The influence of neutrophils and their exoproducts on biofilm biomass, bacterial viability and conjugative transfer into Escherichia Coli
- Authors: Maslennikova I.L.1, Nekrasova I.V.1, Starčič E.M.2, Kuznetsova M.V.1
-
Affiliations:
- Institute of Ecology and Genetics of Microorganisms Ural Branch Russian Academy of Science
- University of Ljubljana
- Issue: Vol 14, No 3 (2024)
- Pages: 511-518
- Section: SHORT COMMUNICATIONS
- Submitted: 26.07.2024
- Accepted: 26.07.2024
- Published: 28.07.2024
- URL: https://iimmun.ru/iimm/article/view/17729
- DOI: https://doi.org/10.15789/2220-7619-TIO-16691
- ID: 17729
Cite item
Full Text
Abstract
The purpose of this study was to investigate the effect of neutrophils and their antimicrobial factors, hydrogen peroxide and defensin α, on the biofilm biomass, the viability of bacteria in the biofilm and the efficiency of conjugative transfer of the pOX38:Cm plasmid from the E. coli N4i pOX38:Cm strain into different E. coli strains (commensal К12 TG1 and uropathogenic DL82, R32 and R45). The biofilm of the recipient E. coli TG1 with the donor E. coli N4i pOX38:Cm increased when 10⁵ cells/ml of neutrophils were added compared to the control, while the biofilm biomass of the uropathogenic E. coli recipient strains DL82/E. coli R45 with the donor E. coli N4i pOX38:Cm decreased when 10⁶/10⁴–10⁶ cells/ml of neutrophils were added, respectively. The survival of recipient E. coli TG1 cells and transconjugants in the biofilm was, compared to the control, higher when 10⁴, 10⁵, 10⁶ cells/ml of neutrophils were added. The addition of 0.1 mM H₂O₂ increased biofilm formation of E. coli DL82 and E. coli R45, and addition of 0.5 mM H₂O₂ reduced biofilm formation of E. coli DL82, while 0.5 mM or 2.5 mM reduced the E. coli R45 bacterial biofilm biomass in the conjugative mixture. The frequency of the pOX38:Cm conjugative transfer was lower in the presence of 2.5 mM H₂O₂ in the N4i pOX38:Cm × DL82 biofilm, and also in the presence of 0.5 and 2.5 mM H₂O₂ in the N4i pOX38:Cm × R45 biofilm, compared to the control. The frequency of pOX38:Cm conjugation from the donor E. coli N4i pOX38:Cm into E. coli DL82 decreased, when 5 or 25 ng/ml defensin α were added and the conjugation frequency in the mating mixture N4i pOX38:Cm×R45 decreased, when 5 ng/ml were added, while, when 25 ng/ml of defensin α were added it increased.
Keywords
Full Text
Введение
Молекулярные механизмы хронических бактериальных инфекций и, в частности, инфекций мочевыводящих путей (ИМВП) активно изучаются во всем мире. Основным возбудителем ИМВП являются представители уропатогенных Escherichia coli (UPEC), которые имеют тенденцию образовывать на биотических и абиотических поверхностях биопленки, либо внедряться в слизистую оболочку мочевого пузыря, который становится резервуаром бактерий, что обусловливает развитие хронических рецидивирующих инфекций и, как следствие, деструктивных процессов [5, 9]. Биопленка может быть местом, где изменения генома, а именно приобретение резистентности к антибиотикам или факторов патогенности, могут осуществляться при горизонтальном переносе генов путем конъюгации [11]. Известно, что конъюгативный перенос вносит дополнительную динамику в биопленкообразование за счет усиленной экспрессии клетками факторов слипания во время передачи плазмиды [4]. Плазмиды могут являться инструментом генетического разнообразия, способствуя эволюции кодируемых плазмидами генов бактерий [18].
В составе биопленки бактерии являются недоступными как для самих клеток иммунной системы (фагоцитов/нейтрофилов), так и для бактерицидных кислородзависимых (активные формы кислорода, МПО и т. д.) и кислороднезависимых (α-дефензины, лизоцим, катепсин G и т. д.) факторов. Вирулентность микроорганизмов, свойства внеклеточного матрикса ограничивают возможность контроля нейтрофилами и другими эффекторами иммунитета процесса биопленкобразования и последующего распространения бактерий.
Экспрессия вирулентных генов UPEC, с одной стороны, может влиять на их биопленкооб разование, а с другой — может иметь опосредованное влияние и на функции нейтрофилов [14, 15, 17, 19]. Ранее мы показали, что клетки и супернатанты бактерий E. coli снижали жизнеспособность и стимулировали ранний апоптоз нейтрофилов [10]. Характер взаимодействия нейтрофилов с биопленками штаммов с высоким патогенным потенциалом определялся, в основном, на уровне действия «биопленочных» супернатантов за счет лизиса фагоцитов. Напротив, супернатанты штаммов с ограниченным набором вирулент-ассоциированных генов не вызывали гибели и уход в апоптоз нейтрофилов по сравнению с бактериальными клетками, что позволяло фагоцитам внедряться в массивную биопленку и частично разрушать ее. В соответствии с этим была выдвинута гипотеза, что горизонтальный перенос генов может определяться факторами патогенности реципиентов, связанными как с образованием биопленок, так и с факторами, вызывающими изменения функций клеток врожденного иммунитета.
Цель данного исследования — изучить влияние нейтрофилов и их антимикробных факторов, перекиси водорода и дефензина α, на биомассу биопленки, жизнеспособность входящих в нее бактерий и эффективность конъюгативного переноса в клетки штаммов E. coli.
Материалы и методы
В работе использовали комменсальный штамм E. coli К12 TG1 [1]. Референтный уропатогенный E. coli DL82 и E. coli N4i pOX38:Cm получены из коллекции группы молекулярной генетики биотехнологического факультета Люблянского университета (Словения). Штаммы E. coli R32, E. coli R45 [8] были выделенны от пациентов с ИМВП, госпитализированных в стационары г. Перми, и депонированы в коллекцию Ex culture Люблянского университета (Слове ния). Набор вирулентных факторов, филогруппа и коровый профиль представлен в работе Kuznetsova et al. [8]. Штаммы E. coli K12 TG1, E. coli DL82, E. coli R32, E. coli R45 использовали в качестве реципиентов плазмиды, а E. coli N4i pOX38:Cm — в качестве донора в конъюгативной смеси.
Нейтрофилы периферической крови здоровых мужчин (n = 3–4) выделяли на двойном градиенте фиколл-урографина (1,077 и 1,112 г/мл). От всех доноров было получено письменное информированное согласие при сдаче крови в соответствии с правилами этического комитета ИЭГМ УрО РАН. Жизнеспособность нейтрофилов в тесте с трипановым синим составила 97%.
В работе использовали дефензин α нейтрофилов (HNP1–3) (DEFa1, Cloud-Clone Corp., США) в концентрациях 5, 25, 50 нг/мл, перекись водорода (AppliChem, Германия) — в концентрациях 0,02–2,5 мМ.
Биопленки E. coli TG1, E. coli DL82, E. coli R32, E. coli R45 получали в 96-луночных полистироловых планшетах (ApexLab, Китай) при выращивании штаммов в LB (Luria-Bertani; Sigma-Aldrich) среде в течение 24 ч при 37°С статически. Биопленки отмывали 3-кратно с использованием 0,9% NaCl.
Конъюгативный перенос осуществляли в 24-ч биопленке путем добавления суспензии (100 мкл) донорного штамма E. coli N4i pOX38:Cm, активированного 2 ч на среде RPMI 1640 basic (Thermo Fisher Scientific, США). Затем к конъюгативной смеси приливали 100 мкл суспензии нейтрофилов в концентрации 10⁴, 10⁵, 10⁶ кл/мл; или 100 мкл перекиси водорода в конечной концентрации 0,02; 0,1; 0,5; 2,5 мМ; или 100 мкл дефензина α — 5, 25, 50 нг/мл. В контроль конъюгативной смеси добавляли среду RPMI. После 4 ч культивирования с бактериальными биопленками межклеточный комплекс отмывали, биопленки разрушали в ультразвуковой ванне Elma Ultrasonic 30S (Elma, Германия) (1 мин × 5 при 37 кГц), а затем делали высевы на LB агар с ампициллином (120 мкг/мл) для реципиентов, гентамицином (15 мкг/мл) для доноров, ампициллином (120 мкг/мл) и хлорамфениколом (50 мкг/мл) для трансконъюгантов. Частоту конъюгации рассчитывали, как отношение числа трансконъюгантов, к числу реципиентов [6]. Биомассу конъюгативной смеси с/без нейтрофилов определяли согласно [16].
Статистический анализ проводили в программе Statistiсa 6.0. Данные представлены в виде среднего арифметического и стандартного отклонения. t-критерий Стьюдента (t-критерий) использовали для оценки массивности биопленки и выживаемости, критерий Вилкоксона для оценки частоты конъюгации. Порог статистической значимости был установлен на уровне p < 0,05. Корреляционный анализ проводился с использованием коэффициента Пирсона.
Результаты и обсуждение
Показано, что массивность биопленки комменсального штамма E. coli TG1, уропатогенного низкобиопленочного штамма R32 при добавлении донора E. coli N4i pOX38:Cm не изменялась, биомасса биопленки DL82 и донора в этих же условиях возрастала, тогда как у R45 — снижалась (рис. 1A).
Рисунок 1. Биомасса биопленок (А) и выживаемость реципиентов E. coli K12 TG1, DL82, R32, R45 (R), донора E. coli N4i pOX38:Cm (D), трансконъюгантов (Т) (Б) в конъюгативной смеси в присутствие нейтрофилов (PMN)
Figure 1. Biofilm biomass (A) and survival of recipients E. coli K12 TG1, DL82, R32, R45 (R), donor E. coli N4i pOX38:Cm (D), transconjugants (T) (B) in the conjugative mixture in the presence of neutrophils (PMN)
Примечание. Число нейтрофилов — 10⁴ (10^4), 10⁵ (10^5), 10⁶ (10^6) кл/мл. * — достоверные отличия между значениями при р < 0,05.
Note. The number of neutrophils is 10⁴ (10^4), 10⁵ (10^5), 10⁶ (10^6) cells/ml. * — significant differences between values at р < 0.05.
Добавление нейтрофилов в концентрации 10⁴–10⁵ клеток/мл к смешанной биопленке E. coli TG1 и E. coli N4i pOX38:Cm вызывало увеличение ее величины относительно контроля. Повышение концентрации нейтрофилов до 10⁶ клеток/мл выраженно снижало биомассу биопленки. В противоположность комменсальному штамму влияние нейтрофилов на биопленки уропатогенных штаммов E. coli DL82 и R45 было прямо пропорционально их концентрации. Оценить влияние нейтрофилов на величину смешанной биопленки штамма R32 было сложно, в связи с малой величиной показателя толщины биопленки.
Выживаемость реципиентов и трансконъюгантов в биопленке была выше при действии нейтрофилов в концентрации 10⁴, 10⁵, 10⁶ кл/мл у штамма E. coli К12 TG1 по сравнению с контролем (рис. 1Б). Число бактерий донорного штамма было выше в конъюгативной смеси DL82 c E. coli N4i pOX38:Cm в присутствии 10⁴ клеток/мл нейтрофилов и снижалось при повышении концентрации нейтрофилов.
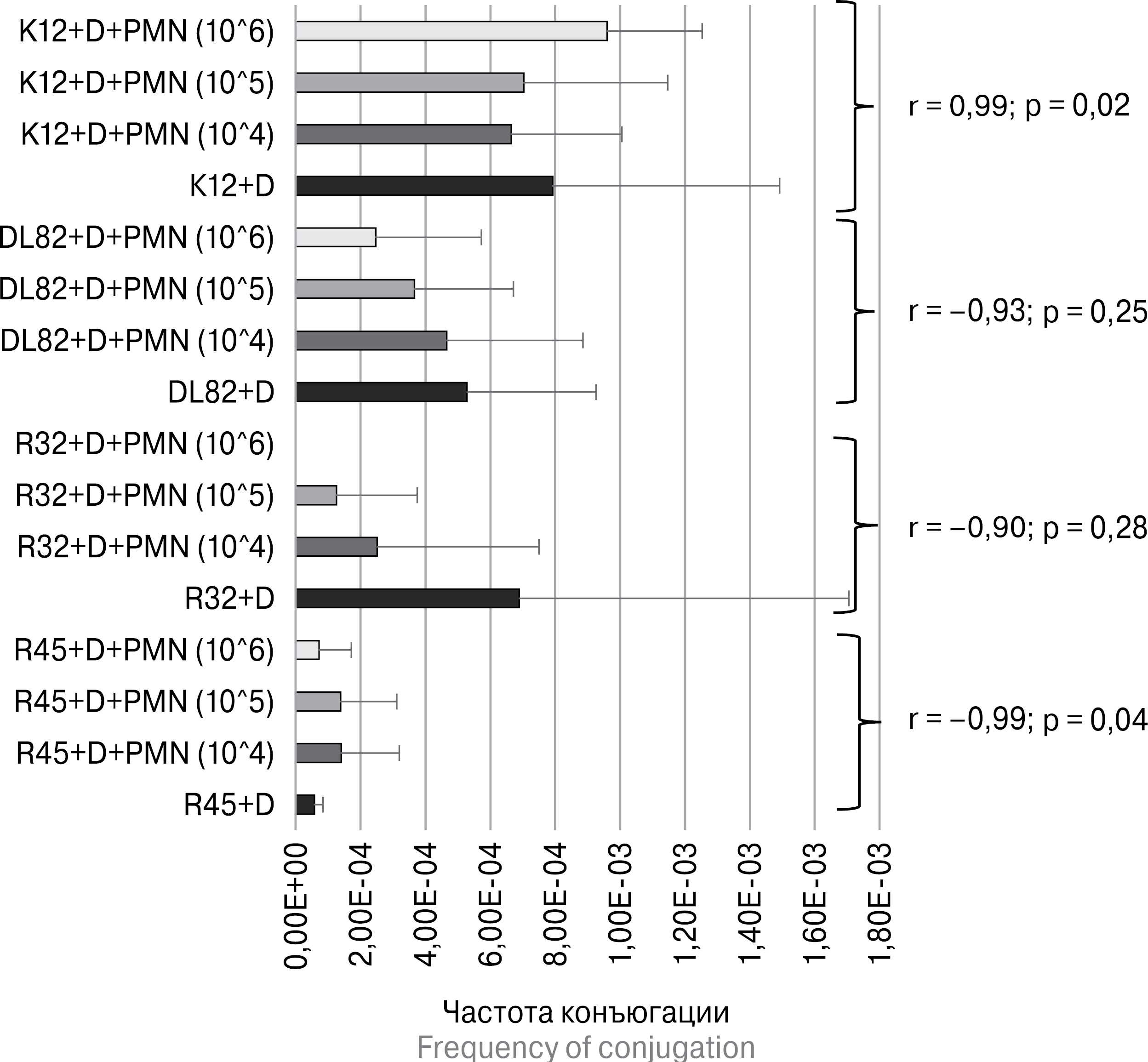
Рисунок 2. Частота конъюгации комменсального E. coli K12 TG1, уропатогенных штаммов E. coli (DL82, R32, R45) с донором E. coli N4i pOX38 (D) в присутствие нейтрофилов (PMN)
Figure 2. Frequency of conjugation of commensal E. coli K12 TG1, uropathogenic E. coli strains (DL82, R32, R45) with the donor E. coli N4i pOX38 (D) in the presence of neutrophils (PMN)
Примечание. Число нейтрофилов — 10⁴ (10^4), 10⁵ (10^5), 10⁶ (10^6) кл/мл. * — достоверные отличия между значениями при р < 0,05.
Note. The number of neutrophils is 10⁴ (10^4), 10⁵ (10^5), 10⁶ (10^6) cells/ml. * — significant differences between values at р < 0.05.
Частота конъюгативного переноса в варианте с нейтрофилами варьировала в опытных вариантах в пределах 2,45–4,65 × 10–4, в контроле — 5,27 × 10–4, однако, без достоверной разницы (рис. 2). Наблюдалась тенденция к снижению частоты конъюгации при увеличении концентрации нейтрофилов у уропатогенных штаммов и противоположная у комменсального штамма. Достоверная положительная корреляция между концентрацией нейтрофилов и частотой конъюгации показана для штамма E. coli K12 TG1 (p = 0,02), отрицательная — для R45 (p = 0,04).
Рисунок 3. Биомасса биопленок (А) и выживаемость реципиентов E. coli DL82, R45 (R), донора E. coli N4i pOX38 (D), трансконъюгантов (Т) (Б) в конъюгативной смеси в присутствии перекиси водорода
Figure 3. Biofilm biomass (A) and survival of recipients E. coli DL82, R45 (R), donor E. coli N4i pOX38 (D), transconjugants (T) (B) in a conjugative mixture in the presence of hydrogen peroxide
Примечание. * — достоверные отличия между значениями при р < 0,05.
Note. * — significant differences between values at р < 0.05.
На рис. 3А представлены данные биомассы биопленки штаммов DL82 и R45 с донором в присутствии перекиси водорода. Показано, что добавление 0,1 мМ H₂O₂ увеличивало показатель биомассы биопленки обоих штаммов. Более высокие концентрации перекиси (0,5 мМ) снижали биомассу биопленки бактерий в составе конъюгативной смеси. Количество реципиентов в составе биопленки не зависело от присутствия H₂O₂. Выживаемость доноров и трансконъюгантов в конъюгативной смеси снижалась при концентрации перекиси 0,5 мМ и выше (рис. 3В). Частота конъюгативного переноса была ниже при действии 2,5 мМ H₂O₂ в биопленке DL82, и при 0,5 и 2,5 мМ H₂O₂ в биопленке R45 (рис. 4).
Рисунок 4. Частота конъюгации уропатогенных штаммов E. coli (DL82, R45) с донором E. coli N4i pOX38 (D) в присутствие перекиси водорода
Figure 4. Frequency of conjugation of uropathogenic E. coli strains (DL82, R45) with the donor E. coli N4i pOX38 (D) in the presence of hydrogen peroxide
Примечание. * — достоверные отличия между значениями при р < 0,05.
Note. * — significant differences between values at р < 0.05.
На рис. 5 представлены данные по конъюгативному переносу в биопленках уропатогенных штаммов в присутствии дефензина α. Показано отсутствие влияния дефензина в исследуемой концентрации на количество реципиентов в смешанной биопленке обоих уропатогенных штаммов. Количество доноров снижалось при 50 нг/мл в биопленке со штаммом DL82, и при 5 нг/мл — со штаммом R45 (рис. 5А). Частота конъюгации в клетки DL82 снижалась при 5 и 25 нг/мл дефензина α по сравнению с контролем, у R45 снижался уровень горизонтального переноса при 5 нг/мл и повышался при 25 нг/мл (рис. 5В).
Рисунок 5. Выживаемость реципиентов E. coli DL82, R45 (R), донора E. coli N4i pOX38 (D), трансконъюгантов (Т) в конъюгативной смеси (А) и частота конъюгации (Б) в присутствии дефензина α
Figure 5. Survival of recipients E. coli DL82, R45 (R), donor E. coli N4i pOX38 (D), transconjugants (T) in the conjugative mixture (A) and frequency of conjugation (B) in the presence of defensin α
Примечание. * — достоверные отличия между значениями при р < 0,05.
Note. * — significant differences between values at р < 0.05.
Плазмиды играют ключевую роль в экологии и эволюции бактерий, поскольку они мобилизуют дополнительные гены путем горизонтального переноса генов [18]. Высокий уровень разнообразия признаков, кодируемых плазмидами, обеспечивает основу для изучения потенциала плазмид в качестве резервуаров адаптивных признаков для микробных сообществ. Показано, что нейтрофилы «притягиваются» к биопленкам посредством хемотаксических активных молекул, высвобождаемых иммунокомпетентными клетками [7]. По данным нашего исследования увеличение биомассы биопленки было характерно только для комменсального штамма, но не для уропатогенных (рис. 1). Увеличение показателя биомассы смешанной биопленки с комменсальным штаммом сопровождалось и увеличением числа доноров в конъюгативной смеси (рис. 1B). Таким образом, вирулентный потенциал штаммов может влиять на характер взаимодействия сформированной ими биопленки с факторами иммунного ответа.
Как показано в ранних работах, комменсальные штаммы довольно активно запускали апоптозные механизмы нейтрофилов [10]. Не исключено, что данный процесс сопровождается усилением конъюгативных процессов с увеличением числа нейтрофилов (рис. 2), что показано для штамма E. coli К12 TG1 и является необходимым условиям для увеличения разнообразия бактериальной популяции при наличии внешнего прессинга в виде факторов врожденного иммунитета. Напротив, у UPEC штаммов наблюдалась тенденция к снижению частоты конъюгации при увеличении числа нейтрофилов, достоверная корреляция показана для штамма R32. Острые воспалительные реакции со стороны факторов врожденного иммунитета обусловлены реализацией вирулентного потенциала штаммов UPEC штаммов, которая в итоге приводит к снижению биомассы биопленки и числа участников конъюгативного процесса.
Перекись водорода в составе активных форм кислорода в концентрации 0,001–0,01 мМ выполняет роль вторичного мессенджера, участвующего в регуляции разнообразных сигнальных процессов; 0,02–0,1 мМ H₂O₂ присутствует в местах воспаления [2]. Продукция активных форм кислорода (АФК) осуществляется нейтрофилами, участвующими в защитной реакции хозяина, в ответ на внешние патогены. Генерация внеклеточных АФК является стратегией нападения на биопленки [7], способствуя повреждению ее поверхностных слоев, межклеточного матрикса. По данным наших исследований, присутствие перекиси водорода в физиологических концентрациях респираторного взрыва (0,02–0,1 мМ) не влияло на конъюгативный перенос, хотя наблюдалась тенденция его увеличения. При более высоких концентрациях Н2О2 в конъюгативной смеси эффективность переноса плазмиды в биопленках уропатогенных штаммов снижалась (рис. 4).
Известно, что дефензины обладают самостоятельной антимикробной активностью и усиливают эффективность некоторых антибактериальных препаратов в отношении представителей клинически значимых бактерий, и, кроме того, проявляют «антибиопленочную» активность. Так, минимальная подавляющая концентрация HNP-1 составила от 2 (4–32) мкг/мл, укороченныой формы HNP-1 без цистеина, HNP1ΔC18A, до 125–250 мкг/мл в отношении референтных и клинических штаммов E. coli [3, 12]. В плазме крови здоровых людей концентрация HNP-1 варьирует в пределах 5–11 нг/мл [13] и повышается примерно в 7 раз при обнаружении бактерий в моче (около 35–77 нг/мл) [20]. В нашем исследовании дефензин снижал частоту конъюгации, что связано с его действием на выживаемость донора плазмиды, при этом число реципиентов в биопленке при концентрации 5 нг/мл возрастало.
Как показали различные исследования, иммунный ответ хозяина варьируется в зависимости от патотипа E. coli и является штаммоспецифическим, поскольку экспрессия генов факторов вирулентности также различна у каждого штамма. В нашем исследовании мы также видим разнонаправленную реакцию сессильных клеток на присутствие нейтрофилов и их микробицидных факторов.
About the authors
Irina L. Maslennikova
Institute of Ecology and Genetics of Microorganisms Ural Branch Russian Academy of Science
Author for correspondence.
Email: I.Maslennikova1974@gmail.com
PhD (Biology), Senior Researcher, Laboratory of Immunoregulation, Institute of Ecology and Genetics of Microrganisms
Россия, 614081, Perm, Goleva str., 13I. V. Nekrasova
Institute of Ecology and Genetics of Microorganisms Ural Branch Russian Academy of Science
Email: I.Maslennikova1974@gmail.com
PhD (Biology), Researcher, Laboratory of Immunoregulation, Institute of Ecology and Genetics of Microrganisms
Россия, 614081, Perm, Goleva str., 13Erjavec M. Starčič
University of Ljubljana
Email: I.Maslennikova1974@gmail.com
PhD, Professor, Department of Microbiology, Biotechnical Faculty
Словения, LjubljanaM. V. Kuznetsova
Institute of Ecology and Genetics of Microorganisms Ural Branch Russian Academy of Science
Email: I.Maslennikova1974@gmail.com
DSc (Medicine), Leading Researcher, Laboratory of Molecular Biotechnology, Institute of Ecology and Genetics of Microorganisms
Россия, 614081, Perm, Goleva str., 13References
- Данилов В.С., Зарубина А.П., Ерошников Г.Е., Соловьева Л.Н., Завильгельский Г.Б. Сенсорные биолюминесцентные системы на основе lux-оперонов разных видов бактерий // Вестник Московского университета. Серия 16. Биология. 2002. Т. 3. С. 20–24. [Danilov V.S., Zarubina A.P., Erochnikov G.E., Solov’eva L.N., Kartashev F.V., Zavil’gel’skii G.B. Sensory bioluminescence systems based on lux-operons of various-type luminescent bacteria. Vestnik Moskovskogo universiteta. Seriya 16. Biologiya = Herald of Moscow University. Series 16. Biology, 2002, vol. 3, pp. 20–24. (In Russ.)]
- Abdesselem M., Pétri N., Kuhner R., Mousseau F., Rouffiac V., Gacoin T., Laplace-Builhé C., Alexandrou A., Bouzigues C.I. Real-time in vivo ROS monitoring with luminescent nanoparticles reveals skin inflammation dynamics. Biomed Opt. Express. 2023, vol. 14, no. 10, pp. 5392–5404. doi: 10.1364/BOE.501914
- Bolatchiev A. Antibacterial activity of human defensins against Staphylococcus aureus and Escherichia coli. Peer J., 2020, vol. 8: e10⁴55. doi: 10.7717/peerj.10⁴55
- Burmølle M., Bahl M.I., Jensen L.B., Sørensen S.J., Hansen L.H. Type 3 fimbriae, encoded by the conjugative plasmid pOLA52, enhance biofilm formation and transfer frequencies in Enterobacteriaceae strains. Microbiology (Reading), 2008, vol. 154, no. pt 1, pp. 187–195. doi: 10.1099/mic.0.2007/010⁴54-0
- Flores-Mireles A.L., Walker J.N., Caparon M., Hultgren S.J. Urinary tract infections: epidemiology, mechanisms of infection and treatment options. Nat. Rev. Microbiol., 2015, vol. 13, no. 5, pp. 269–284. doi: 10.1038/nrmicro3432
- Guglielmini J., Quintais L., Garcillán-Barcia M.P., de la Cruz F., Rocha E.P. The repertoire of ICE in prokaryotes underscores the unity, diversity, and ubiquity of conjugation. PLoS Genet., 2011, vol. 8: e1002222. doi: 10.1371/journal.pgen.1002222
- Hirschfeld J. Dynamic interactions of neutrophils and biofilms. J. Oral Microbiol., 2014, vol. 6: 26102. doi: 10.3402/jom.v6.26102
- Kuznetsova M.V., Maslennikova I.L., Pospelova J.S., Žgur Bertok D., Starčič Erjavec M. Differences in recipient ability of uropathogenic Escherichia coli strains in relation with their pathogenic potential. Infect. Genet. Evol., 2022, vol. 97: 10⁵160. doi: 10.1016/j.meegid.2021.10⁵160
- Lila A.S.A., Rajab A.A.H., Abdallah M.H., Rizvi S.M.D., Moin A., Khafagy E.S., Tabrez S., Hegazy W.A.H. Biofilm Lifestyle in Recurrent Urinary Tract Infections. Life (Basel), 2023, vol. 13, no. 1: 148. doi: 10.3390/life13010148
- Maslennikova I.L., Nekrasova I.V., Kuznetsova M.V. Interaction of neutrophils and biofilm formed by uropathogenic Escherichia coli strains with different pathogenic potential. Bull. Exp. Biol. Med., 2022, vol. 174, no. 1, pp. 51–56. doi: 10.1007/s10⁵17-022-05647-4
- Michaelis C., Grohmann E. Horizontal gene transfer of antibiotic resistance genes in biofilms. Antibiotics (Basel), 2023, vol. 12, no. 2: 328. doi: 10.3390/antibiotics12020328
- Moazzezy N., Asadi Karam M.R., Rafati S., Bouzari S., Oloomi M. Inhibition and eradication activity of truncated α-defensin analogs against multidrug resistant uropathogenic Escherichia coli biofilm. PLoS One, 2020, vol. 15, no. 7: e0235892. doi: 10.1371/journal.pone.0235892
- Németh B.C., Várkonyi T., Somogyvári F., Lengyel C., Fehértemplomi K., Nyiraty S., Kempler P., Mándi Y. Relevance of α-defensins (HNP1-3) and defensin β-1 in diabetes. World J. Gastroenterol., 2014, vol. 20, no. 27, pp. 9128–9137. doi: 10.3748/wjg.v20.i27.9128
- Oliveira A., Sousa J.C., Silva A.C., Melo L.D.R., Sillankorva S. Chestnut honey and bacteriophage application to control Pseudomonas aeruginosa and Escherichia coli biofilms: Evaluation in an ex vivo wound model. Front. Microbiol., 2018, vol. 9: 1725. doi: 10.3389/fmicb.2018.01725
- Olson P.D., Hunstad D.A. Subversion of Host Innate Immunity by Uropathogenic Escherichia coli. Pathogens, 2016, vol. 5, no. 1: 2. doi: 10.3390/pathogens5010002
- O’Toole G., Kaplan H.B., Kolter R. Biofilm formation as microbial development. Annu. Rev. Microbiol., 2000, vol. 54, pp. 49–79. doi: 10.1146/annurev.micro.54.1.49
- Robinson A.E., Heffernan J.R., Henderson J.P. The iron hand of uropathogenic Escherichia coli: the role of transition metal control in virulence. Future Microbiol., 2018, vol. 13, no. 7, pp. 745–756. doi: 10.2217/fmb-2017-0295
- Rodríguez-Beltrán J., DelaFuente J., León-Sampedro R., MacLean R.C., San Millán Á. Beyond horizontal gene transfer: the role of plasmids in bacterial evolution. Nat. Rev. Microbiol., 2021, vol. 9, no. 6, pp. 347–359. doi: 10.1038/s41579-020-00497-1
- Wang Z., Humphrey C., Frilot N., Wang G., Nie Z., Moniri N.H., Daaka Y. Dynamin2-and endothelial nitric oxide synthase-regulated invasion of bladder epithelial cells by uropathogenic Escherichia coli. J. Cell. Biol., 2011, vol. 192, no. 1, pp. 101–110. doi: 10.10⁸3/jcb.201003027
- Watson J.R., Hains D.S., Cohen D.M., Spencer J.D., Kline J.M., Yin H., Schwaderer A.L. Evaluation of novel urinary tract infection biomarkers in children. Pediatr. Res., 2016, vol. 79, no. 6, pp. 934–939. doi: 10.1038/pr.2016.33
Supplementary files









