Total immunoglobulin E as a zooanthroponosis predictor in healthy volunteers: an observational study
- Authors: Zamyatina E.V.1,2, Shevela A.I.1,2, Mandel I.A.3,4, Sizov A.A.5, Stepanov A.A.1,2, Sizov D.A.5, Danilenko S.O.6
-
Affiliations:
- Institute of Chemical Biology and Fundamental Medicine, Siberian Branch of the Russian Academy of Sciences
- Center of New Medical Technologies
- I.M. Sechenov First Moscow State Medical University
- Federal Research and Clinical Center for Specialized Types of Medical Care and Medical Technologies of the Federal Medical-Biological Agency
- Siberian Federal Research Centrе of Agro-ВioTechnologies of the Russian Academy of Sciences
- Novosibirsk State University
- Issue: Vol 14, No 5 (2024)
- Pages: 971-980
- Section: ORIGINAL ARTICLES
- Submitted: 04.04.2024
- Accepted: 13.08.2024
- Published: 21.12.2024
- URL: https://iimmun.ru/iimm/article/view/17631
- DOI: https://doi.org/10.15789/2220-7619-TIE-17631
- ID: 17631
Cite item
Full Text
Abstract
Control of zoonotic infections common in animals and humans profoundly contributes to maintaining public health. The source of pathogens for humans is primarily presented by those animals with which they frequently come into contact during agricultural work, hunting, and gathering mushrooms or wild berries as well as in domestic settings (dogs, cats, other domestic animals, rodents). The study was conducted by the Center of New Medical Technologies, Novosibirsk, and involved 111 healthy volunteers. The specific immune response against the following zoonoses was analyzed: toxocariasis, toxoplasmosis, brucellosis, listeriosis, leptospirosis, and opisthorchiasis, based on specific IgG antibodies. Specific parasitic immune response was compared with the clinical data of the participants and blood IgE levels. Thirty-nine (35%) out of 111 participants had anti-parasitic IgG antibodies against the following zoonoses: leptospirosis, listeriosis, toxocariasis, toxoplasmosis, and opisthorchiasis. Among these 39 participants, 11 had antibodies specific to two or more zoonoses comprising 10% of the cohort. The IgE vs IgG level in the presence of any zoonosis significantly differed (p = 0.0001). Forty-seven participants had normal IgE levels, of whom 8 (17%) had IgG antibodies specific to one of the studied zoonoses. Sixty-four participants had elevated IgE levels, of whom 31 (48%) had IgG antibodies specific to one or more zoonoses, p = 0.001. The IgE level may be a predictor of the zoonoses in apparently healthy individuals at IgE level > 0.226 IU (area under the curve 0.73 [0.62–0.83], p = 0.0001; sensitivity 76%, specificity 62%). The identified diagnostic criteria for screening zoonoses can accelerate the differential diagnosis for conditions associated with non-specific complaints. Prospective randomized studies are needed to identify early pathology-related diagnostic criteria.
Full Text
Введение
Дикая природа, люди и их домашние животные, а также окружающая среда неразрывно связаны между собой, поскольку они играют различную роль в передаче инфекционных заболеваний. Значительный вклад в поддержание общественного здоровья вносит контроль над зооантропонозными инфекциями — заболеваниями общими для животных и человека [2, 27]. Большинство инфекционных заболеваний, поражающих человека, имеют животное происхождение. В докладе «Азиатско-Тихоокеанская стратегия борьбы с возникающими болезнями 2010 г.» сообщается о том, что более 60% новых инфекций человека имеют зоонозную природу [37].
В исследовании таких инфекций крайне важен междисциплинарный подход и тесная кооперация между врачами различных специальностей, ветеринарами, учеными-экологами, специалистами общественного здравоохранения, экспертами по дикой природе и многими другими [27, 33]. Известно около 200 заболеваний зооантропонозной природы, среди них наиболее распространенными являются токсоплазмоз, бруцеллез, лептоспироз, листериоз, токсокароз, различные геогельминты и другие. Источником возбудителей для человека являются прежде всего те животные, с которыми он часто соприкасается во время сельскохозяйственных работ, на охоте, во время сбора грибов или ягод в лесу, а также в быту (собаки, кошки, другие домашние животные, грызуны) [27, 29].
Симптомы большинства зооантропонозов неспецифичны и протекают под маской различных патологий, включающих бронхолегочные, гастроинтестинальные, ревматоидные, неврологические и иные заболевания.
Среди наиболее часто встречающихся клинико-лабораторных показателей можно отметить лихорадку, синдром интоксикации, кожные проявления, отек Квинке, признаки поражения респираторного тракта, диспепсический, абдоминальный, болевой, астеновегетативный синдромы, эозинофилию, лейкоцитоз, анемию [2, 21, 29, 36].
В рутинной клинической практике выявление данных инфекций затруднено и требует клинического мышления, поскольку инфекция зачастую протекает в латентной или хронической форме и диагностика, а также лечение клинических проявлений может идти по ложному пути [5, 8, 10, 18, 24].
Именно это и послужило целью нашего исследования. Латентному течению инфекций способствуют бесконтрольное применение антибактериальной терапии, иммунодефицитные состояния, что ведет к устойчивости некоторых форм инфекционных агентов. Латентное и хроническое течение может приводить к полиорганной недостаточности, невынашиванию беременности, длительно существующей суставной боли, которые интерпретируются ошибочно [5, 8, 14, 26].
При аллергических и паразитарных заболеваниях существует общий иммунный механизм патогенеза, включающий участие неспецифического иммуноглобулина класса Е (оIgE). оIgE как маркер аллергических заболеваний и паразитарных инвазий, индуцирует активацию тучных клеток через связывание оIgE с его высокоаффинным рецептором FceR1 на поверхности тучных клеток. После связывания оIgE тучные клетки высвобождают гистамин, протеазу тучных клеток, протеогликаны, цитокины и хемокины, запуская каскад патологических реакций и формируя локальное или системное воспаление [1, 3, 11, 12, 19, 20, 32].
В литературе имеются отдельные публикации, указывающие на участие оIgE в патогенезе паразитарного воспаления [22]. Но многие аспекты, оценивающие значимость оIgE при диагностике паразитарных инвазий, остаются открытыми, что и определило цель настоящего исследования.
Цель исследования состояла в выявлении взаимосвязи специфического иммунного ответа к зооантропонозным инфекциям с общим уровнем иммуноглобулина Е у здоровых добровольцев на территории Новосибирской области.
Материалы и методы
Настоящее исследование было проведено на базе Института химической биологии и фундаментальной медицины СО РАН совместно с ООО «Центр персонализированной медицины» (г. Новосибирск), где осуществлялся набор пациентов. Исследование было одобрено локальным этическим комитетом ЦПМ (протокол ЛЭК № 5 от 22.03.2023 г., Приказ о начале исследования № 231 от 01.06.2023 г.). Протокол исследования соответствовал этическим принципам Хельсинской декларации 1975 г. Авторы следовали контрольному списку STROBE Checklist.
Методом случайной выборки были обследованы 111 человек из числа здоровых добровольцев, обратившихся в ООО «ЦПМ». Критериями включения являлось наличие письменного информированного согласия пациента. В исследование не включались лица с наличием острого инфекционного заболевания, а также лица, не подписавшие информированное согласие (ИС).
Наличие специфических иммуноглобулинов класса G к возбудителям зооантропонозных инфекций определяли методом твердофазного иммуноферментного анализа с использованием следующих тест-систем: Токсокара-IgG-ИФА-БЕСТ; Описторх — IgG-ИФА-БЕСТ; Бруцелла-IgG-ИФА-БЕСТ (все производства «Вектор-Бест»); ВектоТоксо-IgG; Листери О – IgG (производства «Галарт-Диагностикум»); KS-031 Лептоспироз-ИФА-IgG (производства ООО «Андромед»).
Определение общего иммуноглобулина класса Е (оIgE) в сыворотке крови проводили с использованием диагностической тест-системы «IgE общий ИФА-Бест» («Вектор-Бест»). Все исследования проводили согласно прилагаемым к наборам инструкциям производителя.
В работе использовали следующее оборудование: термостатируемый шейкер Stat Fax 2200, автоматизированный планшетный промыватель «Проплан». Оптическую плотность (ОП) измеряли в двухволновом режиме 450 и 630 нм на спектрофотометре «Пикон». Нулевой уровень («бланк») задавали по воздуху. Рассчитывали ОПкрит. по формуле:
ОПкрит. = ОПК–(ср.) + 0,2,
где ОПК–(ср.) — среднее значение ОП (ОПК–) по двум лункам, а 0,2 — общепринятый эмпирический коэффициент. При значении ОП лунки больше ОПкрит, результат считали положительным. Повышенным уровень оIgE считали при значение более 0,22 ОП.
Для получения сыворотки периферическую кровь (в объеме 5 мл) забирали в соответствующие вакутейнеры (пробирки с активатором свертывания и разделительным гелем). Пробирки инкубировали при температуре 37°С в течение 2 ч. Для лучшего выделения сыворотки образовавшийся сгусток фибрина отделяли от стенок пробирок стеклянной палочкой. Готовую сыворотку собирали и хранили до использования при температуре не менее –18°С.
У всех рекрутированных в исследование лиц анализировали следующие характеристики: пол, возраст, место проживания, профессиональные вредности, аллергический анамнез, хронические заболевания, вторичные иммунодефициты в анамнезе, в том числе связанные с опухолевым процессом, операции, герпесвирусные инфекции, ВИЧ, аутоиммунные заболевания, а также заболевания глаз (увеиты, кератиты), в том числе операции на глазах с длительным реабилитационным периодом, привычное невынашивание беременности (самопроизвольные аборты), частоту использования антибактериальной терапии за последний год, последний прием антибиотиков. Наряду с этим анализировали узкоспецифические данные, характерные для зооантропонозов: употребление речной рыбы (рыбалка, заготовка), суши, готовых продуктов из свежей рыбы (рыбные полуфабрикаты, вяленая рыба/рыба к пиву; наличие домашних животных (кошки/собаки), последнее обследование животных на выявление токсокар, токсоплазм; употребление в пищу на регулярной основе молочных продуктов домашнего происхождения (сыры, сметана, кисломолочные продукты); наличие домашнего скота; наличие дачных участков и употребление «урожая с грядки».
Статистическая обработка данных была проведена в программе SPSS 26.0.0.0 (IBM, США). Количественные данные представлены в виде медианы (Ме) и 25–75 процентилей [25; 75], категориальные — в виде абсолютного количества (n) и доли (%). Нормальность распределения величин проверяли при помощи теста Колмогорова–Смирнова. Корреляционный анализ проведен с использованием критерия Спирмена — rho. Направление (прямая или обратная) и силу корреляционной связи определяли по величине коэффициента. При rho > 0, связь оценивали как прямую, при rho < 0 — как обратную. Силу связи оценивали: rho < 0,3 — очень слабая; 0,3–0,5 — слабая; 0,5–0,7 — средняя; > 0,7 — сильная. Определяли отношение шансов (ОШ), рассчитывали 95% доверительный интервал (ДИ) и статистическую значимость для сравнения двух групп бинарных данных с целью выявления тесноты связи «исхода» с присутствием или отсутствием определенного фактора (уровня oIgE нормального или повышенного). За «исход» было принято наличие иммунного ответа на один из зооантропонозов, диагностированного по уровню специфических IgG к одному из шести исследуемых заболеваний.
Достоверность различий величин для двух независимых групп проводили с помощью критерия Манна–Уитни. Для категориальных признаков (в двух независимых группах) применяли критерий χ2 с поправкой Йетса, точный критерий Фишера (если количество одной или нескольких ячеек в таблице меньше 5). Дискриминационная способность и достоверность прогностических возможностей факторов в определении вероятности наличия зооантропоноза, а также точка отсечения, чувствительность и специфичность для каждого фактора оценены с помощью ROC-анализа (Receiver Operating Characteristic). При проверке статистических гипотез наличие статистической значимости устанавливали при р < 0,05.
Результаты
Обследовано 111 здоровых добровольцев, у которых выявлены разные уровни антипаразитарных IgG при нормальном или повышенном уровне оIgE (табл. 1).
Таблица 1. Уровень специфических IgG при нормальном или повышенном уровне оIgE, n = 111
Table 1. Specific IgG level related to normal or elevated IgE levels, n = 111
Уровень IgG IgG level | oIgE (< 0,22) n = 47 | oIgE (< 0,22) n = 47 min/max | oIgE (> 0,22) n = 64 | oIgE (> 0,22) n = 64 min/max | р |
Leptospira | 0,036/0,251 | 0,020/0,800 | 0,0001 | ||
Listeria | 0,032/0,295 | 0,051/0,435 | 0,079 | ||
Toxocara | 0,030/0,201 | 0,048/0,324 | 0,0001 | ||
Toxoplasma | 0,030/0,315 | 0,042/0,357 | 0,0001 | ||
Brucella | 0,027/0,119 | 0,023/0,194 | 0,0001 | ||
Opisthorchis | 0,022/0,136 | 0,043/0,229 | 0,0001 | ||
Возраст, лет Age | 34 [24–47] | 0,199 |
Примечание. Данные представлены в виде медианы [25–75-й процентили] или абсолютных значений (проценты), р между группами рассчитано методом Манна–Уитни или χ2 и точного критерия Фишера, в зависимости от типа данных.
Note. Data are presented as median [25th–75th percentiles] or absolute values (percentages), p between groups calculated by Mann–Whitney method or χ2 and Fisher exact test, depending on data type.
Уровень оIgE при наличии любого из исследуемых зооантропонозов значимо отличался от респондентов, не имеющих специфических IgG (рис. 1, табл. 2).
Рисунок 1. Уровень оIgE в зависимости от наличия любого из исследуемых зооантропонозов
Figure 1. oIgE level related to zooanthroponoses
Примечание. Жирная линия — медиана, боксы — 25–75 квартили, усы — 95% доверительный интервал, кружок и звездочка — выпадающие значения; серая линия — референсный уровень оIgE 0,220; статистически значимое отличие между группами р = 0,0001.
Note. Thick line — median, boxes — 25–75 quartiles, whiskers — 95% confidence interval, circle and asterisk — outliers; gray line — oIgE reference level 0.220; statistical differences between certificates p = 0.0001.
Таблица 2. Уровень оIgE при наличии или отсутствии специфических IgG, n = 111
Table 2. oIgE level related to specific IgG anibodies, n = 111
IgG (–), n = 72 (65%) | IgG (+), n = 39 (35%) | р | |
оIgE | 0,0001 | ||
оIgE (> 0,22), n (%) | 33 (46) | 31 (79) | 0,001 |
Возраст, лет Age | 37 [25–49] | 36 [28–51] | 0,568 |
Примечание. Данные представлены в виде медианы [25–75-й процентили] или абсолютных значений (проценты), р между группами рассчитано методом Манна–Уитни или χ2 и точного критерия Фишера, в зависимости от типа данных.
Note. Data are presented as median [25th–75th percentiles] or absolute values (percentages), p between groups calculated by Mann–Whitney method or χ2 and Fisher exact test, depending on data type.
Из 47 обследованных с нормальным уровнем оIgE у 8 (17%) выявлены IgG к одному из исследуемых зооантропонозов, а из 64 обследованных с повышенным уровнем оIgE — IgG к одному или нескольким (2 и более) зооантропонозам выявлены у 31 (48%) человека (рис. 2).
Рисунок 2. Распределение респондентов по уровню оIgE норма (< 0,22) и выше нормы (> 0,22) в зависимости от наличия любого из исследуемых зооантропонозов, р = 0,001
Figure 2. Normal (< 0.22) and elevated (> 0.22) oIgE level distribution of respondents related to zooanthroponoses, p = 0.001
Из 111 обследуемых у 39 (35%) человек выявлены специфические IgG к следующим зоонозам: Leptospira, Listeria, Toxocara, Toxoplasma, Opisthorchis. Из этих 39 обследуемых 11 человек (28%) имели антитела к двум и более зооантропонозам, что составило 10% от общей когорты обследуемых (111 человек). К Brucella диагностически значимого титра паразитарных антител в данной выборке не обнаружено (табл. 3).
Таблица 3. Количественное распределение по видам зоонозов среди лиц с положительным специфическим иммунным ответом, n = 39 (%)
Table 3. Zoonosis-specific quantitative distribution among individuals with positive specific immune response, n = 39 (%)
IgG | р | IgG +, n = 39 (35%) | |
один из зоонозов one of the zoonoses n = 28 | 2 и более зооноза у одного респондента 2 or more zoonoses per respondent n = 11 | ||
Leptospira | 0,0001 | 5 | 7 |
Listeria | 0,0001 | 13 | 7 |
Toxocara | 0,0001 | 5 | 4 |
Toxoplasma | 0,0001 | 3 | 6 |
Opisthorchis | 0,014 | 2 | 2 |
Всего Total | 28 | 26 | |
54 случая положительного специфического иммунного ответа у 39 человек 54 cases of positive specific immune response by 39 people | |||
Уровень оIgE прямо умеренно коррелирует с IgG к Leptospira (ро = 0,549, р = 0,0001, n = 12); Listeria (ро = 0,283, р = 0,003, n = 20); Toxocara (ро = 0,388, р = 0,0001, n = 9); Toxoplasma (ро = 0,387, р = 0,0001, n = 9); любой из перечисленных инфекций (ро = 0,372, р = 0,0001); нескольким инфекциям одновременно (ро = 0,378, р = 0,0001).
Распределение специфических IgG среди респондентов с нормальным и повышенным оIgE представлено в табл. 4. У респондентов с повышенным оIgE специфические антитела встречались значимо чаще, чем при нормальном уровне оIgE. Два и более зооантропоноза выявлены только у респондентов с повышенным уровнем оIgE.
Таблица 4. Распределение специфических IgG среди респондентов с нормальным или повышенным оIgE, n = 111
Table 4. Specific IgG distribution among respondents with normal or elevated oIgE, n = 111
оIgE (< 0,22) n = 47 | оIgE (> 0,22) n = 64 | Р, Хи-квадрат или критерий Фишера P, Chi-square or Fisher’s test | |
Любой зооноз Any zoonosis, n (%) | 8 (20,5) | 31 (43) | 0,001 |
Listeria, n (%) | 4 (10) | 16 (22) | 0,027 |
Leptospira, n (%) | 2 (5) | 10 (14) | 0,069 |
Toxocara, n (%) | 1 (2,5) | 8 (11) | 0,076 |
Toxoplasma, n (%) | 1 (2,5) | 8 (11) | 0,076 |
Opisthorchis, n (%) | 0 | 4 (6) | 0,136 |
2 и более зооноза 2 or more zoonoses, n (%) | 0 | 11 (28) | 0,005 |
Характеристика респондентов разного возраста, в зависимости от оIgE выше нормы и анамнестических данных представлена в табл. 5. Значимых отличий у респондентов при повышенном уровне оIgE по показателям употребление речной рыбы, продуктов из свежей рыбы, регулярное употребление в пищу молочных продуктов домашнего происхождения, наличие домашнего скота в данной выборке найдено не было. Выявлены отличия по наличию домашних животных и употреблению «урожая с грядки».
Таблица 5. Характеристика респондентов разного возраста в зависимости от оIgE выше нормы (> 0,22) и анамнестических данных, n = 111
Table 5. Age-related characteristics of respondents related to increased oIgE level (> 0.22) and anamnestic data, n = 111
Взрослые Adults n = 98 (%) | Дети (до 18 лет) Сhildren (up to 18 years old) n = 13 (%) | Р, Хи-квадрат или критерий Фишера P, Chi-square or Fisher’s test | |
IgE (> 0,22), n (%) | 47 (48) | 5 (38) | 0,568 |
Наличие домашних животных Pets | 65 (66) | 13 (100) | 0,018 |
Употребление «урожая с грядки» Farm harvest | 70 (71) | 13 (100) | 0,038 |
Выявлена связь между наличием суставных болей с повышенным уровнем оIgE (табл. 6).
Таблица 6. Суставные боли при разном уровне оIgE
Table 6. Joint pain related to oIgE levels
оIgE (< 0,22) n = 47 | оIgE (> 0,22) n = 64 | Р, Хи-квадрат или критерий Фишера P, Chi-square or Fisher’s test | |
Наличие суставных болей, n (%) Joint pain, n (%) | 8 (20,5) | 21 (29) | 0,049 |
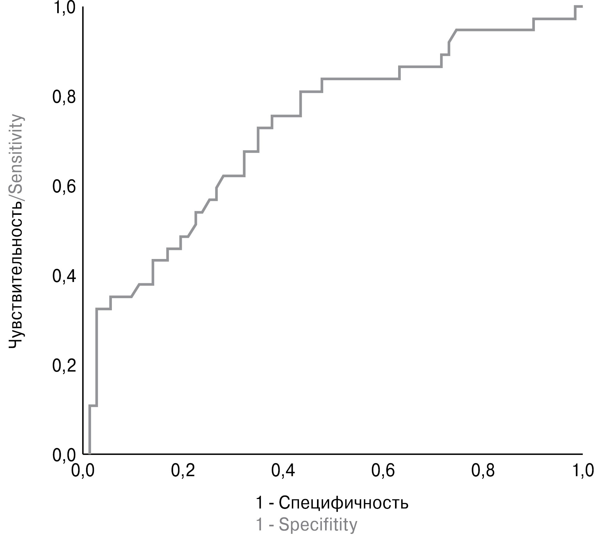
По результатам ROC-анализа выявлен предиктор наличия любого зооантропоноза по уровню оIgE: Площадь под кривой 0,73 [0, 62–0, 83], p = 0,0001; точка отсечения oIgE более 0,226 ОП, чувствительность 76%, специфичность 62% (рис. 3).
Рисунок 3. Предиктор наличия любого зооантропоноза — уровень оIgE более 0,226 ОП
Figure 3. oIgE level > 0.226 OD as a zooanthroponosis predictor
Примечание. Площадь под кривой 0,73 [0, 62–0, 83], p = 0,0001; чувствительность 76%, специфичность 62%.
Note. The area under curve 0.73 [0.62–0.83], p = 0.0001; sensitivity 76%, specificity 62%.
Уровень общего оIgE может быть предиктором наличия:
- токсоплазмоза — площадь под кривой 0,75 [0, 58–0, 92], p = 0,021; точка отсечения оIgE более 0,249, чувствительность 88%, специфичность 59%;
- лептоспироза — площадь под кривой 0,84 [0, 70–0, 97], p = 0,0001; точка отсечения оIgE более 0,284, чувствительность 91%, специфичность 74%);
- токсокароза — площадь под кривой 0,72 [0, 53–0, 92], p = 0,026; точка отсечения оIgE более 0,239, чувствительность 89%, специфичность 57%;
- описторхоза — площадь под кривой 0,88 [0, 79–0, 97], p = 0,010; точка отсечения оIgE более 0,307, чувствительность 100%, специфичность 76%;
- двух разных зооантропонозов — площадь под кривой 0,90 [0, 80–0, 99], p = 0,0001; точка отсечения оIgE более 0,249, чувствительность 100%, специфичность 61%.
Обсуждение
Со временем связь человека и животного изменилась. К примеру, роль домашних животных изменилась с рабочей (охрана жилища, ловля грызунов-вредителей) на социальную (общение). Домашние животные, являясь важными фактором физического и психического здоровья своих владельцев, также могут быть переносчиками зоонозных инфекций [27, 33]. Высокий риск передачи зоонозных инфекций от домашних животных человеку может возникнуть в случае наличия у животного привычки спать в постели хозяина, при облизывании животными лица или ран хозяина, при содержании экзотических животных в качестве домашних и при контакте с почвой [37]. Полученные в ходе нашего исследования данные согласуются и с данными ряда других авторов. Так, исследователи Cruz A.A., Cooper P.J., Figueiredo C.A. и соавт. в своей работе также указывают на важность включения паразитарных аллергенов в первоначальную диагностику аллергических заболеваний [7].
Основным результатом данной работы является определение вероятности наличия любого зооантропоноза по повышенному уровню оIgE более 0,22 ОП.
Известно, что около 60% случаев пищевой аллергии у взрослых и детей сочетаются с респираторной аллергией [4, 34], симптомами которой являются кашель, одышка, затрудненное дыхание. Многочисленные научные исследования указывают на то, что в основе этих состояний лежит нарушение функционирования иммунной системы, которое определяется также образом жизни и окружающей средой, немаловажную роль в которых играют и паразитозы [3, 9, 23, 32]. По данным литературы, более 2 млрд человек во всем мире инфицированы кишечными паразитами, а 5 млрд проживают в районах с высоким риском заражения инвазивными возбудителями [25]. Некоторые паразиты являются геогельминтами, выделяя яйца, которые становятся заразными в почве [5, 8, 10, 14, 15, 18, 21, 24, 26, 28, 31].
Иммунные реакции, протекающие при ответе организма на паразитарную инвазию и аллергические заболевания, часто имеют сходную внешнюю симптоматику [1, 3, 11, 19, 32]. В многочисленных работах описаны аналогичные симптомы при обоих видах заболеваний. Сходство обусловлено, прежде всего, активацией одних и тех же защитных механизмов при контакте с чужеродными белками [1, 3, 11, 19, 32]. Реакции и их тяжесть зависят от множества факторов. Сюда можно отнести гиперергические реакции, такие как синдром Леффлера или эозинофильная пневмония, требующие быстрой и таргетной терапии в виде системных кортикостероидов. Симптомы острого аллергического альвеолита напоминают симптомы острой респираторной инфекции. К ним относятся одышка, повышенная температура, озноб, недомогание, боли в суставах и кашель. Острая реакция на паразитов может быть аналогична острой аллергической реакции на ингаляционные или пищевые аллергены [3, 32]. Также в жизненном цикле некоторых паразитов участвуют личинки, которые ищут удобное место для развития в организме хозяина [10, 15, 28]. Миграция личинок сопровождается симптомами аллергии: папулезными, зудящими высыпаниями, крапивницей, реже конъюнктивитом, свистящим дыханием, одышкой, иногда кровохарканьем [3, 7, 10, 15, 29]. Таким образом, диагностика и диагноз имеют решающее значение.
Иммунный механизм аллергических и паразитарных заболеваний включает участие общего иммуноглобулина класса Е (оIgE). оIgE индуцирует активацию тучных клеток с последующим высвобождением ряда провоспалительных цитокинов, запуская каскад патологических реакций и формируя локальное или системное воспаление [1, 3, 11, 12, 19, 20, 32].
На сегодняшний день в литературе недостаточно публикаций, где измерялись уровни оIgE в сыворотке и проводился анализ связи с системным воспалением, включая паразитарную инвазию, и его исходами, хотя становится все более очевидным, что иммуноглобулин Е играет более широкую роль, охватывая многие заболевания.
Ограничениями данного исследования являются обсервационный дизайн, отсутствие данных в динамике, а также небольшой объем выборки.
Таким образом, значимость зооантропонозов в общесоматической патологии в целом является актуальной нерешенной проблемой, особенно учитывая разнообразие и неспецифичность клинической картины паразитозов и аллергических проявлений, частого назначения антибактериальной терапии, стероидных гормонов для подавления аллергических реакций. Уровень оIgE может быть предиктором наличия зооантропоноза у условно здоровых лиц при уровне оIgE более 0,226 ОП.
Выявленные критерии диагностического скрининга зооантропонозов могут ускорить дифференциальную диагностику состояний, связанных с неспецифическими жалобами и возможными паразитозами. Крупные проспективные рандомизированные исследования помогут выявлению ранних диагностических критериев патологий при неспецифических жалобах, аллергическом анамнезе и наличии зоонозов.
About the authors
Evgenia V. Zamyatina
Institute of Chemical Biology and Fundamental Medicine, Siberian Branch of the Russian Academy of Sciences; Center of New Medical Technologies
Author for correspondence.
Email: e_zamyt@mail.ru
PhD (Medicine), Researcher, Laboratory of Invasive Medical Technology, Infectiologist, Pulmonologist
Россия, Novosibirsk; NovosibirskA. I. Shevela
Institute of Chemical Biology and Fundamental Medicine, Siberian Branch of the Russian Academy of Sciences; Center of New Medical Technologies
Email: e_zamyt@mail.ru
DSc (Medicine), Professor, Head Researcher, Deputy Director, Scientific Director
Россия, Novosibirsk; NovosibirskI. A. Mandel
I.M. Sechenov First Moscow State Medical University; Federal Research and Clinical Center for Specialized Types of Medical Care and Medical Technologies of the Federal Medical-Biological Agency
Email: e_zamyt@mail.ru
PhD (Medicine), Associate Professor, Department of Anaesthesiology and Resuscitation Science, Associate Professor, Department of Anaesthesiology and Resuscitation Science
Россия, Moscow; MoscowA. A. Sizov
Siberian Federal Research Centrе of Agro-ВioTechnologies of the Russian Academy of Sciences
Email: e_zamyt@mail.ru
PhD (Biology), Leading Researcher, Laboratory for Optimisation of Anti-Epizootic Systems
Россия, Novosibirsk Region, Novosibirsk District, KrasnoobskA. A. Stepanov
Institute of Chemical Biology and Fundamental Medicine, Siberian Branch of the Russian Academy of Sciences; Center of New Medical Technologies
Email: e_zamyt@mail.ru
PhD (Medicine), Associate Professor, Head of the Laboratory of Genomic Medical Technologies; Head of the Clinical Laboratory
Россия, Novosibirsk; NovosibirskD. A. Sizov
Siberian Federal Research Centrе of Agro-ВioTechnologies of the Russian Academy of Sciences
Email: e_zamyt@mail.ru
Researcher, Laboratory for Optimisation of Anti-Epizootic Systems
Россия, Novosibirsk Region, Novosibirsk District, KrasnoobskS. O. Danilenko
Novosibirsk State University
Email: e_zamyt@mail.ru
Assistant Professor, Department of Fundamental Medicine
Россия, NovosibirskReferences
- Мачарадзе Д.Ш. Современные клинические аспекты оценки уровней общего и специфических IgE // Педиатрия. Журнал им. Г.М. Сперанского. 2017. Т. 96, № 2. С. 121–127. [Macharadze D.Sh. Modern clinical aspects of total and specific IgE evaluation. Pediatriya. Zhurnal im. G.M. Speranskogo = Pediatrics. Journal named after G.M. Speransky, 2017, vol. 96, no. 2, pp. 121–127. (In Russ.)] doi: 10.33029/9704-6122-8-INB-2021-1-1104
- Ющук Н.Д., Венгеров Ю.Я. Инфекционные болезни: национальное руководство. 3-е изд., перераб. и доп. М.: ГЭОТАР-Медиа, 2023. 1104 с. (Серия «Национальные руководства») [Yushchuk N.D., Vengerov Yu.Ya. Infectious diseases: national guidelines. 3rd ed., revised. Moscow: GEOTAR-Media, 2023. 1104 p. (National Guidelines Series) (In Russ.)]
- Bradding P., Walls A.F., Holgate S.T. The role of the mast cell in the pathophysiology of asthma. J. Allergy Clin. Immunol., 2006, vol. 117, no. 6, pp. 1277–1284. doi: 10.1016/j.jaci.2006.02.039
- Burbank A.J., Sood A.K., Kesic M.J., Peden D.B., Hernandez M.L. Environmental determinants of allergy and asthma in early life. J. Allergy Clin. Immunol., 2017, vol. 140, no. 1, pp. 1–12. doi: 10.1016/j.jaci.2017.05.010
- Charlier C., Noel C., Hafner L., Moura A., Mathiaud C., Pitsch A., Meziane C., Jolly-Sanchez L., de Pontfarcy A., Diamantis S., Bracq-Dieye H., Disson O., Thouvenot P., Valès G., Tessaud-Rita N., Tourdjman M., Leclercq A., Lecuit M. Fatal neonatal listeriosis following L. monocytogenes horizontal transmission highlights neonatal susceptibility to orally acquired listeriosis. Cell Rep. Med., 2023, vol. 4, no. 7: 101094. doi: 10.1016/j.xcrm.2023.101094
- Criqui M.H., Lee E.R., Hamburger R.N., Klauber M.R., Coughlin S.S. IgE and cardiovascular disease. Results from a population-based study. Am. J. Med., 1987, vol. 82, no. 5, pp. 964–968. doi: 10.1016/0002-9343(87)90159-8
- Cruz A.A., Cooper P.J., Figueiredo C.A., Alcantara-Neves N.M., Rodrigues L.C., Barreto M.L. Global issues in allergy and immunology: parasitic infections and allergy. J. Allergy Clin. Immunol., 2017, vol. 140, no. 5, pp. 1217–1228. doi: 10.1016/j.jaci.2017.09.005
- Parra Barrera E.L., Bello Piruccini S., Rodríguez K., Duarte C., Torres M., Undurraga E.A. Demographic and clinical risk factors associated with severity of lab-confirmed human leptospirosis in Colombia, 2015–2020. PLoS Negl Trop. Dis., 2023, vol. 17, no. 7: e0011454. doi: 10.1371/journal.pntd.0011454
- Feary J., Britton J., Leonardi-Bee J. Atopy and current intestinal parasite infection: a systematic review and meta-analysis. Allergy, 2011, vol. 66, no. 4, pp. 569–578. doi: 10.1111/j.1398-9995.2010.02512.x
- Song G., Yang C., Qu Z., Lin X., Liu M., Wang Y. Association between seropositivity for toxocariasis and cognitive functioning in older adults: an analysis of cross-sectional data from the US National Health and Nutrition Examination Survey (NHANES), 2011-2014. BMJ Open, 2023, vol. 13, no. 3: e068974. doi: 10.1136/bmjopen-2022-068974
- Grant A.V., Araujo M.I., Ponte E.V., Oliveira R.R., Cruz A.A., Barnes K.C., Beaty T.H. High heritability but uncertain mode of inheritance for total serum IgE level and Schistosoma mansoni infection intensity in a schistosomiasis-endemic Brazilian population. J. Infect. Dis., 2008, vol. 198, no. 8, pp. 1227–1236. doi: 10.1086/591946
- Gruber B.L. Immunoglobulin E., mast cells, endogenous antigens, and arthritis. Rheum. Dis. Clin. North Am., 1991, vol. 17, no. 2, pp. 333–342.
- Guo X., Yuan S., Liu Y., Zeng Y., Xie H., Liu Z., Zhang S., Fang Q., Wang J., Shen Z. Serum IgE levels are associated with coronary artery disease severity. Atherosclerosis, 2016, vol. 251, pp. 355–360. doi: 10.1016/j.atherosclerosis.2016.05.020
- Charles J.C., Jayarajah U., Subasinghe D. Clinical characteristics and outcomes of patients with leptospirosis complicated with acute pancreatitis: a systematic review. J. Int. Med. Res., 2023, vol. 51, no. 9: 3000605231197461. doi: 10.1177/03000605231197461
- Ulloque-Badaracco J.R., Hernandez-Bustamante E.A., Alarcón-Braga E.A., Huayta-Cortez M., Carballo-Tello X.L., Seminario-Amez R.A., Rodríguez-Torres A., Casas-Patiño D., Herrera-Añazco P., Benites-Zapata V.A. Seroprevalence of human toxocariasis in Latin America and the Caribbean: a systematic review and meta-analysis. Front. Public Health., 2023, no. 11: 1181230. doi: 10.3389/fpubh.2023.1181230
- Korkmaz M.E., Oto A., Saraçlar Y., Oram E., Oram A., Ugurlu S., Karamehmetoglu A., Karaagaoglu E. Levels of IgE in the serum of patients with coronary arterial disease. Int. J. Cardiol., 1991, vol. 31, no. 2, pp. 199–204. doi: 10.1016/0167-5273(91)90216-c
- Kounis N.G., Hahalis G. Serum IgE levels in coronary artery disease. Atherosclerosis, 2016, vol. 251, pp. 498–500. doi: 10.1016/j.atherosclerosis.2016.05.045
- Suominen K., Jaakola S., Salmenlinna S., Simola M., Wallgren S., Hakkinen M., Suokorpi A., Rimhanen-Finne R. Invasive listeriosis in Finland: surveillance and cluster investigations, 2011–2021. Epidemiol. Infect., 2023, vol. 151: e118. doi: 10.1017/S0950268823001073
- Kyozuka H., Murata T., Fukuda T., Endo Y., Yamaguchi A., Yasuda S., Kanno A., Sato A., Ogata Y., Hosoya M., Yasumura S., Hashimoto K., Nishigori H., Fujimori K.; Japan Environment and Children’s Study (JECS) Group. Immunoglobulin E levels and pregnancy-induced hypertension: Japan Environment and Children’s Study. Sci. Rep., 2021, vol. 11, no. 1: 8664. doi: 10.1038/s41598-021-88227-2
- MacGlashan D.Jr., Lavens-Phillips S., Katsushi M. IgE-mediated desensitization in human basophils and mast cells. Front. Biosci., 1998, vol. 3: d746-56. doi: 10.2741/a318
- Macpherson C.N. Human behaviour and the epidemiology of parasitic zoonoses. Int. J. Parasitol., 2005, vol. 35, no. 11–12, pp. 1319–1331. doi: 10.1016/j.ijpara.2005.06.004
- Magnaval J.F., Fillaux J., Cassaing S., Valentin A., Iriart X., Berry A. Human toxocariasis and atopy. Parasite, 2020, no. 27: 32. doi: 10.1051/parasite/2020029
- Maizels R.M., McSorley H.J. Regulation of the host immune system by helminth parasites. J. Allergy Clin. Immunol., 2016, vol. 138, no. 3, pp. 666–675. doi: 10.1016/j.jaci.2016.07.007
- Durieux M.F., Lopez J.G., Banjari M., Passebosc-Faure K., Brenier-Pinchart M.P., Paris L., Gargala G., Berthier S., Bonhomme J., Chemla C., Villena I., Flori P., Fréalle E., L’Ollivier C., Lussac-Sorton F., Montoya J.G., Cateau E., Pomares C., Simon L., Quinio D., Robert-Gangneux F., Yera H., Labriffe M., Fauchais A.L., Dardé M.L. Toxoplasmosis in patients with an autoimmune disease and immunosuppressive agents: a multicenter study and literature review. PLoS Negl Trop. Dis., 2022, vol. 16, no. 8: e0010691. doi: 10.1371/journal.pntd.0010691
- Medeiros M Jr, Figueiredo J.P., Almeida M.C., Matos M.A., Araújo M.I., Cruz A.A., Atta A.M., Rego M.A., de Jesus A.R., Taketomi E.A., Carvalho E.M. Schistosoma mansoni infection is associated with a reduced course of asthma. J. Allergy Clin. Immunol., 2003, vol. 111, no. 5, pp. 947–951. doi: 10.1067/mai.2003.1381
- Gupta N., Wilson W., Ravindra P. Leptospirosis in India: a systematic review and meta-analysis of clinical profile, treatment and outcomes. Infez. Med., 2023, vol. 31, no. 3, pp. 290–305. doi: 10.53854/liim-3103-4
- Overgaauw P.A.M., Vinke C.M., Hagen M.A.E.V., Lipman L.J.A. A One Health Perspective on the Human-Companion Animal Relationship with Emphasis on Zoonotic Aspects. Int. J. Environ. Res. Public Health, 2020, vol. 17, no. 11: 3789. doi: 10.3390/ijerph17113789
- Pezeshkian F., Pouryousef A., Omidian M., Mikaeili F., Safarpour A.R., Shojaei-Zarghani S., Sarkari B. Seroprevalence of toxocariasis and its associated risk factors among adult population in Kavar District, Fars Province, South of Iran: a cross-sectional community-based seroepidemiological survey. Interdiscip. Perspect. Infect. Dis., 2023, no. 2023: 2721202. doi: 10.1155/2023/2721202
- Robertson I.D., Thompson R.C. Enteric parasitic zoonoses of domesticated dogs and cats. Microbes Infect., 2002, vol. 4, no. 8, pp. 867–873. doi: 10.1016/s1286-4579(02)01607-6
- Sinkiewicz W., Błazejewski J., Bujak R., Kubica J., Dudziak J. Immunoglobulin E in patients with ischemic heart disease. Cardiol J., 2008, vol. 15, no. 2, pp. 122–128.
- Strand T.M., Olsson Engvall E., Lahti E., Hjertqvist M., Lundkvist Å. Leptospira status in Sweden during the past century, neglected and re-emerging? Microorganisms, 2023, vol. 11, no. 8: 1991. doi: 10.3390/microorganisms11081991
- Theoharides T.C., Kalogeromitros D. The critical role of mast cells in allergy and inflammation. Ann. NY Acad. Sci., 2006, vol. 1088, pp. 78–99. doi: 10.1196/annals.1366.025
- Thompson A., Kutz S. Introduction to the Special Issue on ‘Emerging Zoonoses and Wildlife’. Int. J. Parasitol. Parasites Wildl., 2019, no. 9: 322. doi: 10.1016/j.ijppaw.2019.07.002
- Von Mutius E. The microbial environment and its influence on asthma prevention in early life. J. Allergy Clin. Immunol., 2016, vol. 137, no. 3, pp. 680–689. doi: 10.1016/j.jaci.2015.12.1301
- Wang Z., Shen X.H., Feng W.M., Qiu W. Mast cell specific immunological biomarkers and metabolic syndrome among middle-aged and older Chinese adults. Endocr. J., 2017, vol. 64, no. 3, pp. 245–253. doi: 10.1507/endocrj.EJ16-0388
- Wells D.L. The effects of animals on human health and well-being. Journal of Social Issues, 2009, vol. 65, no. 3, pp. 523–543. doi: 10.1111/j.1540-4560.2009.01612.x
- World Health Organization Asia Pacific Strategy for Emerging Diseases: 2010. [Accessed on 20 July 2020]; Manila: WHO Regional Office for the Western Pacific. URL: https://iris.wpro.who.int/bitstream/handle/10665.1/7819/9789290615040_eng.pdf
- Xiong F., Tong Y., Li P., Huo T., Mao M. Serum immunoglobulin E level and its impact on the pregnancy outcome associated with fetal growth restriction: a prospective cohort study. Genet. Mol. Res., 2015, vol. 14, no. 2, pp. 3879–3888. doi: 10.4238/2015.April.27.2
Supplementary files







