russian Federation, MoscowE. A. Voropaeva
G.N. Gabrichevsky Research Institute for Epidemiology and Microbiology
Email: voropaevaea2011@gmail.com
PhD, MD (Biology), Associate Professor, Head Researcher, Head of Medical Biotechnology Department
Russian Federation, MoscowE. I. Likhanskaya
G.N. Gabrichevsky Research Institute for Epidemiology and Microbiology
Email: lihanskaya.ei@gmail.com
PhD (Biology), Head of the Laboratory of Microbiology and Prophylaxis of Intestinal Infections, Gabrichevsky Institute of Epidemiology and Microbiology
Russian Federation, MoscowM. S. Afanasiev
I.M. Sechenov First Moscow State Medical University (Sechenov University)
Email: nesviz@mail.ru
PhD, MD (Medicine), Professor of the Department of Clinical Allergology and Immunology
Russian Federation, MoscowS. S. Afanasiev
G.N. Gabrichevsky Research Institute for Epidemiology and Microbiologyor epidemiology and microbiology
Email: afanasievss409.4@bk.ru
PhD, MD (Medicine), Professor, Honored Scientist of the Russian Federation, Head Researcher
Russian Federation, MoscowReferences
- Беженар М.Б., Плахова К.И. Механизмы развития резистентности к противогрибковым препаратам грибов рода Candida при рецидивирующем течении урогенитального кандидоза // Молекулярная генетика, микробиология и вирусология. 2020. Т. 38, № 1. С. 15–23. [Bezhenar M.B., Plakhova K.I. Mechanisms of developing antifungal drug resistance of candida spp. in recurrent urogenital candidiasis. Molekulyarnaya genetika, mikrobiologiya i virusologiya = Molecular Genetics, Microbiology and Virology, 2020, vol. 35, no. 1, pp. 15–23. (In Russ.)] doi: 10.17116/molgen20203801115
- Веселов А.В., Козлов Р.С. Инвазивный кандидоз: современные аспекты эпидемиологии, диагностики, терапии и профилактики у различных категорий пациентов (в вопроса и ответах) // Клиническая микробиология и антимикробная химиотерапия. 2016. Т. 18, № 2 (Приложение). С. 1–104. [Veselov A.V., Kozlov R.S. Invasive candidiasis: modern aspects of epidemiology, diagnosis, therapy, and prevention in various categories of patients. Klinicheskaya mikrobiologiya i antimikrobnaya khimioterapiya = Clinical Microbiology and Antimicrobial Chemotherapy, 2016, vol. 18, no. 2 (suppl.), pp. 1–104. (In Russ.)]
- Пашинина О.А., Карташова О.Л., Пашкова Т.М., Попова Л.П. Антимикотикорезистентность грибов рода Candida, выделенных из репродуктивного тракта женщин с воспалительными заболеваниями гениталий // Бюллетень Оренбургского Научного Центра УрО РАН. 2016. № 3. 9 c. [Pashinina O.A., Kartashova O.L., Pashkova T.M., Popova L.P. Antimycotic resistance of Candida fungi isolated from the reproductive tract of women with inflammatory diseases of the genitals. Byulleten’ Orenburgskogo Nauchnogo Tsentra UrO RAN = Bulletin of the Orenburg Scientific Center of the Ural Branch of the Russian Academy of Sciences, 2016, no. 3, 9 p. (In Russ.)]
- Araújo D., Mil-Homens D., Henriques M., Silva S. Anti-EFG1 2’-OMethylRNA oligomer inhibits Candida albicans filamentation and attenuates the candidiasis in Galleria mellonella. Mol. Ther. Nucleic Acids, 2021, vol. 27, pp. 517–523. doi: 10.1016/ j.omtn.2021.12.018
- Assress H.A., Selvarajan R., Nyoni H., Mamba B.B., Msagati T.A.M. Antifungal azoles and azole resistance in the environment: current status and future perspectives — a review. Reviews in Environmental Science and Bio/Technology, 2021, vol. 20, pp. 1011–1041. doi: 10.1007/s11157-021-09594-w
- Banerjee A., Pata J., Sharma S., Monk B.C., Falson P., Prasad R. Directed mutational strategies reveal drug binding and transport by the MDR transporters of Candida albicans. J. Fungi (Basel), 2021, vol. 7, no. 2: 68. doi: 10.3390/jof7020068
- Bhattacharya S., Sae-Tia S., Fries B.C. Candidiasis and mechanisms of antifungal resistance. Antibiotics, 2020, vol. 9, no. 6: 312. doi: 10.3390/antibiotics9060312
- Biswas C., Chen C.-A., Halliday C., Kennedy K., Playford E.G., Marriott D.J., Slavin M.A., Sorrell T.C., Sintchenko V. Identification of genetic markers of resistance to echinocandins, azoles and 5-fluorocytosine in Candida glabrata by next-generation sequencing: a feasibility study. Clin. Microbiol. Infect., vol. 23, no. 9, pp. 676.e7–676.e10. doi: 10.1016/j.cmi.2017.03.014
- Bongomin F., Gago S., Oladele R., Denning D. Global and multi-national prevalence of fungal diseases — estimate precision. J. Fungi (Basel), 2017, vol. 3, no. 4: 57. doi: 10.3390/jof3040057
- Flowers S.A., Barker K.S., Berkow E.L., Toner G., Chadwick S.G., Gygax S.E., Morschhäuser J., Rogers P.D. Gain-of-function mutations in UPC2 are a frequent cause of ERG11 upregulation in azole-resistant clinical isolates of Candida albicans. Eukaryotic Cell. 2012, vol. 11, no. 10, pp. 1289–1299. doi: 10.1128/EC.00215-12
- Garcia-Effron G. Molecular markers of antifungal resistance: potential uses in routine practice and future perspectives. J. Fungi (Basel), 2021, vol. 7, no. 3: 197. doi: 10.3390/jof7030197
- Graham D.O., Wilson R.K., Ruma Y.N., Keniya M.V., Tyndall J.D.A., Monk B.C. Structural insights into the azole resistance of the Candida albicans darlington strain using Saccharomyces cerevisiae lanosterol 14-demethylase as a surrogate. J. Fungi (Basel), 2021, vol. 7, no. 11: 897. doi: 10.3390/jof7110897
- Hampe I.A.I., Friedman J., Edgerton M., Morschhäuser J. An acquired mechanism of antifungal drug resistance simultaneously enables Candida albicans to escape from intrinsic host defenses. PLoS Pathog., 2017, vol. 13, no. 9: e1006655. doi: 10.1371/journal.ppat.1006655
- Hoving J.C., Brown G.D., Gómez B.L., Govender N.P., Limper A.H., May R.C., Meya D.B. AIDS-related mycoses: updated progress and future priorities. Trends Microbiol., 2020, vol. 28, no. 6, pp. 425–428. doi: 10.1016/j.tim.2020.01.009
- Kukurudz R.J., Chapel M., Wonitowy Q., Bukari A.-R.A., Sidney B., Sierhuis R., Gerstein A.C. Acquisition of cross-azole tolerance and aneuploidy in Candida albicans strains evolved to posaconazole. G3 (Bethesda), 2022, vol. 12, no. 9: jkac156 doi: 10.1093/g3journal/jkac156
- Lee Y., Puumala E., Robbins N., Cowen L.E. Antifungal drug resistance: molecular mechanisms in Candida albicans and beyond. Chem. Rev., 2021, vol. 121, no. 6, pp. 3390–3411. doi: 10.1021/acs.chemrev.0c00199
- Liu J.-Y.Y., Shi C., Wang Y., Li W.-J.J., Zhao Y., Xiang M.-J.J. Mechanisms of azole resistance in Candida albicans clinical isolates from Shanghai, China. Res. Microbiol., 2015, vol. 166, no. 3, pp. 153–161. doi: 10.1016/j.resmic.2015.02.009
- Livak K.J., Schmittgen T.D. Analysis of relative gene expression data using real-time quantitative PCR and the 2(-Delta Delta C(T)) Method. Methods, 2001, vol. 25, no. 4, pp. 402–408. doi: 10.1006/meth.2001.1262
- Maras B., Maggiore A., Mignogna G., D’Erme M., Angiolella L. Hyperexpression of CDRs and HWP1 genes negatively impacts on Candida albicans virulence. PLoS One, 2021, vol. 16, no. 6: e0252555. doi: 10.1371/journal.pone.0252555
- Morio F., Pagniez F., Besse M., Oise Gay-Andrieu F., Miegeville M., Le Pape P. Deciphering azole resistance mechanisms with a focus on transcription factor-encoding genes TAC1, MRR1 and UPC2 in a set of fluconazole-resistant clinical isolates of Candida albicans. Int. J. Antimicrob. Agents, 2013, vol. 42, pp. 410–415. doi: 10.1016/j.ijantimicag.2013.07.013.
- Morschhäuser J. Regulation of multidrug resistance in pathogenic fungi. Fungal Genet. Biol., 2010, vol. 47, no. 2, pp. 94–106. doi: 10.1016/j.fgb.2009.08.002
- Moye-Rowley W.S. Linkage between genes involved in azole resistance and ergosterol biosynthesis. PLoS Pathog., 2020, vol. 16, no. 9: e1008819. doi: 10.1371/journal.ppat.1008819
- Niimi M., Niimi K., Tanabe K., Cannon R.D., Lamping E. Inhibitor resistant mutants give important insights into Candida albicans ABC transporter Cdr1 substrate specificity and help elucidate efflux pump inhibition. Antimicrob. Agents Chemother., 2022, vol. 66, no. 1: e0174821. doi: 10.1128/AAC.01748-21
- Oliveira J.M.V., Oliver J.C., Dias A.L.T., Padovan A.C.B., Caixeta E.S., Ariosa M.C.F. Detection of ERG11 Overexpression in Candida albicans isolates from environmental sources and clinical isolates treated with inhibitory and subinhibitory concentrations of fluconazole. Mycoses, 2021, vol. 64, no. 2, pp. 220–227 doi: 10.1111/myc.13208
- Orlandini R.K., Bepu D.A.N., Saraiva M.D.C.P., Bollela V.R., Motta A.C.F., Lourenço A.G. Are Candida albicans isolates from the oral cavity of HIV-infected patients more virulent than from non-HIV-infected patients? Systematic review and meta-analysis. Microbial Pathogenesis, 2020, vol. 149: 104477. doi: 10.1016/j.micpath.2020.104477
- Pankhurst C.L. Candidiasis (oropharyngeal). BMJ Clin. Evid., 2013, vol. 2013: 1304.
- Paul S., Moye-Rowley W.S. Multidrug resistance in fungi: regulation of transporter-encoding gene expression. Front. Physiol. Frontiers, 2014, vol. 5: 143. doi: 10.3389/fphys.2014.00143
- Perea S., López-Ribot J.L., Kirkpatrick W.R., McAtee R.K., Santillán R.A., Martínez M., Calabrese D., Sanglard D., Patterson T.F. Prevalence of molecular mechanisms of resistance to azole antifungal agents in candida albicans strains displaying high-level fluconazole resistance isolated from human immunodeficiency virus-infected patients. Antimicrob. Agents Chemother., 2001, vol. 45, no. 10, pp. 2676–2684. doi: 10.1128/AAC.45.10.2676-2684.2001
- Perlin D.S., Rautemaa-Richardson R., Alastruey-Izquierdo A. The global problem of antifungal resistance: prevalence, mechanisms, and management. Lancet Infect. Dis., 2017, vol. 17, no. 12, pp. e383–e392. doi: 10.1016/S1473-3099(17)30316-X
- Pfaller M.A., Carvalhaes C.G., DeVries S., Huband M.D., Castanheira M. Elderly versus nonelderly patients with invasive fungal infections: species distribution and antifungal resistance, SENTRY antifungal surveillance program 2017–2019. Diagn. Microbiol. Infect. Dis., 2022, vol. 102, no. 4: 115627. doi: 10.1016/j.diagmicrobio.2021.115627
- Rajadurai S.G., Maharajan M.K., Veettil S.K., Gopinath D. Comparative efficacy and safety of antifungal agents in the prophylaxis of oropharyngeal candidiasis among HIV-infected adults: a systematic review and network meta-analysis. Life (Basel), 2022, vol. 12, no. 4: 515. doi: 10.3390/life12040515
- Redhu A.K., Shah A.H., Prasad R. MFS transporters of Candida species and their role in clinical drug resistance. FEMS Yeast Res., 2016, vol. 16, no. 4: fow043 doi: 10.1093/femsyr/fow043
- Robbins N., Caplan T., Cowen L.E. Molecular evolution of antifungal drug resistance. Annu. Rev. Microbiol., 2017, vol. 71, no. 1, pp. 753–775. doi: 10.1146/annurev-micro-030117-020345
- Sah S.K., Hayes J.J., Rustchenko E. The role of aneuploidy in the emergence of echinocandin resistance in human fungal pathogen Candida albicans. PLoS Pathog., 2021, vol. 17, no. 5: e1009564. doi: 10.1371/journal.ppat.1009564
- Sanglard D., Coste A., Ferrari S. Antifungal drug resistance mechanisms in fungal pathogens from the perspective of transcriptional gene regulation. FEMS Yeast Res., 2009, vol. 9, no. 7, pp. 1029–1050. doi: 10.1111/j.1567-1364.2009.00578.x
- Sanguinetti M., Posteraro B., Lass-Flörl C. Antifungal drug resistance among Candida species: mechanisms and clinical impact. Mycoses, 2015, vol. 58, suppl. 2, pp. 2–13. doi: 10.1111/myc.12330
- Shi C., Liu J., Li W., Zhao Y., Meng L., Xiang M. Expression of fluconazole resistance-associated genes in biofilm from 23 clinical isolates of Candida albicans. Braz. J. Microbiol., 2019, vol. 50, no. 1, pp. 157–163. doi: 10.1007/s42770-018-0009-2
- Teo J.Q.-M., Lee S.J.-Y., Tan A.-L., Lim R.S.-M., Cai Y., Lim T.-P., Kwa A.L.-H. Molecular mechanisms of azole resistance in Candida bloodstream isolates. BMC Infect Dis., 2019, vol. 19, no. 1: 63. doi: 10.1186/s12879-019-3672-5
- Wakade R.S., Ristow L.C., Stamnes M.A., Kumar A., Krysan D.J. The Ndr/LATS kinase Cbk1 regulates a specific subset of Ace2 functions and suppresses the hypha-to-yeast transition in Candida albicans. mBio, 2020, vol. 11, no. 4: e01900-20. doi: 10.1128/mBio.01900-20
- Zhang J., Li L., Lv Q., Yan L., Wang Y., Jiang Y. The fungal CYP51s: their functions, structures, related drug resistance, and inhibitors. Front. Microbiol., 2019, vol. 10: 691. doi: 10.3389/fmicb.2019.00691





