Assessment of protein s and c level and its relationship with health-related factors in people living with hiv: a cross-sectional study
- Authors: Rezaei E.1, Jamali E.2, Foroozanfar Z.3, Ataei F.1, Beheshti S.3, Joulaei H.3
-
Affiliations:
- Tarbiat Modares University
- Peyvand Pathobiology and Genetic Laboratory
- Shiraz University of Medical Sciences
- Issue: Vol 13, No 3 (2023)
- Pages: 549-558
- Section: ORIGINAL ARTICLES
- Submitted: 26.01.2023
- Accepted: 23.06.2023
- Published: 26.06.2023
- URL: https://iimmun.ru/iimm/article/view/2629
- DOI: https://doi.org/10.15789/2220-7619-AOP-2629
- ID: 2629
Cite item
Full Text
Abstract
Introduction. Not only does Human Immunodeficiency Virus (HIV) threaten the complications associated with immunodeficiency, but also does it cause a set of chronic conditions that may lead to serious problems in these patients. Hypercoagulable state and other hematologic manifestations are reported as leading factors in various clinical problems like deep vein thrombosis in People Living with HIV (PLHIV). The present study aimed to investigate whether there is any correlation between proteins S and C levels (the thrombophilic conditions in HIV seropositive cases) and hematological factors, biochemical markers, CD4 count, HIV viral load, anti-retroviral therapy, Hepatitis C (HCV) and hepatitis B (HBV) confection, drug use, infectious diseases, and demographic characteristics.
Materials and methods. Protein S and C levels in 100 PLHIV were measured. Coagulation tests, CD4 count, HIV viral load, biochemical and hematological factors, and infectious tests were measured in these cases to assess any possible correlation between these factors and the patients’ proteins S and C levels.
Results. Protein S, and C deficiency among PLHIV 8% and 10%, respectively. Red blood cell, hemoglobin, hematocrit, fasting blood sugar, and albumin were directly related to protein S, and the patients with positive VDRL significantly had a lower level of protein S. The patients receiving anti-retroviral therapy and those with positive VDRL had a higher level of protein C. CD4 count, prothrombin time, and cholesterol had also a direct correlation with protein C level.
Conclusion. According to our results and the reduction of protein S, protein C, and the other factors affecting the lifestyle of PLHIV, there is an urge to pay special attention to thromboembolic disease. Moreover, there is a more possibility of hemostatic imbalances and coagulation disorders in them.
Full Text
Introduction
Protein C and protein S, produced in the liver, are glycoproteins that rely on Vitamin K to maintain normal hemostasis and play a crucial role in the body’s anticoagulant system. Their deficiency leads to uncontrolled thrombin generation and thromboembolism.
Protein S (PS) was discovered in 1977 and functions as a multifunctional protein in blood coagulation, inflammation, and cellular processes. It inhibits procoagulants and acts as a cofactor for anticoagulants. PS also interacts with C4b binding protein to reduce inflammation. Protein C, which is also referred to as autoprothrombin IIA, is a type of zymogen that functions as an inactive enzyme. In its activated state, it plays a crucial role in regulating anticoagulation, inflammation, and cell death, as well as maintaining the permeability of blood vessel walls in both humans and other animals. The primary mechanism by which activated protein C (APC) accomplishes these functions is through the proteolytic inactivation of proteins Factor Va and Factor VIIIa [31].
The lentivirus human immunodeficiency virus (HIV) causes AIDS (acquired immunodeficiency syndrome) by affecting numerous cells in the body and escaping the host immune system. AIDS is a life-threatening issue with a high morbidity and mortality rate, so it has attracted tremendous attention worldwide. In 2012, approximately 34 million people were infected with HIV worldwide [6, 9, 10, 19]. Furthermore,37.9 million (38.4 to 43.8 million) people were living with HIV at the end of 2021, and WHO reported an estimated 53,000 cases of infection in Iran, with a range of 38 000 to 140 000 [11, 13]. HIV infection is primarily transmitted through blood and genital fluids. Then it enters the cell by interacting with CD4 and some other cellular receptors, and then the intracellular mechanisms determine if the infection is going to be latent or productive. The landscape of HIV infection has completely changed through antiretroviral therapy. The use of multiple drugs that act on different viral targets is known as highly active antiretroviral therapy (HAART). Such therapies mostly act by controlling viral replication of the virus, restoration of the immune system damage, and attenuating the complications associated with immunodeficiency. As a consequence of taking medication, life expectancy has increased in infected cases, and AIDS-related illnesses are no longer the primary threat. Nevertheless, the emergence of a new set of implications leads to several chronic conditions that may last for several decades [7, 21, 29]. Among these are chronic complications and hypercoagulable state resulting in thrombosis, which is a serious clinical issue in HIV-infected patients. A growing body of evidence has proved the association between HIV infection and prothrombic conditions. According to epidemiological studies, the incidence of thrombosis in PLHIV was estimated to be 2.6 people per year, and VTE occurrence among them ranges from 0.19% to 7.63% per year [28]. The prevention and treatment of venous thromboembolism (VTE) are gaining attention because of an increase in frequency and cost. Furthermore, VTE is a potentially preventable disease that is of most importance to identifying individuals in high-risk populations who may benefit from primary thromboprophylaxis [5].
Thromboembolism in HIV-infected patients: Hypercoagulable state and VTE are multifactorial, and the type and number of risk factors involved determine the severity of the condition. Several specific risk factors are thought to be associated with VTE in HIV-infected patients. Protein S deficiency is the most prevalent coagulation abnormality in HIV-infected cases and its prevalence is reported to range from 27% to 76%. Protein S deficiency in HIV cases is a multifactorial state and can be caused as a result of decreased synthesis by the endothelial cells, hepatocytes, megakaryocytes, and the antibodies against protein S. Protein C Deficiency prevalence among HIV cases also ranges from 0 to 14% and can be mostly caused as a result of altered synthesis, altered metabolism, and low-grade disseminated intravascular coagulation (DIC). Antiphospholipid and lupus anticoagulant antibodies, antithrombin deficiency, and mild to moderate Hyperhomocysteinemia are among other important factors of hypercoagulable state in HIV-infected cases [2, 5, 24, 27].
Materials and methods
Study subjects and samples. This was a descriptive-analytical cross-sectional study conducted from 2020 to 2021. 100 patients were randomly selected among those who were admitted to the center. Demographic and clinical data, including age, height, marital status, number of children, job, education, the history of smoking, alcohol consumption, drug users, receiving blood, taking medications, taking immunosuppressive drugs, HAART treatment, stage of the disease, hepatitis B and C, HBV vaccination, and the history of any malignancy and opportunistic infection, were gathered using a questionnaire. The family history of thrombosis was also collected.
Sample collection. 10 ml of venous blood was drawn from each of the participants by venipuncture; 3 ml into a K3-EDTA Vacutainer tube,3 ml in citrated (to separate plasma), and 4 ml in a coagulated tube to separate the serum. The tubes were allowed to clot, and serum was obtained by centrifuging it at 3000 revolutions per minute (rpm).
CD4 count and viral load measurement. Patients were identified based on an enzyme-linked immunosorbent assay (ELISA). First, an ELISA was conducted for diagnosis, and confirmation was obtained by western blotting and PCR methods. CD4 analysis was also performed using standard flow cytometry techniques (PARTEC, Germany). HIV viral load was also quantified in all 100 cases by real-time PCR.
Measurement of proteins C and S concentrations and biomarkers. The laboratory tests, including FBS, Bun, creatinine, CBC, LFT, PT, PTT, HCV Ab, HbsAg, Toxoplasmosis infection, PPD, cholesterol, HDL, and LDL, were performed on PLHIV. Proteins S and C activities, as the main parameters of this study, were quantitatively measured using the ACL TOP system. Proteins C and S activities as an expected value in the HemosIL kit were reported 70% to 140% and 60% to 150%, respectively.
Statistical analysis. Data analysis was performed using descriptive statistics. Quantitative independent variables were presented as mean±standard deviation, and qualitative variables were described in terms of number and percentage. To determine the factors associated with proteins S and C, linear regression analysis was used. First, simple linear regression analysis was used to determine the factors associated with proteins S and C, and then the variables which were p ≤ 0.2 in the simple analysis were entered into the multiple linear regression model. Data were analyzed by SPSS software version 22 and Graph Pad Prism software version 8. Also, p-value < 0.05 was considered a statistically significant level.
Ethical consideration. The study was also reviewed and approved with the approval of the ethical number IR.SUMS.Rec.1394.S538.
Results
A total of 100 PLHIV were enrolled, whose average age was 38.33±11.16 years and the gender of 59.0% male. 49.0% of patients were smokers,47.0% were drug users, and 47.0% were injecting drug users. The mean CD4 cell count was 418.51±261.21 cells/mL, and 68.0% of patients had CD4 lower than 500 cells/mL. Also,86.0% of patients were on HAART treatment, and 92% of patients had protein S over 60, and 90 patients had protein C over 70. Demographic characteristics and frequency of clinical variables of PLHIV by the category of proteins S (over 60 and under 60) and C (over 70 and under 70) are indicated in Table 1.
Table 1. Characteristics of HIV patients by protein S and C status
Variables | Total (n = 100) | Protein S | Protein C | ||
Higher than 60 (n = 92) | Under than 60 (n = 8) | Higher 70 (n = 90) | Under than 70 (n = 10) | ||
Age | 38.33±11.16 | 38.88 ±10.99 | 34.25 ±13.00 | 38.43 ±10.80 | 39.20 ±14.73 |
| Sex | |||||
Male | 59 (59.0) | 53 (57.6) | 6 (75.0) | 53 (58.9) | 4 (40.0) |
Female | 41 (41.0) | 39 (42.4) | 2 (25.0) | 37 (41.1) | 6 (60.0) |
| Education | |||||
Primary or illiterate | 22 (22.0) | 20 (21.7) | 2 (25.0) | 21 (23.3) | 1 (10.0) |
Guidance school | 45 (45.0) | 42 (45.7) | 3 (37.5) | 39 (43.3) | 6 (60.0) |
High school | 18 (18.0) | 16 (17.4) | 2 (25.0) | 16 (17.8) | 2 (20.0) |
– diploma | 9 (9.0) | 8 (8.7) | 1 (12.5) | 8 (8.9) | 1 (10.0) |
– academic | 6 (6.0) | 6 (6.5) | – | 6 (6.7) | – |
BMI | 22.88±6.33 | 22.76±6.36 | 24.17±6.19 | 22.97±6.44 | 22.01±5.38 |
| Marital Status | |||||
Never Married | 26 (26.0) | 24 (26.1) | 2 (25.0) | 26 (28.9) | 7 (70.0) |
Married | 51 (51.0) | 47 (51.1) | 4 (50.0) | 44 (48.9) | – |
Widowed/Divorced | 23 (23.0) | 21 (22.8) | 2 (25.0) | 20 (22.2) | 3 (30.0) |
| Smoking | |||||
Yes | 49 (49.0) | 43 (43.5) | 6 (75.0) | 41 (45.6) | 8 (80.0) |
No | 51 (51.0) | 49 (56.5) | 2 (25.0) | 49 (54.4) | 2 (20.0) |
| Drug abuser | |||||
Yes | 47 (47.0) | 41 (44.6) | 6 (75.0) | 39 (43.3) | 8 (80.0) |
No | 53 (53.0) | 51 (55.4) | 2 (25.0) | 51 (56.7) | 2 (20.0) |
| Type of drug (n=47) | |||||
traditional drugs | 26 (55.3) | 23 (56.1) | 3 (50.0) | 22 (56.4) | 4 (50.0) |
industrial and traditional drugs | 21 (44.7) | 18 (43.9) | 3 (50.0) | 17 (43.6) | 4 (50.0) |
| Iv drug user | |||||
Yes | 47 (47.0) | 41 (44.6) | 6 (75.0) | 39 (43.3) | 8 (80.0) |
No | 53 (53.0) | 51 (55.4) | 2 (25.0) | 51 (56.7) | 2 (20.0) |
| Blood transfusion | |||||
Yes | 2 (2.0) | 2 (2.2) | – | 2 (2.2) | – |
No | 98 (98.0) | 90 (97.8) | 8 (100.0) | 88 (97.8) | 10 (100.0) |
| HAART treatment | |||||
Yes | 86 (86.0) | 79 (85.9) | 7 (87.5) | 79 (87.8) | 7 (70.0) |
No | 14 (14.0) | 13 (14.1) | 1 (12.5) | 11 (12.2) | 3 (30.0) |
| AIDS stage | |||||
1 | 2 (2.0) | 2 (2.2) | – | 2 (2.2) | – |
2 | 6 (6.0) | 6 (6.5) | – | 5 (5.6) | 1 (10.0) |
3 | 2 (2.0) | 1 (1.1) | 1 (12.5) | 1 (1.1) | 1 (10.0) |
4 | 90 (90.0) | 83 (90.2) | 7 (87.5) | 82 (91.1) | 8 (80.0) |
| HCV | |||||
Yes | 43 (43.0) | 39 (42.4) | 4 (50.0) | 36 (40.0) | 7 (70.0) |
No | 57 (57.0) | 53 (57.6) | 4 (50.0) | 54 (60.0) | 3 (30.0) |
| HCV treatment (n=43) | |||||
Yes | 13 (30.2) | 12 (30.8) | 1 (25.0) | 13 (36.1) | – |
No | 30 (69.8) | 27 (69.2) | 3 (75.0) | 23 (63.9) | 7 (100.0) |
| HBV | |||||
Yes | 1 (1.0) | 1 (1.1) | – | – | – |
No | 99 (99.0) | 91 (98.9) | 8 (100.0) | 90 (100.0) | 10 (100.0) |
| HBV Vaccine | |||||
Yes | 94 (94.0) | 86 (93.5) | 8 (100.0) | 85 (94.4) | 9 (90.0) |
No | 6 (6.0) | 6 (6.5) | – | 5 (5.6) | 1 (10.0) |
| Infectious disease | |||||
Yes | 1 (1.0) | 1 (1.1) | – | – | – |
No | 99 (99.0) | 91 (98.9) | 8 (100.0) | 90 (100.0) | 10 (100.0) |
| Non-Infectious disease | |||||
Yes | 3 (3.0) | 3 (3.3) | – | 3 (3.3) | – |
No | 97 (97.0) | 89 (96.7) | 8 (100.0) | 87 (96.7) | 10 (100.0) |
| Opportunist | |||||
Yes | – | – | – | – | – |
No | 100 (100.0) | 92 (100.0) | 8 (100.0) | 90 (100.0) | 10 (100.0) |
WBC (× 1000/ml) | 5.69±1.88 | 5.68±1.92 | 5.71±1.47 | 5.65±1.94 | 6.04±1.29 |
Lymph (%) | 2.09±0.85 | 2.06±0.81 | 2.41±1.25 | 2.09±0.87 | 0.08±0.64 |
CD4 (cells/ml) | 418.51±261.21 | 416.27±257.76 | 444.5±316.8 | 423.3±267.12 | 375.4±206.3 |
PT (s) | 12.92±0.75 | 12.9±0.74 | 12.76±0.87 | 12.92±0.74 | 12.65±0.85 |
PTT (s) | 30.86±3.34 | 30.7±3.32 | 31.8±3.59 | 30.7±3.29 | 31.5±3.79 |
RBC (× 1 000 000/ml) | 8.40±0.82 | 4.43±0.87 | 4.13±0.44 | 4.38±0.82 | 4.58±0.81 |
HB (g/dl) | 13.91±4.86 | 13.85±1.87 | 14.63±1.64 | 13.9±1.92 | 13.93±1.16 |
HCT (%) | 42.03±4.83 | 42.3±1.93 | 42.2±3.24 | 41.99±4.95 | 42.3±3.68 |
FBS (mg/dl) | 95.78±21.91 | 95.8±22.1 | 95.1±20.4 | 95.5±22.7 | 98.0±13.14 |
BUN (mg/dl) | 14.25±15.73 | 14.2±16.3 | 14.45±6.32 | 14.29±16.53 | 13.86±4.3 |
Crea (mg/dl) | 0.96±0.18 | 0.95±0.17 | 1.05±0.3 | 0.95±0.17 | 1.03±0.29 |
AST (U/L) | 33.82±25.33 | 33.9±26.2 | 32.7±9.42 | 33.3±25.8 | 38.1±20.7 |
ALT (U/L) | 38.63±26.35 | 37.6±25.4 | 49.8±35.1 | 37.9±25.4 | 44.5±34.6 |
ALK (U/L) | 270.14±149.84 | 267.6±141.2 | 299.2±238.6 | 262.3±149.9 | 340.8±136.1 |
ALB (g/dl) | 4.27±0.45 | 4.27±0.45 | 4.22±0.45 | 4.27±0.45 | 4.23±0.44 |
T.P (g/dl) | 7.62±0.63 | 7.65±0.63 | 7.32±0.53 | 7.61±0.61 | 7.71±0.77 |
TG (mg/dl) | 135.45±66.02 | 134.9±65.8 | 141.1±79.14 | 135.7±68.7 | 132.7±43.8 |
CHO (mg/dl) | 167.22±58.51 | 169.1±60.1 | 145.8±28.74 | 166.1±57.4 | 178.0±69.9 |
U/RBC | 1.13±0.56 | 1.14±0.58 | 1.14±0.58 | 1.13±0.58 | 1.1±0.31 |
U/WBC | 1.09±0.47 | 1.08±0.48 | 1.12±0.35 | 1.1±0.49 | 1.0±0.0 |
HIV Viral load (copy/ml) | 99 165.07±325 479.11 | 85 758.0±273 238.0 | 253 444.6±705 792.0 | 107 329.3±341 969.0 | 25 687.0±46 925.0 |
| VDRL | |||||
Yes | 1 (1.0) | 1 (1.1) | – | 1 (1.1) | – |
No | 99 (99.0) | 91 (98.9) | 8 (100.0) | 89 (98.9) | 10 (100.0) |
| TOXO (Iu/ml) | |||||
Yes | 1 (1.0) | 1 (1.1) | – | 1 (1.1) | – |
No | 99 (99.0) | 91 (98.9) | 8 (100.0) | 89 (98.9) | 10 (100.0) |
| PPD | |||||
Positive | – | – | – | – | – |
Negative | 100 (100.0) | 92 (100.0) | 8 (100.0) | 90 (100.0) | 10 (100.0) |
HIV time infectious (years) | 11.44±21.60 | 11.07±22.5 | 8.37±2.97 | 9.82±13.87 | 25.9±54.20 |
PLT (× 1000/ml) | 236.87±89.30 | 236.7±91.5 | 238.6±63.1 | 236.01±90.7 | 244.6±79.4 |
HDL (mg/dl) | 36.47±6.31 | 36.2±6.41 | 38.5±4.78 | 36.4±5.92 | 36.9±9.5 |
LDL (mg/dl) | 82.72±20.42 | 89.9±20.7 | 69.25±9.28 | 83.11±19.04 | 79.3±29.15 |
Notes. Data reported as N (%), mean ±SD. BMI: Body Mass Index; HAART: high active antiretroviral therapy; HCV: Hepatitis C Virus; AIDS: Acquired Immunodeficiency Syndrome; HBV: Hepatitis B Virus; WBC: White Blood Cell × 1000/ml; PT: Prothrombin time; PTT: Partial Thromboplastin time; RBC: Red Blood Cell; HB: Hemoglobin; HCT: Hematocrit; FBS: Fasting Blood Sugar; BUN: Blood Urea Nitrogen; Crea: Creatinine; AST: Aspartate Trans Aminase; ALT: Alanine Trans Aminase; ALK: Alkaline phosphatase; ALB: Albumin; T.P: Total Protein; TG: Triglyceride; Cho: Cholesterol; U/RBC: Urine RBC; U/WBC: Urine WBC; TOXO: Toxoplasma gundi Ig G; PPD: Protein Purified derivative; PLT: Platelets count; HDL: High-density Lipoprotein; LDL: low-density Lipoprotein; Iv: Intravenous.
As shown in Table 2, independent variables, including RBC (p = 0.019), HB (p = 0.040), HCT (p = 0.009), FBS (p = 0.004), and ALB (p = 0.023), were directly related to protein S, which is confirmed by the univariate analysis. Also, the patient with positive VDRL (p = 0.004) significantly had a lower level of protein S. There was no significant association of protein S with smoking, taking drugs, and drug injection status.
Table 2. Factors related to protein S in patients with HIV: univariate analysis
Variables | B | SE | P-value |
Age | 0.11 | 0.28 | 0.706 |
Sex | |||
Female | Ref | – | – |
Male | 6.21 | 6.35 | 0.330 |
Smoking | |||
No | Ref | – | – |
Yes | –0.06 | 0.49 | 0.897 |
Drug abuser | |||
No | Ref | – | – |
Yes | –5.35 | 6.34 | 0.401 |
Iv drug user | |||
No | Ref | – | – |
Yes | –4.52 | 6.33 | 0.478 |
Blood transfusion | |||
No | Ref | – | – |
Yes | –2.93 | 22.12 | 0.895 |
HAART treatment | |||
No | Ref | – | – |
Yes | 0.67 | 8.95 | 0.940 |
AIDS stage | 2.87 | 4.89 | 0.559 |
HCV | |||
No | Ref | – | – |
Yes | 5.95 | 6.38 | 0.353 |
CD4 (cells/ml) | 0.01 | 0.01 | 0.531 |
HIV Viral load (copy/ml) | –5.28 | 0.01 | 0.581 |
VDRL | |||
No | Ref | – | – |
Yes | 88.62 | 29.58 | 0.004* |
RBC (× 1000000/ml) | 9.05 | 3.78 | 0.019* |
HB (g/dl) | 3.57 | 1.71 | 0.040* |
HCT (%) | 1.71 | 0.64 | 0.009* |
FBS (mg/dl) | 0.39 | 0.13 | 0.004* |
Creatinine (mg/dl) | –28.35 | 16.54 | 0.090 |
ALB (g/dl) | 15.53 | 6.74 | 0.023* |
Note. *Significant at 0.05 level.
Figure 1. Protein S in subgroup of smoking, taking drugs and drug injection status
In a simple analysis, drug users (drug user vs no drug user; p = 0.001) and injecting drug users (injecting drug users vs no injecting drug users; p = 0.001) significantly had a lower level of protein C. In the patients on HAART treatment (p = 0.039) and those with positive VDRL (p = 0.020), protein C was significantly higher. CD4, PT, and cholesterol were directly related to protein C. Patients with positive HCV significantly had a lower level of protein C. Furthermore, SGOT and HCV Ag were indirectly related to protein C (Table 3).
Table 3. Factors related to protein C in patients with HIV: a multivariate analysis
Variables | B | SE | P-value |
Age | –0.03 | 0.28 | 0.889 |
| Sex | |||
Female | Ref | – | – |
Male | –12.11 | 6.41 | 0.062 |
| Smoking | |||
No | Ref | – | – |
Yes | –20.39 | 6.09 | 0.001* |
| Drug abuser | |||
No | Ref | – | – |
Yes | –20.39 | 6.10 | 0.001* |
| Iv drug user | |||
No | Ref | – | – |
Yes | –21.26 | 6.07 | 0.001* |
| Blood transfusion | |||
No | Ref | – | – |
Yes | –18.78 | 22.78 | 0.41 |
| HAART treatment | |||
No | Ref | – | – |
Yes | 18.91 | 9.03 | 0.039* |
AIDS stage | 6.32 | 5.02 | 0.211 |
| HCV | |||
No | Ref | – | – |
Yes | –17.26 | 6.26 | 0.007* |
CD4 (cells/µl) | 0.03 | 0.01 | 0.017* |
HIV Viral load (copy/ml) | –9.97 | 0.01 | 0.313 |
| VDRL | |||
No | Ref | – | – |
Yes | 74.44 | 31.43 | 0.020* |
PT (s) | 9.57 | 4.18 | 0.024* |
Creatinine (mg/dl) | –30.29 | 16.68 | 0.073 |
SGOT (U/L) | –0.61 | 0.18 | 0.001* |
SGPT (U/L) | –0.20 | 0.12 | 0.111 |
ALK (U/L) | –0.03 | 0.02 | 0.141 |
ALB (g/dl) | 13.58 | 7.02 | 0.056 |
TG (mg/dl) | 0.08 | 0.05 | 0.082 |
Cholesterol (mg/dl) | 0.14 | 0.05 | 0.011* |
HCV Ag | –17.48 | 6.36 | 0.007* |
Cervical | 22.06 | 8.81 | 0.014* |
Note. *Significant at 0.05 level.
Figure 2. Protein C in subgroup of smoking, taking drugs and drug injection status
The level of protein S in the subgroups of smoking, taking drugs, and drug injection status has been shown in Figure 1, which shows that there had been no significant difference in the amount of protein S between the subgroups. Moreover, Figure 2 displays the level of protein C in the subgroups of smoking, taking drugs, and drug injection, and there was a significant difference in the amount of protein C between the subgroups.
Discussion
The human immunodeficiency virus (HIV) may lead to different hematological manifestations. Thrombotic events seem to be more common among HIV-infected cases in comparison with the general population. Several studies have been performed to assess the inflammatory/hypercoagulable state in HIV-infected cases [12], and there are many reasons which answer why it is clinically very crucial to shed light on the mechanisms through which hypercoagulable conditions are developed in HIV cases. The most important reason to mention is that hypercoagulable complications predispose to the development of deep venous thrombosis, pulmonary embolism, and arterial thrombosis, which are potentially life-threatening [15, 23, 25]. For example, the risk of venous thrombotic events has been reported to be 6.5 to 10 times more prevalent in HIV cases than in normal populations [1].
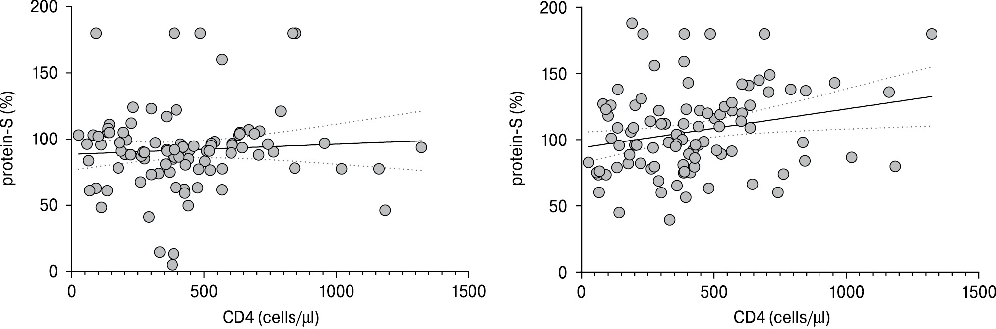
The results of this study revealed that 8% of our HIV cases had protein S deficiency (less than 60), and 10% of them had a less than 70 protein C level. Proteins S and C are key factors in determining the coagulative status of PLHIV, and a growing body of literature has demonstrated their deficiency in PLHIV. Therefore, the following study aimed to assess biochemical, hematological, infectious, and demographic factors of PLHIV regarding their proteins S and C status (protein S sufficiency vs protein S deficiency, and protein C sufficiency vs protein C deficiency). The correlation between proteins S and C levels was also analyzed in drug users vs non-drug users, smokers vs non-smokers, and those cases receiving HAART therapy. According to our results, RBC, Hb, HCT, FBS, and ALB were directly related to protein S level, and the patients with positive VDRL significantly had a lower level of protein S. In addition, it is shown that drug users and injecting drug users significantly had a lower level of protein C. Data analysis also revealed that patients receiving HAART therapy and patient with positive VDRL had a higher level of protein C. CD4 count, PT, and cholesterol had a direct correlation with protein C (Fig. 3). Patients with positive HCV significantly had a lower level of protein C. Furthermore, SGOT and HCV Ag were indirectly related to protein C.
Figure 3. Correlation between CD4 and protein S and protein C
Increased platelet activation, elevated homocysteinemia, elevated plasma factor VII activity, lupus anticoagulant, activated protein C resistance, protein C deficiency, and acquired protein S deficiency are the main reported causes of thrombophilia in HIV-infected cases. In a study by Erbe et al. in 2003, the incidences of proteins S and C deficiencies were 67% and 25% in acutely ill patients, respectively [8]. A study of protein S deficiency among 25 randomly-selected HIV-seropositive men demonstrated protein S deficiency in 19 subjects (76%), which was a statistically significant result compared to healthy male controls [26]. In a study conducted by Bibas et al. in 2011, protein S deficiency was reported to be prevalent in 27% to 76% of HIV cases [5]. In 2018, Khare et al. studied the coagulation abnormalities in HIV-infected patients by detecting certain prothrombotic factors in 30 HIV-infected subjects, and the results revealed that levels of hemoglobin, CD4 counts, platelet counts, mean platelet volume, and proteins C and S activities were significantly lower in HIV-seropositive patients compared to the healthy individuals [12].
Hematologic disorders are known as the most common observed complications of PLHIV. These hematologic abnormalities are also more pronounced during the late stages of the disease. Therefore, they imply on progressive nature of HIV. Anemia is a common finding and has been reported in 63% to 95% of patients. Its incidence increases with disease development. According to Bhardwaj et al., Hemoglobin, RBC, neutrophil, and platelet count are lower in HIV cases, and these abnormalities are more severe in those cases with a CD4 count of fewer than 200 cells/ul [4, 30]. In the following study, the results implicated the correlation of Hb, HCT, and RBC count with protein S level.
Liver dysfunction is extensively observed in PLHIV, and LFT abnormalities have been reported in around 50% of them. Elevated liver enzymes in HIV can be secondary to co-infection with hepatitis viruses, lipid-lowering drugs, alcoholism, and direct inflammation in hepatocytes [20]. Aspartate aminotransferase (SGOT) and alanine aminotransferase (SGPT) are among the first indicators of hepatocellular injury. In 2009, a study conducted by Mata Marin et al. revealed a direct correlation between HIV viral load and alanine aminotransferase (SGPT) [16]. The findings indicate an indirect correlation between protein C and SGOT enzyme. Hypoalbuminemia has also been previously reported in 5.9% to 39.5% of HIV cases, and it can be linked to factors, including nutrition, inflammatory response, and renal and hepatic function [14]. Serum albumin level is shown to be elevated after antiviral therapies. The results also revealed a correlation between albumin level and protein S. Fasting blood sugar also is indicated to be related to protein S status.
Serum lipid profile alterations have been reported in HIV cases in several studies. Mondy K. et al. observed the decreased dense lipoprotein (HDL) and increased triglyceride (TG) in their study group in the US. Some reports also imply elevated total cholesterol (TC), low-density lipoprotein (LDL), and TG in Uganda [17]. In a study conducted by Adewole et al., elevated LDL and reduced levels of HDL and TC were observed compared with HIV negative controls. The findings revealed a correlation between protein C and TC level. HDL and LDL were highly associated with the atherothrombotic processes. Purified HDL contributes to factor Va inactivation by activated protein C (APC) [3]. Proteins C and S are also involved in thrombin downregulation. In vivo studies have demonstrated that HDL enhances the anticoagulant protein C pathway.
HCV infection stands for nearly 75% of liver-related death in HIV cases, and around 25% of HIV cases in Europe and the USA suffer from HCV co-infection. The evaluation of the fact that HCV infection affects HIV progression is still a matter of debate. HCV infection is reported in approximately 15% to 30% of people with HIV, and HIV-HCV co-infection is prevalent in 90% of the cases whose HIV is caused due to drug injection. HCV-HIV co-infection accelerates life damage which consequently leads to cirrhosis [18, 22]. According to the results, PLHIV with cirrhosis significantly had a lower protein C level. This may be caused secondarily to reduce the synthesis of this protein in the hepatocytes.
According to our results, protein C is substantially lower in drug users. Several studies have demonstrated that the drugs such as methamphetamine (METH), cocaine, and alcohol are involved in triggering inflammation and are directly related to the concentration of acute-phase proteins like CRP. Although protein C is characterized as an acute-phase protein, the results imply the reduced concentration of this factor in HIV cases who are drug users.
The viral load was 25 687 copy/ml and 107 329 copy/ml in protein C deficient and protein C sufficient cases, respectively. The result was statistically significant (p-value: 0.02). This finding is kind of new and it is recommended to evaluate the correlation between protein C and viral load in more HIV cases and larger sample sizes.
Conclusion
HIV-infected adults are more likely to develop hemostatic imbalance and coagulation abnormalities. According to the findings, there is an urge to pay special attention to thromboembolic diseases. It is important to do a differential diagnosis when a patient who is HIV-positive doesn’t show any signs of thromboembolic disease. Further research with a higher sample size is required to confirm our results. Additionally, assessment of coagulation disorders in HIV-infected cases along with other markers and risk factors may be helpful in disease monitoring and management.
Acknowledgment
First, we are thankful to all PLHIV for their kind collaboration. We would appreciate Deputy for Research of Shiraz University of Medical Sciences for its all support. Also, we would extend our appreciation to all staff of the Voluntary, Counseling, and Testing Center (VCT) of Fars province for their cooperation in this study.
Conflict of interest
The authors declare that there is no conflict of interests regarding the publication of this paper.
About the authors
Esmaeil Rezaei
Tarbiat Modares University
Author for correspondence.
Email: esmaeilrezaei264@yahoo.com
PhD, Head of HIV research center laboratory Department of Biochemistry, Faculty of Biological Sciences
Iran, Islamic Republic of, TehranElham Jamali
Peyvand Pathobiology and Genetic Laboratory
Email: Ejamali87@yahoo.com
master of science in immunology
Iran, Islamic Republic of, ShirazZohre Foroozanfar
Shiraz University of Medical Sciences
Email: foroozanfar.zohre@gmail.com
PhD, a researcher in HIV, Shiraz HIV/AIDS Research center, Institute of Health
Iran, Islamic Republic of, ShirazFarangis Ataei
Tarbiat Modares University
Email: ataei_f@modares.ac.ir
Associated professors of Biochemistry, Department of Biochemistry, Faculty of Biological Sciences,
Iran, Islamic Republic of, TehranShohre Beheshti
Shiraz University of Medical Sciences
Email: beheshtishohreh@yahoo.com
Associated professors of infectious disease, Shiraz HIV/AIDS Research center, Institute of Health
Iran, Islamic Republic of, ShirazHassan Joulaei
Shiraz University of Medical Sciences
Email: joulaei_h@yahoo.com
PhD, head of HIV research center, associated professors of infectious disease, Shiraz HIV/AIDS Research center, Institute of Health
Iran, Islamic Republic of, Shiraz
References
- Abdollahi A., Shoar T.S. Hyperhomocysteinemia in HIV-infected individuals: correlation of a frequent prothrombotic factor with CD4+. Cell Count. Oman Med. J.,2012, vol. 27, no. 3, pp. 224–227. doi: 10.5001/omj.2012.50
- Aboulafia D.M. An update on HIV-associated venous thromboembolism in the era of highly active antiretroviral therapy. The Journal of Coagulation Disorders,2010, vol. 2, no. 2: p. 1–8.
- Adewole O.O., Eze S., Betiku Ye, Anteyi E., Wada I., Ajuwon Z., Erhabor G. Lipid profile in HIV/AIDS patients in Nigeria. African Health Sciences,2010, vol. 10, no. 2, pp. 144–149.
- Bhardwaj S., Almaeen A., Ahmed Wani F., Thirunavukkarasu A. Hematologic derangements in HIV/AIDS patients and their relationship with the CD4 counts: a cross-sectional study. Int. J. Clin. Exp. Pathol.,2020, vol. 13, no. 4, pp. 756–763.
- Bibas M., Biava G., Antinori A. HIV-associated venous thromboembolism. Mediterr. J. Hematol. Infect. Dis.,2011, vol. 3, no. 1: e2011030. doi: 10.4084/MJHID.2011.030
- Deeks S.G., Lewin S.R., Havlir D.V. The end of AIDS: HIV infection as a chronic disease. Lancet,2013, vol. 382, no. 9903, pp. 1525–1533. doi: 10.1016/S0140-6736(13)61809-7
- Deeks S.G., Lewin S.R., Ross A.L., Ananworanich J., Benkirane M., Cannon P., Chomont N., Douek D., Lifson J.D., Lo Y.R., Kuritzkes D., Margolis D., Mellors J., Persaud D., Tucker J.D., Barre-Sinoussi F.; International AIDS Society Towards a Cure Working Group; Alter G., Auerbach J., Autran B., Barouch D.H., Behrens G., Cavazzana M., Chen Z., Cohen É.A., Corbelli G.M., Eholié S., Eyal N., Fidler S., Garcia L., Grossman C., Henderson G., Henrich T.J., Jefferys R., Kiem H.P., McCune J., Moodley K., Newman P.A., Nijhuis M., Nsubuga M.S., Ott M., Palmer S., Richman D., Saez-Cirion A., Sharp M., Siliciano J., Silvestri G., Singh J., Spire B., Taylor J., Tolstrup M., Valente S., van Lunzen J., Walensky R., Wilson I., Zack J. International AIDS Society global scientific strategy: towards an HIV cure 2016. Nat. Med.,2016, vol. 22, no. 8, pp. 839–850. doi: 10.1038/nm.4108
- Erbe M., Rickerts V., Bauersachs R.M., Lindhoff-Last E. Acquired protein C and protein S deficiency in HIV-infected patients. Clin. Appl. Thromb. Hemost.,2003, vol. 9, no. 4, pp. 325–331. doi: 10.1177/107602960300900408
- Hall H.I., An Q., Tang T., Song R., Chen M., Green T., Kang J.; Centers for Disease Control and Prevention (CDC). Prevalence of diagnosed and undiagnosed HIV Infection — United States,2008–2012. MMWR Morb. Mortal. Wkly Rep.,2015, vol. 64, no. 24, pp. 657–662.
- Ifeanyi O.E., Amilo G.I., Uzoma O.G., Nnatuanya I.N. Human Immunodeficiency Virus infection and cardiovascular disease. Int. J. Curr. Res. Med. Sci.,2017; 3(9): 9-37. doi: 10.22192/ijcrms.2017.03.09.002
- Joulaei H., Lankarani K.B., Kazerooni P.A., Marzban M. Number of HIV-infected cases in Iran: True or just an iceberg. Indian J. Sex. Transm. Dis. AIDS,2017, vol. 38, no. 2, pp. 157–162. doi: 10.4103/2589-0557.216984
- Khare S., Kushwaha R., Kumar A., Venkatesh V., Reddy H.D., Jain M., Yusuf M., Singh U.S. Prothrombotic state in HIV: a study on protein C, protein S, homocysteine and correlation with CD4 counts. Indian J. Med. Microbiol.,2018, vol. 36, no. 2, pp. 201–206. doi: 10.4103/ijmm.IJMM_15_414
- Khodayari-Zarnaq R., Mosaddeghrad A.M., Nadrian H., Kabiri N., Ravaghi H. Comprehensive analysis of the HIV/AIDS policy-making process in Iran. Health Res. Policy Syst.,2019, vol. 17, no. 1: 69. doi: 10.1186/s12961-019-0466-6
- Leal J.A., Fausto M.A., Carneiro M., Tubinambás U. Prevalence of hypoalbuminemia in outpatients with HIV/AIDS. Rev. Soc. Bras. Med. Trop.,2018, vol. 51, no. 2, pp. 203–206. doi: 10.1590/0037-8682-0093-2017
- Majluf-Cruz A., Silva-Estrada M., Sánchez-Barboza R., Montiel-Manzano G., Treviño-Pérez S., Santoscoy-Gómez M., de Chávez-Ochoa A.R., Corona-de la Peña N., Nieto-Cisneros L. Venous thrombosis among patients with AIDS. Clin. Appl. Thromb. Hemost.,2004, vol. 10, no. 1, pp. 19–25. doi: 10.1177/107602960401000104
- Mata-Marín J.A., Gaytán-Martínez J., Grados-Chavarría B.H., Fuentes-Allen J.L., Arroyo-Anduiza C.I., Alfaro-Mejía A. Correlation between HIV viral load and aminotransferases as liver damage markers in HIV infected naive patients: a concordance cross-sectional study. Virol. J.,2009, vol. 6: 181. doi: 10.1186/1743-422X-6-181
- Mondy K.E., Gottdiener J., Overton E.T., Henry K., Bush T., Conley L., Hammer J., Carpenter C.C., Kojic E., Patel P., Brooks J.T.; SUN Study Investigators. High prevalence of echocardiographic abnormalities among HIV-infected persons in the era of highly active antiretroviral therapy. Clin. Infect. Dis.,2011, vol. 52, no. 3, pp. 378–386. doi: 10.1093/cid/ciq066
- Ng K.T., Takebe Y., Chook J.B., Chow W.Z., Chan K.G., Abed Al-Darraji H.A., Kamarulzaman A., Tee K.K. Co-infections and transmission networks of HCV, HIV-1 and HPgV among people who inject drugs. Sci. Rep.,2015, vol. 5: 15198. doi: 10.1038/srep15198
- Patel P., Raizes E., Broyles L.N. Human immunodeficiency virus infection. In: Hunter’s Tropical Medicine and Emerging Infectious Diseases. 10th ed. Elsevier,2020, pp. 232–266. doi: 10.1016/b978-0-323-55512-8.00031-4
- Pathania S., Kaur N., Kumar S., Sashindran V.K., Puri P. A cross-sectional study of liver function tests in HIV-infected persons in Western India. Med. J. Armed Forces India,2017, vol. 73, no. 1, pp. 23–28. doi: 10.1016/j.mjafi.2016.12.004
- Rezaei E., Sedigh Ebrahim-Saraie H., Heidari H., Ghane P., Rezaei K., Manochehri J., Moghadami M., Afsar-Kazerooni P., Hassan Abadi A.R., Motamedifar M. Impact of vitamin supplements on HAART related hematological abnormalities in HIV-infected patients. Med. J. Islam. Repub. Iran,2016, vol. 30: 350.
- Salmon-Ceron D., Nahon P., Layese R., Bourcier V., Sogni P., Bani-Sadr F., Audureau E., Merchadou L., Dabis F., Wittkop L., Roudot-Thoraval F.; ANRS CO12 CirVir and ANRS CO13 HEPAVIH study groups. Human Immunodeficiency Virus/Hepatitis C Virus (HCV) Co-infected patients with cirrhosis are no longer at higher risk for hepatocellular carcinoma or end-stage liver disease as compared to HCV mono-infected patients. Hepatology,2019, vol. 70, no. 3, pp. 939–954. doi: 10.1002/hep.30400
- Shen Y.M., Frenkel E.P. Thrombosis and a hypercoagulable state in HIV-infected patients. Clin. Appl. Thromb. Hemost.,2004, vol. 10, no. 3, pp. 277–280. doi: 10.1177/107602960401000311
- Singh A.K., Premnath D., Yadav K.S. Human immunodeficiency virus-associated deep vein thrombosis. Med. J. DY Patil. Univ.,2016, vol. 9, pp. 98–100. doi: 10.4103/0975-2870.167967
- Soentjens P., Ostyn B., Van Outryve S., Ysebaert D., Vekemans M., Colebunders R. Portal vein thrombosis in a patient with HIV treated with a protease inhibitor-containing regimen. Acta Clin. Belg.,2006, vol. 61, no. 1, pp. 24–29. doi: 10.1179/acb.2006.005
- Stahl C.P., Wideman C.S., Spira T.J., Haff E.C., Hixon G.J., Evatt B.L. Protein S deficiency in men with long-term human immunodeficiency virus infection. Blood,1993, vol. 81, no. 7, pp. 1801–1807. doi: 10.1182/blood.v81.7.1801.1801
- Sule A.A., Pandit N., Handa P., Chadachan V., Tan E., Sum F.N., Joyce E.H., Chin T.J. Risk of venous thromboembolism in patients infected with HIV: a cohort study. Int. J. Angiol.,2013, vol. 22, no. 2, pp. 95–100. doi: 10.1055/s-0033-1333866
- Sullivan P.S., Dworkin M.S., Jones J.L., Hooper W.C. Epidemiology of thrombosis in HIV-infected individuals. The adult/adolescent spectrum of HIV disease project. AIDS,2000, vol. 14, no. 3, pp. 321–324. doi: 10.1097/00002030-200002180-00015
- Vanhamel J., Bruggemans A., Debyser Z. Establishment of latent HIV-1 reservoirs: what do we really know? J. Virus Erad.,2019, vol. 5, no. 1, pp. 3–9. doi: 10.1016/s2055-6640(20)30275-2
- Volberding P.A., Baker K.R., Levine A.M. Human immunodeficiency virus hematology. Hematology Am. Soc. Hematol. Educ. Program,2003, pp. 294–313. doi: 10.1182/asheducation-2003.1.294
- Wypasek E., Undas A. Protein C and protein S deficiency — practical diagnostic issues. Adv. Clin. Exp. Med.,2013, vol. 22, no. 4, pp. 459–467.
Supplementary files






