Study of the adjuvant properties of beta-glucans from Saccharomyces Cerevisiae yeast
- Authors: Volosnikova E.A.1, Shcherbakov D.N.1, Volkova N.V.1, Esina T.I.1, Zaikovskaya A.V.1, Shimina G.G.1, Danilenko E.D.1
-
Affiliations:
- State Research Center of Virology and Biotechnology “Vector”
- Issue: Vol 14, No 3 (2024)
- Pages: 569-574
- Section: SHORT COMMUNICATIONS
- Submitted: 26.07.2024
- Accepted: 26.07.2024
- Published: 28.07.2024
- URL: https://iimmun.ru/iimm/article/view/17738
- DOI: https://doi.org/10.15789/2220-7619-SOT-16685
- ID: 17738
Cite item
Full Text
Abstract
To increase the effectiveness and immunogenicity of modern vaccines, especially subunit ones, it is required to use adjuvants. Polysaccharides, due to their safety and biocompatibility, are desirable candidates for the creation of vaccine adjuvants. The aim of our study was to develop a method for obtaining beta-Glucans from the yeast Saccharomyces cerevisiae cell wall, and evaluate their adjuvant properties. The high purity and non-toxicity of the resulting preparation was achieved by using enzyme complexes of cellulase and protease in combination with ultrasound (22 kHz) at the purification stage. The developed scheme allows for the yield of beta-Glucans up to 2 g from 100 g of the biomass of wet cells. The adjuvant properties of beta-Glucans were studied in 50 male BALB/c mice, weighing 16–18 g. Immunization was performed twice, with a 14-day interval, intramuscularly, 200 μl per animal. The recombinant receptor-binding domain (RBD) of the surface S protein of the SARS-CoV-2 virus (Wuhan-Hu-1 and B.1.617.2 (Delta)) was used as an antigen, at a dose of 50 μg per animal. A positive control group was administered with the antigen combined with aluminum hydroxide. As a negative control, mice injected with the saline solution were used. The titers of specific antibodies in the blood sera were determined by ELISA assays. RBD (Wuhan-Hu-1 and Delta), and S protein (Wuhan-Hu-1, Delta and Omicron) were used as antigens. The titers of virus-neutralizing antibodies were measured in neutralization tests using SARS-CoV-2 virus strains Wuhan-Hu-1, Delta (B.1.617.2) and Omicron (B.1.1.529). The results of the study have shown that beta-Glucans have the ability to enhance the production of specific and virus-neutralizing antibodies in mice immunized with RBD. The titers of specific and virus neutralizing antibodies are comparable to their levels in the group immunized with RBD and Al(OH)₃. It has been found in the experiments in white outbred ICR mice that the preparation belongs to practically non-toxic substances. Therefore, it can be concluded that the use of beta-Glucans could become a preferable alternative to the conventional adjuvants based on aluminum salts, being biocompatible, biodegradable and non-toxic substances of low labor-intensive production.
Keywords
Full Text
Введение
Субъединичные вакцины занимают важное место в системе современной вакцинопрофилактики. Обязательным компонентом таких вакцин, обеспечивающим повышение их иммуногенности, являются адъюванты. Классическими адъювантами, которые по-прежнему широко используются при разработке новых вакцин, являются адъюванты на основе солей алюминия. В то же время необходимость индукции, помимо гуморального, клеточного звена иммунитета, снижения побочных эффектов вакцин, заставляют искать другие варианты адъювантных систем.
Известно, что многие полисахариды, такие как альфа-, бета-глюканы, маннан и хитозан, обладают адъювантными свойствами [7, 6]. Адъюванты на основе полисахаридов совместимы с антигенами, полученными при помощи разных экспрессионных систем, безопасны, характеризуются минимальным риском образования токсических метаболитов, хорошо переносятся, кроме того, относительно легко нарабатываются в производственных масштабах [3].
Бета-глюканы — это группа полисахаридов, присутствующая во многих видах организмов, таких как грибы, дрожжи, овес, ячмень, морские водоросли, и обладающая разнообразной биологической активностью. При использовании бета-глюканов в качестве адъювантов было обнаружено, что в организме они распознаются целым рядом рецепторов, таких как дектин-1, рецептор комплемента 3 (CR3), CD5, лактозилцерамид и др. [8].
Цель данной работы заключалась в разработке способа получения бета-глюканов из клеточных стенок Saccharomyces cerevisiae, изучении их адъювантных и токсических свойств.
Материалы и методы
Получение бета-глюканов. Для получения препарата бета-глюканов использовали биомассу клеток Saccharomyces cerevisiae Y-448. Клетки подвергали механическому разрушению с помощью бус баллотини. Клеточный дебрис растворяли и подвергали ферментативному гидролизу, для чего к растворенному дебрису добавляли 40 г «Протосубтилин Г3Х» и 3 мл «ЦеллоЛюксА» (ООО ПО «Сиббиофарм»), гид ролиз вели 15 часов при 60°С. Смесь охлаждали до температуры 20°С и центрифугировали (12 000g, 20 мин, 20°С). Осадок, содержащий целевой продукт бета-глюканов, отмывали 1%-ным раствором додецилсульфата натрия, деионизованной водой пятикратно и трижды подвергали воздействию ультразвука с частотой 22 кГц/с (5 мин). Далее проводили щелочной гидролиз и полупродукт отмывали деионизованной водой. Готовый продукт суспендировали в 50 мл деионизованной воды, разливали и сушили в термостате при 50°С.
Иммунизация животных. В качестве антигена для иммунизации использовали рекомбинантный белок RBD (рецептор-связывающий домен поверхностного S-белка коронавируса SARS-CoV-2, вариант B.1.617.2 (Delta)), полученный в ФБУН ГНЦ ВБ «Вектор» Роспотребнадзора с использованием клеток CHO-K1. Изучение адъювантных свойств проводили на самцах мышей линии BALB/c массой 16–18 г, полученных из питомника ФБУН ГНЦ ВБ «Вектор» Роспотребнадзора (р.п. Кольцово Новосибирской области). Условия их содержания и проведения экспериментов были выполнены в соответствии с Федеральным законом «Об ответственном обращении с животными и о внесении изменений в отдельные законодательные акты Российской Федерации» от 27.12.2018 № 498-ФЗ.
Первой группе животных внутримышечно, двукратно с интервалом 14 суток, вводили белок RBD, второй и третьей — RBD с препаратом бета-глюканов в дозе 1 мг или 50 мкг в объеме 0,2 мл на мышь. В качестве положительного контроля использовали мышей, которым по аналогичной схеме внутримышечно вводили белок RBD и гидроокись алюминия Al(OH)₃ в дозе 250 мкг. В качестве отрицательного контроля использовали мышей, которым вводили 200 мкл физиологического раствора. Для определения титров специфических и вируснейтрализующих антител через 10 суток после второй иммунизации из ретроорбитального синуса отбирали образец крови, как описано в [1].
Анализ титров специфических антител. Титры специфических антител в сыворотках крови определяли методом иммуноферментного анализа. В качестве антигена использовали рекомбинантный RBD поверхностного белка SARS-CoV-2 (вариант (Wuhan-Hu-1) и B.1.617.2 (Delta)) и рекомбинантный спайковый белок (вариант (Wuhan-Hu-1), B.1.617.2 (Delta) и B.1.1.529 (Omicron)). Сорбцию антигенов (200 нг/лунку) проводили в буфере 0,1 М NaHCO3. Для выявления антител использовали конъюгат антимышиных антител с пероксидазой хрена в рабочем разведении 1:2000 (SigmaAldrich, США). Для регистрации уровня оптической плотности после добавления субстрата и остановки реакции использовали мультимодальный ридер Thermo Scientific Varioskan LUX при длине волны 450 нм. Титр определяли по значению максимального разведения, при котором сигнал оптической плотности превышал значение оптической плотности лунок с отрицательным контролем более, чем в три раза.
Анализ титров вируснейтрализующих антител. Титры вируснейтрализующих антител определяли при помощи реакции вируснейтрализации. С этой целью были использованы штаммы вируса SARS-CoV-2 Wuhan–hCoV- 19/Australia/VIC01/2020 (Wuhan-Hu-1), Delta– hCoV-19/Russia/PSK-2804/2021 (Delta (B.1.617.2)) и Omicron 1–hCoV-19/Russia/Moscow171619-031221/ 2021 (Omicron (B.1.1.529)), полученные из Госу дарственной коллекции возбудителей вирусных инфекций и риккетсиозов ФБУН ГНЦ ВБ «Вектор» Роспотребнадзора. К сывороткам в разных разведениях добавляли вирус в равной пропорции 1:1 и инкубировали 1 час при 37°С. Затем смесь вируса и сыворотки наносили в дублях на монослой культуры клеток Vero в объеме 100 мкл/лунку. Учет результатов проводили визуально. Любое специфическое поражение культуры клеток в лунке учитывали как цитопатическое действие (ЦПД). Титром считали последнее разведение, при котором регистрировали защиту монослоя культуры клеток в лунках от ЦПД вируса. В качестве положительного контроля использовали 20-кратное разведение образца сыворотки крови реконвалесцента COVID-19 с ранее установленным тит ром 1:80. В качестве отрицательного контроля использовали питательную среду.
Статистический анализ. Статистический анализ проводился с использованием программного обеспечения GraphPad Prism 8.0, при этом p < 0,05 считали показателем статистичес кой значимости. Статистическую значимость различий среди разных групп животных определяли с помощью двустороннего непараметрического U-критерия Манна–Уитни с 95% доверительным интервалом или критерия Краскела–Уоллиса (для более чем двух групп).
Метод определения параметров летальных доз. В эксперименте использовали 21 самца белых аутбредных мышей ICR возрастом 7–8 недель, с массой тела 18–20 г. Исследование проводили экспресс-методом определения средней эффективной дозы и ее ошибки по методу Прозоровского [5]. Препарат вводили мышам однократно внутрибрюшинно в дозах 2,0; 1,58; 1,26; 1,0; 0,79; 0,631; 0,51 мг/кг. В течение первых суток и один раз в день в течение 14 суток после введения проводили подсчет павших, животных взвешивали (весы электронные SCOUTII, OHAUS, США) и проводили клинический осмотр. Клинический осмотр включал оценку следующих параметров: темперамент (вялость, агрессия), состояние шерстного покрова (выпадение, взъерошенность), состояние глаз (конъюнктивит, слезотечение, помутнение), моче испускание (потемнение, осветление), экскреция (диспепсия).
Результаты и обсуждение
Адъювантная активность природных полисахаридов хорошо известна и является предметом продолжающихся исследований. Одним из таких природных полимеров являются бета-глюканы из клеточных стенок дрожжей. В работе для получения препарата бета-глюканов, наряду со стандартным подходом, были использованы ферментные комплексы целлюлазы и протеазы в сочетании с обработкой ультразвуком. Оптимизация процесса позволила получить препарат бета-глюканов высокой степени чистоты с выходом до 2 г из 100 г биомассы влажных клеток Saccharomyces cerevisiae.
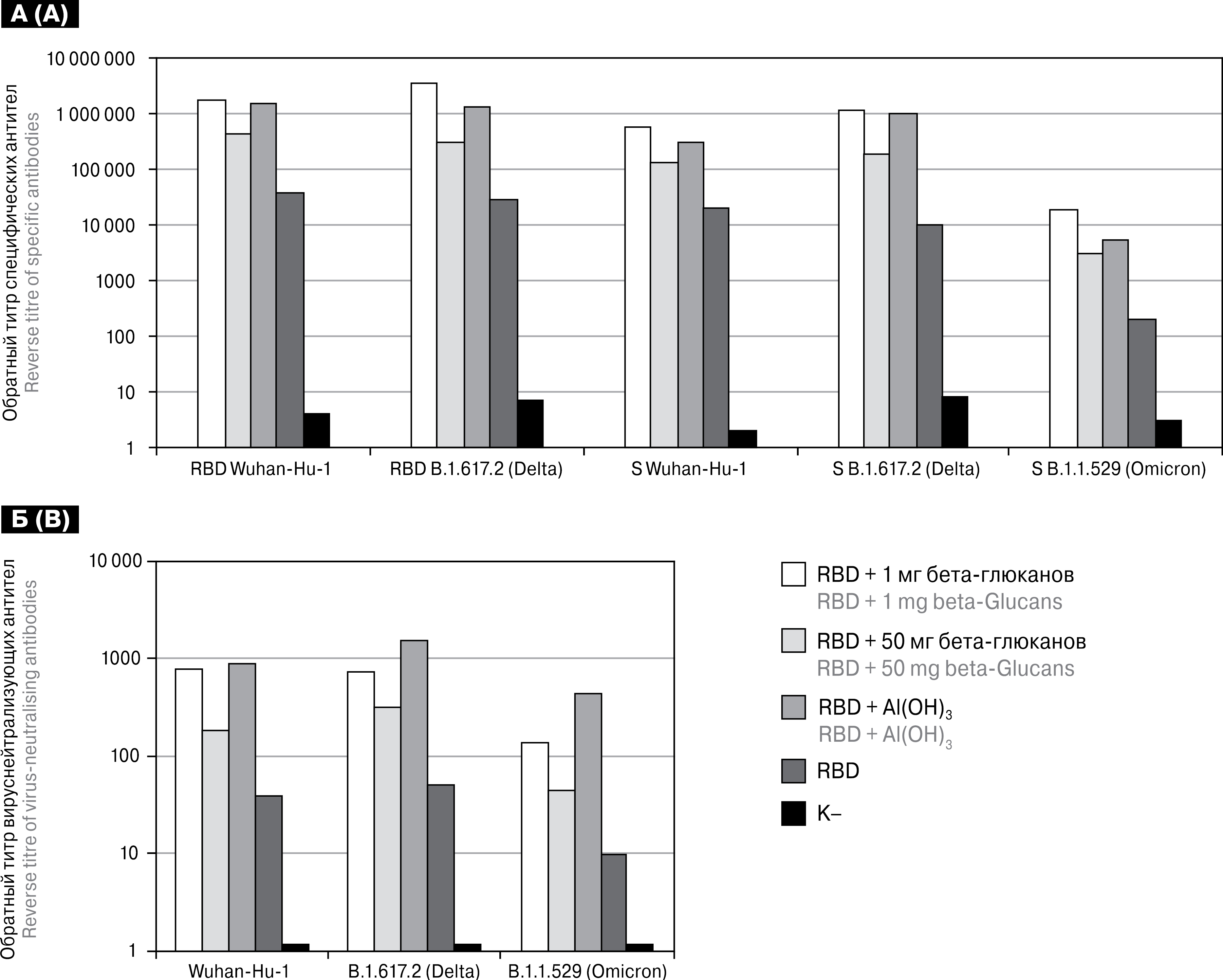
Оценка адъювантной активности препарата бета-глюканов на лабораторных мышах, иммунизированных белком RBD, показала, что бета-глюканы обладают способностью усиливать выработку специфических и вируснейтрализующих антител. В группе мышей, которым вводили адъювант в дозе 50 мкг, средний обратный титр специфических антител против гомологичного антигена (RBD, вариант Delta) составлял 178 740. В группе, получившей адъювант в дозе 1 мг, этот показатель был на порядок выше и составил 1 115 370. Полученные значения среднего обратного титра антител животных опытных групп близки к значениям параметра в группе, иммунизированной RBD с Al(OH)₃ (рис., А), при этом для дозы 1 мг они были несколько выше. Сходную картину наблюдали при тестировании сывороток с использованием RBD гетерологичного варианта Wuhan-Hu-1. Картина значительно не изменялась и при тестировании с использованием полноразмерных S-белков SARS-CoV-2, хотя в случае варианта Omicron наблюдалось снижение обратных титров в опытных группах мышей.
Рисунок. Анализ гуморального ответа мышей после двукратной иммунизации RBD в комплексе с бета-глюканами
Figure. Analysis of humoral immune response in mice after a double immunization with RBD in combination with beta-Glucans
Примечание. А — обратный титр специфических антител, в качестве антигенов использованы RBD вариантов Wuhan-Hu-1 и Delta (B.1.617.2) и спайковые S-белки вариантов Wuhan-Hu-1, Delta (B.1.617.2) и Omicron (B.1.1.529). Б — обратный титр вируснейтрализующих антител против штаммов вируса SARS-CoV-2: Wuhan–hCoV-19/Australia/VIC01/2020 (Wuhan-Hu-1), Delta-hCoV-19/Russia/PSK-2804/2021 (Delta (B.1.617.2)) и Omicron 1–hCoV-19/Russia/Moscow171619–031221/2021 (Omicron (B.1.1.529)).
Note. A, reverse titers of the specific antibodies against S proteins of Wuhan (Wuhan-Hu-1), Delta (B.1.617.2) and Omicron (B.1.1.529) virus variants. B, reciprocal titers of the virus-neutralizing antibodies against SARS-CoV-2 virus strains: Wuhan–hCoV-19/Australia/VIC01/2020 (Wuhan-Hu-1), Delta–hCoV-19/Russia/PSK-2804/2021 (Delta (B.1.617.2)), and Omicron 1–hCoV-19/Russia/Moscow171619–031221/2021 (Omicron (B.1.1.529)).
Анализ вируснейтрализующей активности сывороток показал, что титры нейтрализующих антител в крови мышей, иммунизированных RBD в сочетании с бета-глюканами, в отношении штаммов hCoV-19/Australia/VIC01/2020 (Wuhan) и hCoV-19/Russia/PSK-2804/2021 (Delta) сравнимы, в то время как в отношении hCoV-19/Russia/Moscow171619-031221/2021 (Omicron) существенно ниже (рис., Б). Титры вируснейтрализующих антител в группе мышей, иммунизированной только RBD, были ниже, чем в группах с адъювантом. При этом наблюдалась схожая тенденция повышения значений показателя при увеличении дозы адъюванта с 50 мкг до 1 мг. Как и в случае специфических антител, титры вируснейтрализующих антител были сравнимы с их уровнем в группе, иммунизированной RBD с Al(OH)₃.
Анализ токсичности препарата бета-глюканов показал, что среднесмертельная доза препарата (ЛД50) составила 1,12 (1,0–1,26) г/ кг, максимально переносимая доза (МПД) — 0,79 г/кг, а летальная доза (ЛД100) — 1,58 г/кг. В соответствии с классификацией токсичности веществ при введении в брюшную полость животного (по К.К. Сидорову) [2, 4] можно констатировать, что препарат относится к практически нетоксичным веществам.
Заключение
В результате данной работы разработана схема получения препарата бета-глюканов из клеточных стенок дрожжей Saccharomyces cerevisiae. Исследованы адъювантные свойства полученного препарата и показано, что наибольшая адъювантная активность достигается при использовании дозы бета-глюканов 1 мг/мышь. Обратные титры специфических антител крови мышей, иммунизированных RBD в сочетании с препаратом бета-глюканов, были сравнимы или превышали титры антител в группе животных, иммунизированных RBD с гидроксидом алюминия. Сыворотки крови, полученные от животных, иммунизированных RBD либо RBD в сочетании с бета-глюканами, нейтрализовали как гомологичные, так и гетерологичные штаммы SARS-CoV-2. Исследование токсических свойств препарата бета-глюканов показало, что препарат может быть отнесен к классу практически нетоксичных веществ.
About the authors
Ekaterina A. Volosnikova
State Research Center of Virology and Biotechnology “Vector”
Author for correspondence.
Email: volosnikova_ea@vector.nsc.ru
PhD (Biology), Senior Researcher, Head, Laboratory of Obtaining and Analizing Biosubstances, State Research Center of Virology and Biotechnology “Vector”
Russian Federation, 630559, Koltsovo, Novosibirsk RegionD. N. Shcherbakov
State Research Center of Virology and Biotechnology “Vector”
Email: kulenok84@mail.ru
PhD (Biology), Leading Researcher, State Research Center of Virology and Biotechnology “Vector”
Russian Federation, 630559, Koltsovo, Novosibirsk RegionN. V. Volkova
State Research Center of Virology and Biotechnology “Vector”
Email: kulenok84@mail.ru
PhD (Biology), Researcher, State Research Center of Virology and Biotechnology “Vector”
Russian Federation, 630559, Koltsovo, Novosibirsk RegionT. I. Esina
State Research Center of Virology and Biotechnology “Vector”
Email: kulenok84@mail.ru
Junior Researcher, State Research Center of Virology and Biotechnology “Vector”
Russian Federation, 630559, Koltsovo, Novosibirsk RegionA. V. Zaikovskaya
State Research Center of Virology and Biotechnology “Vector”
Email: kulenok84@mail.ru
PhD (Biology), Senior Researcher, State Research Center of Virology and Biotechnology “Vector”
Russian Federation, 630559, Koltsovo, Novosibirsk RegionG. G. Shimina
State Research Center of Virology and Biotechnology “Vector”
Email: kulenok84@mail.ru
Researcher, State Research Center of Virology and Biotechnology “Vector”
Russian Federation, 630559, Koltsovo, Novosibirsk RegionE. D. Danilenko
State Research Center of Virology and Biotechnology “Vector”
Email: kulenok84@mail.ru
PhD (Biology), Director of the Institute of Medical Biotechnology
Russian Federation, 630559, Koltsovo, Novosibirsk RegionReferences
- Дьякон А.В., Хрыкина И.С., Хегай А.А., Дьяченко И.А., Мурашев А.Н., Ивашев М.Н. Метод забора крови у животных // Международный журнал прикладных и фундаментальных исследований. 2013. Т. 11, № 2. С. 84–85. [Dyakon A.V., Hrykina I.S., Hegai A.A., Dyachenko A., Murashev A.N., Ivashev M.N. Method for blood sampling in animals. Mezhdunarodnyy zhurnal prikladnykh i fundamentalnykh issledovaniy = International Journal of Applied and Fundamental Research, 2013, vol. 11, no. 2, pp. 84–85. (In Russ.)]
- Измеров Н.Ф., Саноцкий И.В., Сидоров К.К. Параметры токсикометрии промышленных ядов при однократном воздействии (Справочник). М.: Медицина, 1977. 240 c. [Izmerov N.F., Sanotsky I.V., Sidorov K.K. Parameters of Toxicometry of Industrial Poisons with a Single Exposure (Reference Book). Moscow: Meditsina, 1977. 240 p. (In Russ.)]
- Курашова С.С., Дзагурова Т.К. Ишмухаметов А.А., Егорова М.С., Баловнева М.В., Соцкова С.Е., Ткаченко Е.А. Адъюванты на основе углеводов для производства вакцин // БИОпрепараты. Профилактика, диагностика, лечение, 2018. Т. 18, № 2. С. 81–91. [Kurashova S.S., Dzagurova Т.К., Ishmukhametov А.А., Egorova М.S., Balovneva М.V., Sotskova S.E., Tkachenko Е.А. Carbohydrate-Based Adjuvants for Vaccine Production. BIOpreparaty. Profilaktika, diagnostika, lechenie = BIOpreparations. Prevention, Diagnosis, Treatment, 2018, vol. 18, no. 2, pp. 81–91. (In Russ.)]
- Методические указания по оценке токсичности и опасности дезинфицирующих средств МУ 1.2.110⁵02, утвержденные Главным государственным санитарным врачом РФ 10.02.2002. М., 2002. [Evaluation of the toxicity and hazards of disinfectants: guidelines 1.2.110⁵-02: approved by the Chief State Sanitary Doctor of the Russian Federation on 10.02.2002]. Moscow, 2002. URL: https://docs.cntd.ru/document/1200030376/titles
- Прозоровский В.Б., Прозоровская М.Н., Демченко В.М. Экспресс-метод определения средней эффективной дозы и ее ошибки // Фармакология и токсикология, 1978. Т. 41, № 4. С. 497–502. [Prozorovsky V.B., Prozorovskaya M.P., Demchenko V.M. A rapid method for the determination of the median effective dose and its errors. Farmakologiya i toksikologiya = Pharmacology and Toxicology, 1978, vol. 41, no. 4, pp. 497–502. (In Russ.)]
- Dmour I., Islam N. Recent advances on chitosan as an adjuvant for vaccine delivery. Int. J. Biol. Macromol., 2022, vol. 200, pp. 498–519.
- Fesel P.H., Zuccaro A. β-glucan: Crucial component of the fungal cell wall and elusive MAMP in plants. Fungal Genet. Biol., 2016, vol. 90, pp. 53–60.
- Jin Y., Li P., Wang F. β-glucans as potential immunoadjuvants: a review on the adjuvanticity, structureactivity relationship and receptor recognition properties. Vaccine, 2018, vol. 36, pp. 5235–5244.
Supplementary files




