Comparison of MALDI-ToF mass spectrometry identification accuracy of Mycobacterium abscessus complex strains, isolated on various nutrient media
- Authors: Alekseev D.V.1, Kargina E.A.1, Kokorev D.A.1, Kovalyov A.M.1, Borodulina E.A.1, Lyamin A.V.1, Ismatullin D.D.1
-
Affiliations:
- Samara State Medical University
- Issue: Vol 14, No 6 (2024)
- Pages: 1227-1232
- Section: SHORT COMMUNICATIONS
- Submitted: 28.04.2024
- Accepted: 13.08.2024
- Published: 25.12.2024
- URL: https://iimmun.ru/iimm/article/view/17650
- DOI: https://doi.org/10.15789/2220-7619-COM-17650
- ID: 17650
Cite item
Full Text
Abstract
Background. Mycobacterium abscessus complex is one of the most abundant groups of rapidly growing non-tuberculous mycobacteria that has been increasingly more common causing infections of various localization, especially in cystic fibrosis (CF) patients. Microbiological diagnosis of such infections in case of using matrix-assisted laser desorption/ionization time-of-flight (MALDI-ToF) mass spectrometry is often complicated due to mycobacterial cell features, which requires to perform a diagnostic optimization. The aim of the study was to evaluate the accuracy of Mycobacterium abscessus strains identification isolated on universal chromogenic medium and selective medium for Burkholderia cepacia complex (BCC) isolation. Materials and methods. Total number of 64 strains were selected for the study cultured in parallel on universal chromogenic medium and selective medium for BCC isolation. The identification of isolated microorganisms was carried out using the MALDI-ToF mass spectrometry on Microflex LT device. Statistical data processing was carried out using the StatTech program v.2.1.0. Results. The correlation analysis between identified data and used nutrient media was carried out showing that identification of mycobacteria isolated on chromogenic medium vs. medium for BCC isolation was more accurate. Conclusion. The study revealed that the composition of the nutrient medium affects the accuracy of MABSc member identification, which can be taken into account while developing protocols for optimizing and increasing the accuracy for this group of bacteria using MALDI-ToF mass spectrometry. Despite this, in the context of such a complex pathology with high comorbidity as CF, taking into account the universality of chromogenic medium we studied and often polymicrobial nature of infections in CF, it is rational to use selective media for primary inoculation of the studied material, including the medium for BCC isolation. However, after the initial inoculation, mycobacteria can be subcultured on chromogenic medium to assess cultural properties and improve the quality of species identification.
Full Text
Introduction
Non-tuberculous mycobacteria (NTM) [2] are representing a diverse group of saprophytic bacteria that live mainly in water and soil. They are increasingly becoming the cause of infections of various localization, especially in patients with concomitant structural changes of the respiratory tract. For example, with cystic fibrosis (CF) [3, 11].
Currently, in many medical centers, specializing on the treatment of CF patients, specialists face with the most common group of rapidly growing NTM, isolated from these patients — Mycobacterium abscessus complex (MABSc). The prevalence of these microorganisms is associated with their morphological features, which provide their resistance to many disinfectants. This fact causes their frequent isolation from hospitalized patients and makes a certain contribution to the structure of nosocomial infections [4].
MABSc along with slowly growing representatives of Mycobacterium avium complex, prevails in the structure of NTM infections in CF patients [6, 15]. According to the data of the «Register of patients with cystic fibrosis in the Russian Federation» for 2021, depending on the patients age, the frequency of NTM infections is 0.3–2.5%.
There are several nutrient media recommended for the isolation of CF pathogens. NTM isolation is possible by using a selective medium for the isolation of Burkholderia cepacia complex (BCC), which is widely used when working with specimens from CF patients. In addition, it is possible to isolate rapidly growing NTM during cultivation on various universal agar media, such as blood agar with 5% defibrinated animal blood, chocolate agar or blood agar with nalidixic acid [1, 7, 10].
There are several approaches to determining the MABSc species, one of which is MALDI-ToF mass spectrometry. Initially, the use of MALDI-ToF mass spectrometry was limited to the identification of colonies, isolated on various selective media, for example, on the Löwenstein–Jensen medium. However, certain publications also contain information about the possibility of applying a widely used universal chromogenic medium [1].
The aim of the study was to evaluate the accuracy of the MABSc identification, depending on the nutrient media used — a universal chromogenic medium and a selective medium for BCC isolation.
As our studies shown, when comparing the results of MABSc identification, isolated on a Löwenstein–Jensen medium, with the MABSc identification, which were isolated on a universal chromogenic medium, no statistically significant differences between the results were revealed [8]. At the same time, there is no information about the comparison of a universal chromogenic medium with a selective medium for the BCC isolation in the context of microbiological diagnosis in CF.
Undoubtedly, microbiological diagnosis plays an important role in the managing with respiratory complications in CF, since airway infections are the most common causes of death in CF patients. On the other hand, NTM are most abundant in older groups of patients. Taking into account the improvement of the medical care quality, the life expectancy of CF patients tends to increase. As a consequence, NTM prevalence in the population is also increasing. Therefore, the optimization of microbiological diagnosis (in particular, the rational use of nutrient media and identification methods) is an extremely important task for the successful management of infectious complications in CF [5, 13].
Materials and methods
Total number of 64 MABSc strains were selected for the study. From these strains, 56 strains were obtained from CF patients and 8 strains — from patients with pulmonary pathology (unrelated to CF).
All strains were cultured simultaneously on a universal chromogenic medium (HiMedia Laboratories LLC, India) and on a selective medium for the BCC isolation (HiMedia Laboratories LLC, India). Media were incubated for 24 hours at a temperature of 37°C, and then at 28°C in the following days of cultivation until the appearance of visible growth, necessary for identification.
It should be noted, that all strains obtained from CF patients were isolated during primary prolonged cultivation for up to 28 days on a medium for the BCC isolation, while strains obtained from patients with pulmonary pathology, unrelated to CF, were primarily isolated on a Löwenstein–Jensen medium.
The identification of isolated microorganisms was carried out using the MALDI-ToF mass spectrometry on a Microflex LT device (Bruker Daltonik GmbH, Germany). During identification, an extended direct application method was used, including applying 1 ml of 70% formic acid solution to a mass spectrometry target. After drying, a matrix for mass spectrometry (α-cyano-4-hydroxycinnamic acid) was applied.
The assessment of the identification results was carried out using MALDI Biotyper RTC software (Bruker Daltonik GmbH, Germany) according to the level of coincidence coefficient (Score) from 0 to 3. The level of 0.000–1.699 indicated identification of low reliability; the level of 1.700–1.999 indicated reliable identification to the genus; reliable identification to the species occurred at the level of 2.000–2.999 according to the manufacturer’s recommendations.
During the study we perform a comparison of the results of MABSc identification between the main spectrum library, which contains the spectra of 2 M. abscessus strains, with the library of additional NTM spectra (Mycobacteria Library version 4.0, Bruker Daltonik GmbH, Germany), which contains 880 spectra of mycobacteria, 36 of which belong to M. abscessus.
Data grouping and calculations were performed using a Microsoft Excel 2016. Statistical processing of the obtained results was carried out using the StatTech program v.2.1.0 (Stattech LLC, Russia). Quantitative data were checked for compliance with the normal distribution law using the Shapiro–Wilk test. The obtained data was evaluated using nonparametric statistical methods, due to the non-compliance with the normal distribution law. Quantitative variables were represented as the median (Me), 25th and 75th percentiles [Q25; Q75], qualitative indicators — in the form of an absolute number (n) and percentages (%). Mann–Whitney U-test was used for independent samples. The differences were considered significant at p < 0.05.
This study was approved by the Bioethics Committee of the Samara State Medical University with the Approval Number 196; October 31, 2018.
Results
At the beginning of our study, we analyzed the spectra of MABSc strains, isolated on medium for BCC isolation. The results showed that in the case of using the main library, for 9 (14%) strains it was not possible to determine the species and generic affiliation of bacteria.
For the assessment of the possibility of obtaining more accurate identification results, we analyzed the obtained peaks using a specialized library (Mycobacteria Library, version 4.0).
The identified strains, isolated on the selective BCC medium, were grouped according to the levels of identification reliability, which are presented in Table 1. As a result, species identification was detected for 2 strains both using main library and extended library.
Table 1. Distribution of MABSc strains, isolated on BCC medium, in groups of identification reliability
Score values | Main library (strains number) | Mycobacteria library version 4.0 (strains number) |
0.000–1.699 | 35 | 25 |
1.700–1.999 | 27 | 37 |
2.000–2.999 | 2 | 2 |
Similarly, we divided the Score values for strains, isolated on universal chromogenic medium, into groups according to the levels of identification reliability (Table 2). It was possible to perform species identification for 19 (29.7%) strains and 38 (59.4%) strains in the case of using the main and extended versions of the library, respectively.
Table 2. Distribution of MABSc strains, isolated on universal chromogenic medium, in groups of identification reliability
Score values | Main library (strains number) | Mycobacteria library version 4.0 (strains number) |
0.000–1.699 | 4 | 1 |
1.700–1.999 | 41 | 25 |
2.000–2.999 | 19 | 38 |
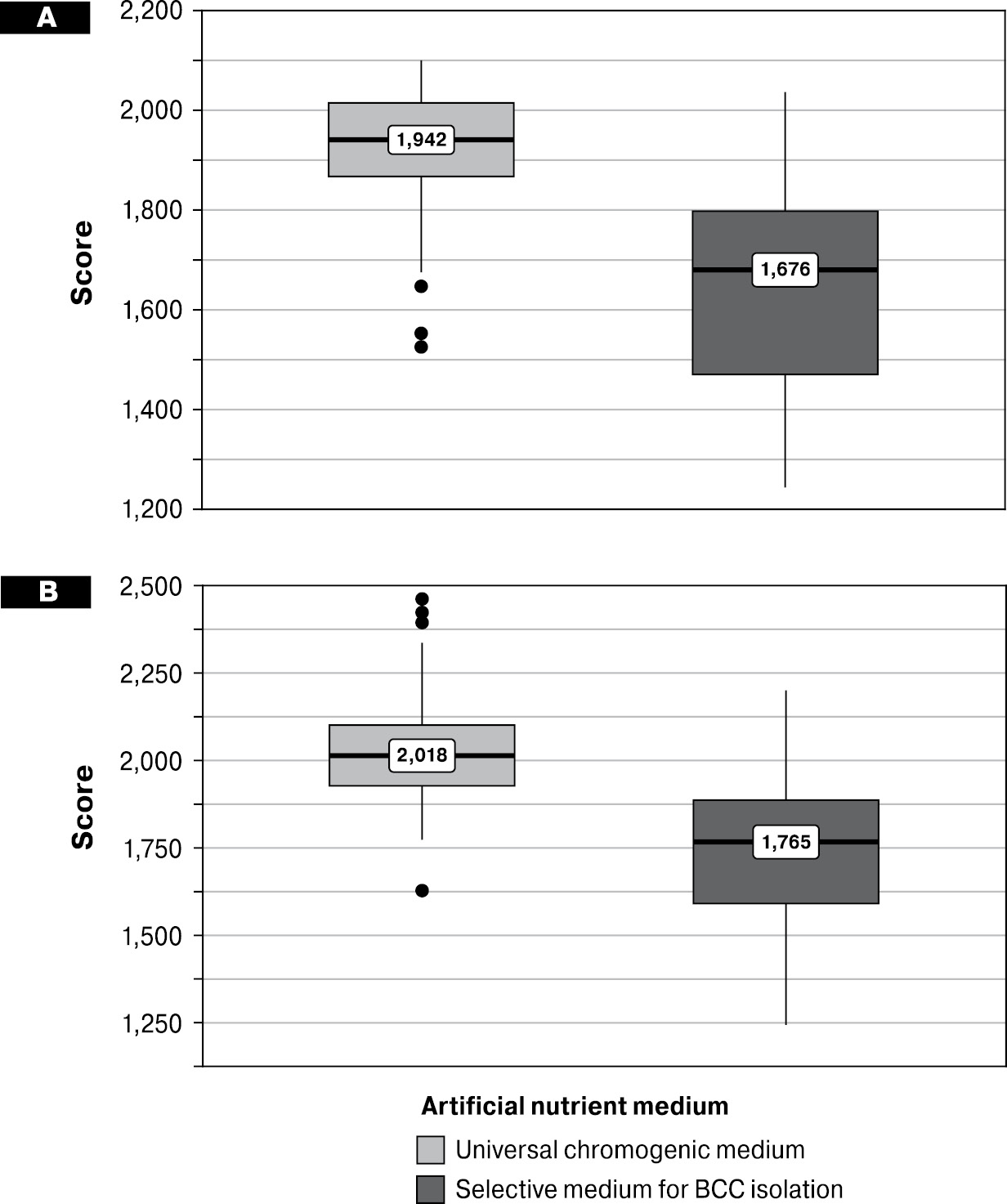
The analysis of the correlation between identification results (according to the Score value) and the used nutrient medium when was also carried out (with using both libraries) (Fig.).
Figure. The analysis of the correlation between Score values and used nutrient media using the main library (A) and Mycobacteria Library version 4.0 (B); differences are statistically significant (p < 0.05)
As it is shown in the figure, the analysis also revealed statistically significant differences (p < 0.001). Identification of MABSc strains, isolated on a chromogenic medium, in case of using the Mycobacteria Library version 4.0 was more accurate than identification of strains isolated on a medium for BCC isolation.
Discussion
The MALDI-ToF mass spectrometry has been in service with microbiological laboratories for quite a long period and has established itself as a reliable tool for identifying various microorganisms, including mycobacteria. The identification quality, during using this method, significantly depends on the composition of microbial cell, and mycobacteria are difficult group of pathogens in this regard.
Mycobacterial cells are complexly organized. This fact complicates the extraction of bacterial proteins and affects the quality of the identification with MALDI-ToF mass spectrometry. It is widely known that the outer membrane of these cells consists of mycolic acid, arabinogalactan, glycopeptidolipids, trehalose-6,6-dimicolate, trehalose monomicolate, trehalose polypleates and phosphatidyl-myo-inositol dimannoside [12]. All these high-molecular and complex organic substances cause a relatively low accuracy of identification in case of using standard sample preparation protocols. In its turn, it caused creation of numerous advanced protocols, for example, ultrasound exposure to cells and special centrifugation methods [14]. However, these approaches require additional equipment and time, which negatively affects the optimization of laboratory work. This is due to an increased number of errors when performing additional stages in the protocol. Consequently, it is relevant to find accurate, fast and convenient methods for identifying such an important and complex group of microorganisms.
Undoubtedly, the accuracy of determining the microorganism species depends, among other things, on the nutrient medium composition on which it was cultivated. Such correlation was demonstrated in one of our previous works [9].
In our study, we analyzed the Score values obtained during the MABSc strains identification, after their isolation on the universal chromogenic medium and the medium for BCC isolation. During the study, significant differences were obtained between the analyzed media: the chromogenic medium turned out to be the most effective in terms of Score values.
However, due to its versatility and the possibility of non-pathogenic flora growth, its use in the microbiological diagnosis of material isolated from CF patients is very limited. For this reason, the use of selective media is quite relevant.
The Löwenstein–Jensen medium and the Middlebrook medium are mainly used as selective media for the NTM isolation. However, the use of these media is not the most optimal in terms of cost-effectiveness and accessibility. On the other hand, the use of a medium for the BCC isolation seems rational, due to the fact that its use in microbiological monitoring of CF patients allows to isolate several groups of pathogens, typical for respiratory complications in CF. Moore J.E. and Millar B.C. (2020) in their study report the possibility of using various universal agar media with certain growth and inhibitory additives. Nevertheless, in our opinion, the use of a universal chromogenic medium is preferable, due to its prevalence in microbiological practice and the absence of special conditions for its preparation [10].
Conclusion
In the study it was revealed that the nutrient medium composition affects the accuracy of MABSc identification. It can be taken into account during development of protocols for optimizing and improving the identification accuracy for this group of bacteria in case of using MALDI-ToF mass spectrometry. However, in the context of such a complex pathology with high comorbidity as CF, considering the versatility of the chromogenic medium and the often polymicrobial nature of infections in CF, it is rational to use selective media for the primary specimens inoculation, including a medium for the BCC isolation. After that, it is necessary to transfer mycobacteria to a chromogenic medium to assess cultural properties and improve the species identification quality.
About the authors
D. V. Alekseev
Samara State Medical University
Email: d.a.kokorev@samsmu.ru
Specialist of Laboratory of Cultural and Proteomic Research in Microbiology, Research and Educational Professional Center for Genetic and Laboratory Technologies
Russian Federation, SamaraE. A. Kargina
Samara State Medical University
Email: d.a.kokorev@samsmu.ru
6th year student of Institute of Pediatrics
Russian Federation, SamaraDaniil A. Kokorev
Samara State Medical University
Author for correspondence.
Email: d.a.kokorev@samsmu.ru
Specialist of Laboratory of Human Metagenomics of Professional Center for Education and Research in Genetic and Laboratory Technologies
Russian Federation, SamaraA. M. Kovalyov
Samara State Medical University
Email: d.a.kokorev@samsmu.ru
PhD (Biology), Head of Laboratory of Genetic Technologies in Microbiology of Professional Center for Education and Research in Genetic and Laboratory Technologies
Russian Federation, SamaraE. A. Borodulina
Samara State Medical University
Email: d.a.kokorev@samsmu.ru
DSc (Medicine), Head of Department of Phthisiology and Pulmonology
Russian Federation, SamaraA. V. Lyamin
Samara State Medical University
Email: d.a.kokorev@samsmu.ru
DSc (Medicine), Associate Professor, Director of Research and Educational Professional Center for Genetic and Laboratory Technologies
Russian Federation, SamaraD. D. Ismatullin
Samara State Medical University
Email: d.a.kokorev@samsmu.ru
PhD (Medicine), Head of Llaboratory of Research and Educational Professional Center for Genetic and Laboratory Technologies
Russian Federation, SamaraReferences
- Поликарпова С.В., Жилина С.В., Кондратенко О.В., Лямин А.В., Борзова Ю.В. Руководство по микробиологической диагностике инфекций дыхательных путей у пациентов с муковисцидозом. Москва–Тверь: Триада, 2019. 128 с. [Polikarpova S.V., Zhilina S.V., Kondratenko O.V. Guidelines for the microbiological diagnosis of respiratory tract infections in patients with cystic fibrosis. Moscow–Tver: Triada, 2019. 128 p. (In Russ.)]
- Ahmed I., Tiberi S., Farooqi J., Jabeen K., Yeboah-Manu D., Migliori G.B., Hasan R. Non-tuberculous mycobacterial infections-A neglected and emerging problem. Int. J. Infect. Dis., 2020, vol. 92S, pp. S46–S50. doi: 10.1016/j.ijid.2020.02.022
- Babalik A., Koç E.N., Sekerbey H.G., Dönmez G.E., Balikci A., Kilicaslan Z. Nontuberculous mycobacteria isolation from sputum specimens: A retrospective analysis of 1061 cases. Int. J. Mycobacteriol., 2023, vol. 12, no. 1, pp. 55–65. doi: 10.4103/ijmy.ijmy_10_23
- Belardinelli J.M., Li W., Avanzi C., Angala S.K., Lian E., Wiersma C.J., Palčeková Z., Martin K.H., Angala B., de Moura V.C.N., Kerns C., Jones V., Gonzalez-Juarrero M., Davidson R.M., Nick J.A., Borlee B.R., Jackson M. Unique features of Mycobacterium abscessus biofilms formed in synthetic cystic fibrosis medium. Front. Microbiol., 2021, no. 12: 743126. doi: 10.3389/fmicb.2021.743126
- Blanchard A.C., Waters V.J. Microbiology of cystic fibrosis airway disease. Semin. Respir. Crit. Care Med., 2019, vol. 40, no. 6, pp. 727–736. doi: 10.1055/s-0039-1698464
- Gardner A.I., McClenaghan E., Saint G., McNamara P.S., Brodlie M., Thomas M.F. Epidemiology of nontuberculous mycobacteria infection in children and young people with cystic fibrosis: analysis of UK cystic fibrosis registry. Clin. Infect. Dis., 2019, vol. 68, no. 5, pp. 731–737. doi: 10.1093/cid/ciy531
- Li J., Wang J., Sun H., Huo F., Shang Y., Li S. The effect of culture media dilution on recovery of rapidly growing mycobacteria. New Microbiol., 2020, vol. 43, no. 4, pp. 191–194
- Lyamin A.V., Ereshchenko A.A., Gusyakova O.A., Antipov V.A., Kozlov A.V., Ismatullin D.D. Application of chromogenic media for preliminary identification of acid-resistant bacteria. Int. J. Mycobacteriol., 2023, vol. 12, no. 1, pp. 49–54. doi: 10.4103/ijmy.ijmy_6_23
- Lyamin A.V., Ereshchenko A.A., Ismatullin D.D., Zolotov M.O., Alekseev D.V., Kayumov K.A. Evaluation of the influence of the cultivation medium on the result of identification of microorganisms from the group of acid-resistant bacteria of the order actinomycetales by matrix-assisted laser desorption/ionization time-of-flight mass spectrometry. Int. J. Mycobacteriol., 2023, vol. 12, no. 2, pp. 157–161. doi: 10.4103/ijmy.ijmy_85_23
- Moore J.E., Millar B.C. Comparison of four agar media for the enumeration of the Mycobacterium abscessus complex. Int. J. Mycobacteriol., 2020, vol. 9, no. 3, pp. 289–292. doi: 10.4103/ijmy.ijmy_110_20
- Nick J.A., Daley C.L., Lenhart-Pendergrass P.M., Davidson R.M. Nontuberculous mycobacteria in cystic fibrosis. Curr. Opin. Pulm. Med., 2021, vol. 27, no. 6, pp. 586–592. doi: 10.1097/MCP.0000000000000816
- Parmar S., Tocheva E.I. The cell envelope of Mycobacterium abscessus and its role in pathogenesis. PLoS Pathog., 2023, vol. 19, no. 5: e1011318. doi: 10.1371/journal.ppat.1011318
- Ratnatunga C.N., Lutzky V.P., Kupz A., Doolan D.L., Reid D.W., Field M., Bell S.C., Thomson R.M., Miles J.J. The rise of non-tuberculosis mycobacterial lung disease. Front. Immunol., 2020, no. 11: 303. doi: 10.3389/fimmu.2020.00303
- Wang H.Y., Kuo C.H., Chung C.R., Lin W.Y., Wang Y.C., Lin T.W., Yu J.R., Lu J.J., Wu T.S. Rapid and accurate discrimination of Mycobacterium abscessus subspecies based on matrix-assisted laser desorption ionization-time of flight spectrum and machine learning algorithms. Biomedicines, 2022, vol. 11, no. 1: 45. doi: 10.3390/biomedicines11010045
- Wetzstein N., Diricks M., Kohl T.A., Wichelhaus T.A., Andres S., Paulowski L., Schwarz C., Lewin A., Kehrmann J., Kahl B.C., Dichtl K., Hügel C., Eickmeier O., Smaczny C., Schmidt A., Zimmermann S., Nährlich L., Hafkemeyer S., Niemann S., Maurer F.P., Hogardt M. Molecular epidemiology of Mycobacterium abscessus isolates recovered from german cystic fibrosis patients. Microbiol. Spectr., 2022, vol. 10, no. 4: e0171422. doi: 10.1128/spectrum.01714-22
Supplementary files




