A preliminary study: firstly optimisation of the in vitro biofilm formation method in Trichosporon asahii strains isolated from patients in TÜrkiye
- Authors: Sinem A.1,2, Sevgi E.2
-
Affiliations:
- Haliç University
- Istanbul University — Cerrahpaşa
- Issue: Vol 15, No 1 (2025)
- Pages: 161-167
- Section: ORIGINAL ARTICLES
- Submitted: 24.04.2024
- Accepted: 26.06.2024
- Published: 30.04.2025
- URL: https://iimmun.ru/iimm/article/view/17643
- DOI: https://doi.org/10.15789/2220-7619-APS-17643
- ID: 17643
Cite item
Full Text
Abstract
Trichosporon asahii, a fungus found in nature and human microbiota, has recently emerged as the most common cause of disseminated and deep-seated trichosporonosis, particularly in immunocompromised patients. Biofilm formation, one of the important virulence factors of T. asahii, facilitates its colonisation and proliferation, providing the fungus with antifungal and environmental stress’s resistance. In this study, we aimed to develop a reproducible T. asahii biofilm model for our future research by optimising the inoculum concentration, adhesion-time, biofilm maturation-time, static and shaking parameters. Materials and methods. We included two clinical isolates obtained from urine samples and a reference strain in the study. For each strain, we applied 36 different experimental parameters, including, 105, 106 and 107 CFU/mL inoculum consentrations, 60-, 90-, and 120-minutes adhesion-times, 48- and 72-hours maturation-times, and static versus shaking. We determined the biofilm formation of fungus using the most commonly used crystal violet method. We determined standard deviation values with three replicates within each experiment, and we compared all the graphs obtained by repeating these experiments twice. Results. After applying 36 different experimental parameter combinations, we determined the most optimised and reproducible parameters as 107 CFU/mL inoculum concentration, 120-minute adhesion-time, 72-hour maturation-time and static. Conclusion. In optimisation studies conducted worldwide on this subject, it has been reported that biofilms formation varies in terms of quantity and duration across different countries, but there isn’t any optimisation study in Turkey. We believe that the optimisation conditions we have firstly identified in our country will shed light on our future research and other studies to be conducted in the future.
Keywords
Full Text
Introduction
Trichosporon species are yeast-like, anamorphic, and basidiomycetous; can be isolated from decaying materials, water, soil, cheese, insects, birds, bats and cattle feces; and can colonize and multiply in the gastrointestinal tract, vagina, skin, nails and upper respiratory tract of humans. These fungal species have a wide geographical distribution and are more common in warm and tropical regions [1, 2, 3, 5, 8, 10, 15]. Although the genus Trichosporon is usually associated with easily treatable superficial infections of the skin, especially white piedra, it has gained importance as a cause of opportunistic systemic infections since the first case of brain invasive trichosporonosis was reported in 1970 [3, 8, 10, 14, 15]. It is becoming increasingly common, especially in patients with underlying haematological malignancies, aplastic anaemia, organ transplantation, extensive burns, AIDS and solid tumours, and can cause systemic infections such as pneumonia and endocarditis, accounting for approximately 10% of cases of disseminated fungal infections [3, 5, 7]. Trichosporon infections associated with sinusitis, ophthalmological surgery and prosthetic device infections, intravenous drug abuse and peritoneal dialysis are also observed in nonimmunocompromised patients [2, 7].
Among Trichosporon species, especially Trichosporon asahii is the most common cause of disseminated or deep-seated trichosporonosis [3, 7, 8, 9, 10, 12, 15]. Among the clinical materials obtained from patients, T. asahii is the most frequently isolated species from blood and urine samples [16]. Clinical isolates are estimated to have greater pathogenicity than environmental isolates [9]. T. asahii is capable of biofilm formation, phenotypic and genotypic variation and the production of proteolytic enzymes such as esterase, hemolysin, phospholipase, protease, coagulase and DNAase, but the role of these virulence traits in infection is not clear [3, 5, 6, 9, 14, 15]. The most studied virulence factor among these virulence factors is adhesion and biofilm formation, especially in medical devices [13]. Although most reported cases of haematogenous T. asahii infection occur during the neutropenic phase in patients with leukaemia, another predisposing factor for infection is associated with biofilm formation on invasive devices such as intravenous or urinary catheters, endoscopic forceps and arteriovenous grafts [3, 7, 12, 15]. A biofilm is a three-dimensional structure formed by microbial communities embedded in a polymeric extracellular matrix consisting of polysaccharide, protein and extracellular DNA produced by cells adhering to a biotic or abiotic surface. It facilitates the colonization, growth and proliferation of yeast [3, 7, 15]. Biofilms formed by yeast can produce proteases, and biofilm formation provides resistance to antibiotics and environmental stress [3, 4, 7, 15]. Biofilm formation in T. asahii occurs at four different developmental stages. These stages include the initial adhesion of yeast cells between 0 and 2 hours, germination and microcolony formation between 2 and 4 hours, filamentation between 4 and 6 hours and proliferation and maturation between 24 and 72 hours [7]. It is thought that prosthetic devices may serve as substrates for the postadhesion growth of biofilms, which are microbial communities embedded in an extracellular polymeric substance [7]. T. asahii biofilm formation may confer markedly increased resistance to antimicrobial agents and protection from host defense [3, 7]. Although antifungal drugs are used to treat trichosporonosis, the infection is usually persistent, may recur soon after treatment and is associated with high mortality ranging from 50–80% [2, 3, 7, 12, 14]. Although newer azoles, such as voriconazole and posaconazole, which are used against T. asahii infections, are more effective antifungals than amphotericin B and fluconazole, biofilm formation in T. asahii has been associated with up to 16 000-fold increased resistance to voriconazole, particularly compared to that in planktonic cells [1, 7, 11, 14]. When there is a high level of antifungal resistance, treatment usually requires surgical removal of the infected device, which has a negative impact on the patient [2, 12]. Therefore, serious infections can be seen with T. asahii strains that are deeply localized and do not respond to treatment.
The aim of this study was to develop and optimize a reproducible biofilm model to monitor the biofilm formation of T. asahii in clinical samples. For this purpose, we evaluated the inoculum amount, adhesion time, biofilm maturation time, staticity and shaking parameters during biofilm formation. We are also considering applying the data we will obtain from this preliminary study to our experiments in another study in which we investigated the critical role of enzymes synthesized by T. asahii, whose importance we emphasize in clinical samples, in biofilm formation on polystyrene surfaces.
Materials and methods
Strains used and growth conditions. In this retrospective study, two T. asahii strains isolated from urine samples of patients admitted to İstanbul University — Cerrahpaşa, Cerrahpaşa Medical Faculty, Medical Microbiology Laboratory in 2017 and 2019, identified by MALDI-ToF MS method in those years and stored at –80°C were included. T. asahii var. asahii CBS 2479 was used as the reference strain. The strains were inoculated on Sabouraud dextrose agar (SDA), incubated at 37°C for 48 hours and then stored in Sabouraud dextrose medium (SDB) supplemented with 15% glycerol at –80°C for reuse. The 48-hour SDA cultures obtained were used in the later stages of the study.
Establishment of biofilm formation by the strains. While investigating the biofilms formed by the strains, different parameters in the study of Iturrieta-González, Padovan [10] were combined and applied. For this purpose, inoculum amounts of 105, 106 and 107 CFU/mL; adhesion times of 60, 90 and 120 minutes; biofilm maturation times of 48 and 72 hours; and static and 100 rpm shaking parameters were used, and 36 different parameters were applied for each strain. These applications were performed both in two patient strains and in the reference strain.
Roswell Park Memorial Institute (RPMI) 1640 medium (containing L-glutamine and phenol red without sodium bicarbonate) was prepared with MOPS according to the CLSI M27A3 guidelines (pH 7.0) according to the CLSI M27A3 guidelines, sterilized by filtration and stored at +4°C until use. A few colonies were taken from the 48-hour culture produced in SDA with a sterile core, inoculated into rpmI 1640 medium and incubated at 37°C and 100 rpm overnight. The cells were centrifuged at 3000 rpm for 5 minutes, the supernatant was discarded, and the pellet was washed twice with PBS. Cell suspensions prepared with rpmI medium for each origin were prepared at concentrations of 105, 106 and 107 CFU/mL according to their absorbance at 530 nm. In a flat-bottomed, 96-well polystyrene microplate, 100 µl of cell suspension was added to each well. Three replicates were performed for each isolate. The mixture was incubated at 37°C for 60, 90 or 120 min under static shaking conditions at 100 rpm. The supernatant was removed, and the cells were washed with 150 µl of PBS. Thus, cells that did not adhere to the surface were removed. Then, 150 µl of RPMI medium was added to each well and incubated at 37°C for 48 and 72 hours under static shaking conditions at 100 rpm. Thus, biofilm formation was allowed. The supernatant was changed every 24 hours, and each experiment was repeated 2 times.
Determination of biofilm formation in strains by the crystal violet method. After biofilm formation, the supernatant was aspirated, and the cells were washed 2 times with 200 µl of PBS and dried at room temperature for 45 min. Then, 110 µl of each sample was stained with 0.4% crystal violet for 45 min. Afterwards, the cells were washed 4 times with 200 µl of sterile distilled water. Two hundred microliters were incubated with 95% ethanol for 45 min, 100 µl was transferred to another microplate, and the absorbance values were measured at a wavelength of 570 nm with a spectrophotometer.
Statistical analysis. Three repetitions were made in each experiment for 36 parameters applied to the three strains included in the study, and the mean absorbance values and standard deviations were determined with these repetitions. Each experiment was repeated twice. To determine the reproducibility of the experiment, the means and standard deviations in these two experiments were compared by applying the independent samples t test in MedCalc Software (https://www.medcalc.org/calc/comparison_of_means.php (Version 22.023; accessed May 17, 2024).
Results
Assessment of biofilm formation by the crystal violet method. An inoculum amount of 105, 106 or 107 CFU/mL; an adhesion time of 60, 90 or 120 minutes; a biofilm maturation time of 48 or 72 hours; and static shaking at 100 rpm were applied to the two patient strains and reference strains.
The mean absorbance values and standard deviation values were determined by repeating the same experiment three times for 36 different parameters applied, and graphs were created with these values. All graphs were compared for reproducibility of the experiment. The statistically significant difference between the two experiments for 36 parameters applied at three origins showed that the experiment could not be reproduced. The P value shown in Table was less than 0.05, indicating that there was a significant difference between the two experiments and that the experiment could not be repeated. When the P value was greater than 0.05, there was no significant difference between the two experiments, and the results were reproducible (Table).
Table. Reproducible parameters of the three strains used and comparison of these parameters
Parameters | Strains | |||||||||||
2017 | 2019 | CBS 2479 | ||||||||||
1st exp. | 2nd exp. | P value | Rep. | 1st exp. | 2nd exp. | P value | Rep. | 1st exp. | 2nd exp. | P value | Rep. | |
105, 48h, St, 120m | 1.19±0.19 | 1.11±0.09 | 0.56* | X | 1.85±0.58 | 0.48±0.07 | 0.02** | 0.77±0.14 | 0.27±0.01 | 0.003** | ||
107, 48h, St, 60m | 2.95±0.08 | 1.71±0.11 | < 0.001** | 1.98±0.05 | 1.89±0.22 | 0.52* | X | 0.69±0.03 | 0.48±0.04 | 0.002** | ||
107, 48h, St, 120m | 2.81±0.27 | 1.46±0.15 | 0.002** | 2.26±0.07 | 2.39±0.05 | 0.07* | X | 0.71±0.02 | 0.29±0.02 | < 0.001** | ||
105, 48h, Sh, 120m | 0.55±0.11 | 0.50±0.05 | 0.52* | X | 1.16±0.13 | 1.69±0.04 | 0.003** | 0.59±0.19 | 0.23±0.01 | 0.03** | ||
106, 48h, Sh, 90m | 1.57±0.10 | 1.64±0.03 | 0.30* | X | 1.99±0.06 | 1.29±0.07 | < 0.001** | 0.55±0.07 | 0.31±0.02 | 0.005** | ||
106, 48h, Sh, 120m | 1.16±0.01 | 1.29±0.16 | 0.22* | X | 2.06±0.24 | 1.91±0.01 | 0.36* | X | 0.78±0.29 | 0.23±0.01 | 0.03** | |
107, 48h, Sh, 90m | 2.69±0.06 | 1.01±0.29 | < 0.001** | 2.72±0.13 | 1.73±0.32 | 0.008** | 0.69±0.17 | 0.56±0.01 | 0.26* | X | ||
106, 72h, St, 60m | 2.31±0.13 | 1.35±0.06 | < 0.001** | 2.39±0.11 | 2.40±0.32 | 0.98* | X | 0.78±0.11 | 0.33±0.03 | 0.003** | ||
107, 72h, St, 60m | 2.31±0.20 | 1.60±0.08 | 0.005** | 2.95±0.03 | 2.81±0.08 | 0.06* | X | 1.04±0.32 | 0.59±0.03 | 0.07* | X | |
107, 72h, St, 120m | 2.26±0.25 | 2.47±0.37 | 0.46* | X | 3.46±0.01 | 3.59±0.09 | 0.06* | X | 0.48±0.05 | 0.54±0.03 | 0.20* | X |
Total | 5 | 6 | 3 | |||||||||
Note. 105, 106, 107: Amounts of inoculum used (CFU/mL), 48h: 48hour, 72h: 72hour, St: static, Sh: shaking, 60m: 60 minutes adhesion time, 90m: 90 minutes adhesion time, 120m: 120 minutes adhesion time, 1st exp.: first experiment results (Mean±Standard Deviation), 2nd exp.: second experiment results (Mean±Standard Deviation). *p > 0.05, There is no statistically significant difference between the 2 experiments and the experiment is reproducible. **p < 0.05, There is statistically significant difference between the 2 experiments and the experiment is no reproducible. Rep.: Reproducibility. X: The experiment is reproducible.
From the graphs created for the strain of 2017, the parameters with the least difference between the 1st and 2nd experiments were analysed. The parameters with the least differences between the 1st and 2nd experiments were 105 CFU/mL, static, 120 min adhesion time and 48 h result; 105 CFU/mL, shaking, 120 min adhesion time and 48 h result; 106 CFU/mL, shaking, 90 and 120 min adhesion time and 48 h result; and 107 CFU/mL, static, 120 min adhesion time and 72 h result, for a total of 5 parameters (Table).
From the graphs created for the 2019 strain, the parameters with the least differences between the 1st and 2nd experiments were 107 CFU/mL, static, 60 and 120 minutes of adhesion time and 48 hours result, 106 CFU/mL, shaking, 120 minutes of adhesion time and 48 hours result, 106 CFU/mL, static, 60 minutes of adhesion time and 72 hours result, and 107 CFU/mL, static, 60 and 120 minutes of adhesion time and 72 hours result, a total of 6 parameters (Table).
The parameters with the least difference between the 1st and 2nd experiments from the graphs generated for the reference strain T. asahii var. asahii CBS 2479 were 107 CFU/mL, shaking, 90 min adhesion time and 48 h result and 107 CFU/mL, static, 60 and 120 min adhesion time and 72 h result, for a total of 3 parameters (Table).
Statistical analysis was performed to verify that the parameters with the least difference between experiments 1 and 2 of the three included strains were reproducible. Since the P value of these parameters was greater than 0.05, there was no significant difference between the two experiments, indicating that the experiment was repeatable (Table).
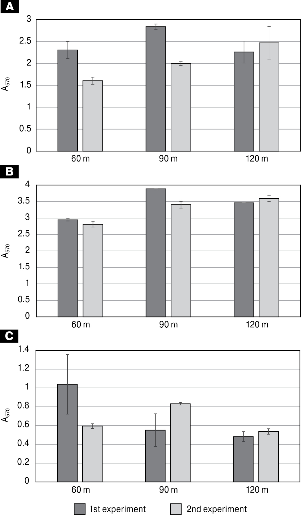
Among the 36 parameters applied for all three strains, the common parameters that can be repeated is 107 CFU/mL, static conditions, a 120-minute adhesion time and 72 hours result. This result can be seen in the “reproducibility” column in Table. This parameter is the optimized result, and the graphs with these results for the three strains are shown in Figure.
Figure. Results of two experiments with 107 CFU/mL, 60, 90 and 120 min adhesion time, 72 h incubation and static conditions of the patient strain isolated in 2017 (A), 2019 (B), and of the reference strain T. asahii var. asahii CBS 2479 (C)
Discussion
Trichosporon asahii is the most common trichosporonosis agent that can cause invasive infections with a high mortality rate, especially in immunocompromised patients, and can be a source of infection through biofilm formation on invasive devices. [3, 7, 9, 10, 12, 14, 15]. Therefore, it is important to investigate biofilm formation in this fungus. In this study, a reproducible T. asahii biofilm formation model was optimized by evaluating the ability of two T. asahii strains isolated from patients in Türkiye and the reference strain to form biofilms on polystyrene surfaces.
Determining the adhesion process, which is the first step in biofilm formation, is also important because it is the beginning of infection [9]. During biofilm formation, after the initial adhesion of the yeast to the surface, the mature phase begins with filamentation [12].
Di Bonaventura et al. [7] applied inoculum amounts of 104, 105 and 106 CFU/mL; adhesion times of 30, 60 and 120 minutes; and biofilm maturation times of 24, 48 and 72 hours and reported that T. asahii cells could adhere to polystyrene surfaces after only 30 minutes of incubation. They stated that the adherent cells were organized as microcolonies representing the early microbial adaptive response in the first 4 hours despite the low metabolic profile, and then the formation of mature biofilms increased from 6 hours to 72 hours. They determined the most optimal experimental setup as 105 CFU/mL, 60 min adhesion time and 72 hours biofilm formation time.
Iturrieta-González et al. [10], based on different protocols in their study, used inoculum amounts of 105, 106 and 107 CFU/mL; adhesion times of 60, 90 and 120 minutes; biofilm maturation times of 48 and 72 hours; shaking at 75 rpm; and static environment parameters for optimisation experiments. As a result, 107 CFU/mL, 90 min of adhesion time, shaking and 48 hours of biofilm maturation were determined to be optimal.
In another optimisation study, 107 CFU/mL inoculum was used, and adhesion times of 1, 2, 4, 6 and 8 hours were compared. In contrast to other studies, 1 and 2 hours of adhesion were judged to be insufficient, and significantly greater biofilm production was observed between 2 and 4 hours. They concluded that if the exposure time increases when there is sufficient surface area, it can lead to high virulence and ultimately persistence of infection [14].
According to optimisation studies carried out around the world, T. asahii biofilm production is carried out in different ways, and biofilms are formed in different countries, in different amounts and for different periods in each study.
As far as we could examine, we could not find any research in our country where optimization studies were carried out on T. asahii biofilm production. In this preliminary study before our study, for this purpose, we determined the optimal parameters for T. asahii biofilm production. In our research, we applied 36 different parameters to all three strains included in the study by crossing inoculum amounts of 105, 106 and 107 CFU/mL; adhesion times of 60, 90 and 120 minutes; biofilm maturation times of 48 and 72 hours; and static and 100 rpm shaking parameters. We applied these parameters twice to each strain. We statistically compared the absorbance results between these two experiments by including the means and standard deviations that we determined from three repetitions within the experiment. A P value between the two experiments was greater than 0.05 indicated that there was no statistically significant difference between the two experiments and that the experiment was reproducible. It was observed that the common parameters for reproducible results in all three strains were 107 CFU/mL, static conditions, 120 minutes of adhesion time and 72 hours result. We concluded that this result is the most optimized result.
The results obtained in our study are compatible with the 72 hours given as the most optimised biofilm maturation time in the optimisation study performed by Di Bonaventura et al. [7], but the adhesion times of 107 CFU/mL and 120 minutes in our study are not compatible with the optimised inoculum amount of 105 CFU/mL and the adhesion time of 60 minutes in their study.
When we compared our study with the study of Iturrieta-González et al. [10], it was found to be compatible with the inoculum amount of 107 CFU/mL in the study of Di Bonaventura et al. [7]. The most optimised conditions determined by this study, such as an incubation time of 90 minutes, a biofilm maturation time of 48 hours and the fact that the experiment was carried out in a shaking apparatus, are not compatible with the values in our study. In addition, the shaking speed in this study was 75 rpm, while the shaking speed we used was 100 rpm.
Montoya et al. [14] maintained a constant concentration of 107 CFU/mL in their optimisation studies and compared the adhesion times and found that 2–4 hours was optimal. In our study, we determined 120 minutes to be the most optimised adhesion time and observed that it was compatible with this study.
Conclusion
As far as we could examine in our country, we observed that there was no optimization phase in the studies investigating the biofilm formation process of T. asahii. We will use the most optimized results we obtained after this optimization study in our study with the comprehensive clinical samples we mentioned. We believe that the optimization conditions we have determined will lead studies to be carried out on this subject in our country and raise awareness. However, we think that the results may differ depending on the laboratory conditions studied, the strains, and the type of clinical sample. For this reason, we believe that optimization and standardization should be ensured to determine the suitability of the conditions under study before starting to work on each study.
We believe that T. asahii, which, unfortunately, has not been studied extensively, even though it causes serious infections worldwide and, in our country, is important for examining the biofilm formation process and investigating infection treatment processes. We predict that the parameters we have determined as a result of this optimization study will lead to the development of different strategies to examine these factors in more comprehensive and different types of clinical samples in different studies. In this way, we hope that studies will be conducted to reveal the unknown aspects of the fungal biofilm formation mechanism in more detail.
Additional information
Acknowledgement. This study was produced from the doctoral thesis prepared at İstanbul University-Cerrahpaşa, Institute of Graduate Studies, Department of Clinical Microbiology. The authors would like to thank İstanbul University-Cerrahpaşa Scientific Research Projects Coordination Unit for their support.
Ethics committee approval. Before starting the study, approval was obtained from Haliç University Non-Interventional Clinical Research Ethics Committee with the ethics committee decision dated 31.10.2023 and numbered 232.
Author contribution. Sinem Ayaz and Sevgi Ergin searched the literature. Sinem Ayaz and Sevgi Ergin wrote the manuscript. Sinem Ayaz created the figures and tables. All authors read and approved the final manuscript. The corresponding author attests that all listed authors meet the authorship criteria and that no other authors meeting the criteria have been omitted.
Statements and declarations. Consent for Publication Sinem Ayaz and Sevgi Ergin have read and approved the final manuscript for submission. We confirm the figures and tables are original for this article.
Conflict of Interest. The authors declare no competing interests.
About the authors
Ayaz Sinem
Haliç University; Istanbul University — Cerrahpaşa
Author for correspondence.
Email: sinemayaz@halic.edu.tr
Researcher, Department of Medical Microbiology, Faculty of Medicine; PhD, Institute of Graduate Studies, Department of Medical Microbiology
Turkey, Istanbul; IstanbulE. Sevgi
Istanbul University — Cerrahpaşa
Email: sinemayaz@halic.edu.tr
DSc, Professor, Department of Medical Microbiology, Cerrahpaşa Faculty of Medicine
Turkey, IstanbulReferences
- Ayaz S., Çerikçioğlu N., Görçin Karatekir Ş. Genotyping and antifungal susceptibility of Trichosporon asahii strains isolated from the clinical samples in a University Training and Research Hospital in Turkey. Infect. Dis. Clin. Microbiol., 2019, vol. 2, pp. 78–86. doi: 10.36519/idcm.2019.19012
- Castano G., Yarrarapu S.N.S., Mada P.K. Trichosporonosis. In: StatPearls [Internet]. 2023, Treasure Island (FL): StatPearls Publishing.
- Cordeiro R.A., Pereira L.M.G., de Sousa J.K., Serpa R., Andrade A.R.C., Portela F.V.M., Evangelista A.J.J., Sales J.A., Aguiar A.L.R., Mendes P.B.L., Brilhante R.S.N., Sidrim J.J.D.C., Castelo-Branco D.S.C.M., Rocha M.F.G. Farnesol inhibits planktonic cells and antifungal-tolerant biofilms of Trichosporon asahii and Trichosporon inkin. Med. Mycol., 2019, vol. 57, no. 8, pp. 1038–1045. doi: 10.1093/mmy/myy160
- Cordeiro R.A., Aguiar A.L.R., da Silva B.N., Pereira L.M.G., Portela F.V.M., de Camargo Z.P., de Lima-Neto R.G., Castelo-Branco D.S.C.M., Rocha M.F.G., Sidrim J.J.C. Trichosporon asahii and Trichosporon inkin biofilms produce antifungal-tolerant persister cells. Front. Cell. Infect. Microbiol., 2021, no. 11: 645812. doi: 10.3389/fcimb.2021.645812
- Dag A., Cerikcioglu N. Investigation of some virulence factors of Trichosporon asahii strains isolated from the clinical samples of hospitalized patients. Mikrobiyol. Bul., 2006, vol. 3, pp. 225–235.
- Demir F., Kuştimur S. Trichosporon spp. suşlarında bazı virülans faktörlerin araştırılması [Investigation of some virulence factors in Trichosporon spp. strains]. Mikrobiyol Bul., 2014, vol. 48, no. 4, pp. 628–638. (In Turkish). doi: 10.5578/mb.7950
- Di Bonaventura G., Pompilio A., Picciani C., Iezzi M., D’Antonio D., Piccolomini R. Biofilm formation by the emerging fungal pathogen Trichosporon asahii: development, architecture, and antifungal resistance. Antimicrob. Agents Chemother., 2006, vol. 50, no. 10, pp. 3269–3276. doi: 10.1128/AAC.00556-06
- Hazirolan G. An overview on Trichosporon asahii and its infections. Mikrobiyol. Bul., 2012, vol. 4, pp. 707–715.
- Ichikawa T., Yoshiyama N., Ohgane Y., Ikeda R. Switching of colony morphology and adhesion activity of Trichosporon asahii clinical isolates. Med. Mycol., 2016, vol. 54, no. 2, pp. 189–196. doi: 10.1093/mmy/myv089
- Iturrieta-González I.A., Padovan A.C.B., Bizerra F.C., Hahn R.C., Colombo A.L. Multiple species of Trichosporon produce biofilms highly resistant to triazoles and amphotericin B. PLoS One, 2014, vol. 10: e109553. doi: 10.1371/journal.pone.0109553
- Kalkanci A., Sugita T., Arikan S., Yucesoy M., Ener B., Otag F., Kiraz N., Kustimur S., Sancak B., Evci C., Emektas G. Molecular identification, genotyping, and drug susceptibility of the basidiomycetous yeast pathogen Trichosporon isolated from Turkish patients. Med. Mycol., 2010, vol. 1, pp. 141–146. doi: 10.3109/13693780902977984
- Kurakado S., Miyashita T., Chiba R., Sato C., Matsumoto Y., Sugita T. Role of arthroconidia in biofilm formation by Trichosporon asahii. Mycoses, 2021, vol. 1, pp. 42–47. doi: 10.1111/myc.13181
- Mehta V., Nayyar C., Gulati N., Singla N., Rai S., Chandar J. A comprehensive review of Trichosporon spp.: an invasive and emerging fungus. Cureus, 2021, vol. 8: e17345. doi: 10.7759/cureus.17345
- Montoya A.M., Elizondo-Zertuche M., Treviño-Rangel R.J., Becerril-García M., González G.M. Biofilm formation and antifungal susceptibility of Trichosporon asahii isolates from Mexican patients. Rev. Iberoam. Micol., 2018, vol. 35, no. 1, pp. 22–26. doi: 10.1016/j.riam.2017.02.008
- Montoya Mendoza A.M., González González G.M. Trichosporon spp.: an emerging fungal pathogen. Medicina. Universitaria., 2014, vol. 62, pp. 37–43.
- Piecuch A., Cal M., Ogórek R. Adhesion and biofilm formation by two clinical isolates of Trichosporon cutaneum in various environmental conditions. Braz. J. Microbiol., 2024. doi: 10.1007/s42770-024-01321-1
Supplementary files




