Pharmaceutical activity of a synthetic heterocyclic (C15H12N5OCl) compound on Entamoeba histolytica and Giardia lamblia
- Authors: Obaid H.M.1, Sale S.S.2, Boundenga L.3,4
-
Affiliations:
- Northern Technical University, College of Health and Medical Techniques
- Kirkuk University, College of Science
- International Centre for Medical Research of Franceville
- Durham University
- Issue: Vol 13, No 1 (2023)
- Pages: 119-126
- Section: ORIGINAL ARTICLES
- Submitted: 06.09.2022
- Accepted: 25.12.2022
- Published: 01.04.2023
- URL: https://iimmun.ru/iimm/article/view/2024
- DOI: https://doi.org/10.15789/2220-7619-PAO-2024
- ID: 2024
Cite item
Full Text
Abstract
Background. Intestinal parasites are among the most important infectious agents with an impact on human health. Indeed, in the lack of an available treatment option, these parasites could constitute a real health problem in the population. In the present study, we investigated for the first time the effect of a novel synthetic heterocyclic ((C15H12N5OCL)2-(benzo(d)(1,2,3)triazol-1-yl)-N-benzylideneacetohydrazine) compound on two intestinal parasites (Entamoeba histolytica and Giardia lamblia). Methods. The parasite isolates tested were collected from outpatients at the General Pediatric Hospital in Kirkuk, Iraq, between September 2019 and January 2020. Thus, we studied the in vivo and in vitro pharmaceutical activity of the ingredient on both parasites. The toxicological effects of the substance on some blood parameters and liver and kidney function tests were also studied. Results. After five days of treatment, the drug’s in vivo action on G. lamblia resulted in an inhibition rate of 88.2% at a dose of 1 mg/kg. On the other hand, we observed that the influence of this synthetic substance on cultured E. histolytica was very close to the metronidazole effect. The maximum result was at a concentration of 1 g/ml and was obtained after 72 hours of incubation with an inhibition rate of 89.4%. The substance did not affect the blood parameters or the studied liver and kidney functions. Conclusion. It can be concluded that this substance is highly effective against both E. histolytica and G. lamblia, and that it has no toxic effects on the studied parameters. Therefore, it could be a promising pharmacophore for intestinal protozoan parasites including E. histolytica and G. lamblia and an alternative or competitor to the current medications available.
Full Text
Introduction
Human gastrointestinal parasites are among the leading causes of disease worldwide, especially in undeveloped countries, where people still suffer from high rates of parasitic infections. Intestinal parasites are ingested with contaminated food and water and pass through the entire gastrointestinal tract. These gastrointestinal parasites constitute a real public health problem, as they represent a threat to the health of a large part of the population and can also lead to high mortality rates, exclusively in the absence of available treatment options [20, 30]. For many developing countries, metronidazole remains the drug of choice for treating intestinal parasite infections. Despite the widespread use of this compound in many countries, however, its use is not approved by the Food and Drug Administration (FDA) in some countries, such as the United States [12, 14].
Since the emergence of many cases of parasite resistance to this drug [11, 16, 19, 25, 32], several studies have been conducted with the objective of finding therapeutic alternatives to treat these parasites [2, 26, 29]. Also, it has been reported that metronidazole use could lead to several frightening side effects that could have detrimental effects on human health [21, 22] and that its long-term use could be carcinogenic [6] and/or cause damage to various parts of the brain [10, 21, 22].
For several years, numerous studies around the world have attempted to find other suitable compounds that can be used instead of metronidazole. Some substances like cryptdin-2 [26], hexadecyl-PC and other substances with longer alkyl chains [29] have been tested for their therapeutic activities against E. histolytica strains. These substances were found to be very effective at various concentrations [26, 29]. However, of all the compounds tested, oleyl-PC, octadecyl-PC, and non-adecenyl-PC had the highest effective concentrations, with concentrations ranging from 15–21 mM for strain SFL-3 and 73–98 mM for strain HM-1 after 48 hours of treatment [29].
In the in vitro test of kaempferol (KPF) as an anti-protozoal, with an effective concentration of fifty percent, was 7.9 g/mL for E. histolytica and 8.7 g/mL for G. lamblia [7]. Several synthetic compounds (5-(3-chlorophenyl)-1-methyl-4-nitro-1 H-imidazole, synthesized inhibitors of the Hsp90 class, and many other compounds) have been reported to have potential chemotherapeutic properties against E. histolytica and G. intestinalis [8, 27]. Thus, some of the compounds tested as alternatives to metronidazole have had encouraging results on intestinal tract parasites [15, 28].
However, despite the efforts already made to find alternative treatments for intestinal protozoa, there is still a need for further work in this area to find and propose new treatments from different sources in order to overcome the problem of resistance and harmful side effects of currently available pharmaceuticals. Thus, this study aimed to investigate the effect of a synthetic organic heterocyclic compound against two intestinal parasites, E. histolytica and G. lamblia because it has been shown to be highly effective against some resistant pathogenic bacteria.
Materials and methods
Study design
This study was designed to see if the newly synthesized organic heterocyclic compound (C15H12N5OCL) 2-(benzo(d) (1,2,3) triazol-1-yl)-N bennzylideneacetohydrazine) had any therapeutic effects on the intestinal parasites E. histolytica and G. intestinalis in laboratory mice and in culture.
The organic heterocyclic (C15H12N5OCL) ingredient
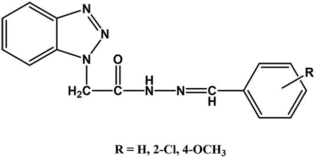
The composite used in our study was synthesized from a series of eleven novel heterocyclic compounds that were tested in a study on bacteria [26], in which the fifth compound proved to be very effective against gram-positive and negative bacteria. The preparation of heterogeneous rings was carried out based on the reactance of benzotriazole present in some compounds (6, 7, 8, 9, 11) described previously in [1] and with chloroethyl acetate ester. Hydrazone was made from the condensation of hydrazide with the replacement of benzaldehyde in ethanol. From the reaction of an ester with aqueous hydrazine and the reaction of hydrazine with hydrazonebenzaldehyde, the heterocyclic effective compound ((C15H12N5OCL)2-benzo(d)(1,2,3)triazol_1_yl)_N_bennzylideneacetohydrazine) was formed. The structure of the synthesized ingredient was checked by calculating the melting point and the infrared spectrum. The specifications of the ingredient were as follows: IR =:1652 (C=O), 1620 (C=N), 3311 (NH), as.1265 (C-O-C), sy.1104 (C-O-C), 1HNMR = 3.6 (O-CH3), 7-7.5 (4H-Ph), 8.1 (Ph-CH), 8 (NH), 5.1 (N-CH2), R group: 2-Cl, UV spectrum: 294, molecular formula: C15H12N5OCL, melting point: 210–212°C, harvested percentage: 57, color: leady, Fig. 1.
Figure 1. Molecular formula of the synthetic substance
Identification and isolation of the parasitic stages
In our study, parasite isolates were researched in samples of outpatients who suffered from diarrhea and who had attended the General Pediatric Hospital in Kirkuk, Iraq during the period between September 2019 and January 2021. The presence of cysts and trophozoite stages was confirmed by microscopic examination of the stool samples and the presence of RBCs in Entamoeba trophozoite. Another positive sample was requested for culture for some positive samples from patients in whom we found E. histolytica trophozoites. A small amount of the mucoid part of the sample was implanted directly onto the prepared medium for culture. The cystic stages of the two parasites were separated from human or mouse stool samples using the concentration sedimentation method.
Pharmaceutical activity of the heterocyclic compounds
In vivo pharmaceutical activity
To test the effect of the substance in vivo, male or female albino (Balb/C strain) mice weighing 25–30 grams were selected. The mice were raised under standard conditions and brought to the animal house of the College of Sciences at Kirkuk University. Mice were infected with Giardia by being orally dosed with a thousand cystic stages. The concentrations of 0.25, 0.5, 0.75, and 1.0 mg/kg of the substance were administered to mice orally three times daily for five days (six mice for each concentration) [34]. Parasite excretion in mice was monitored daily by examining the excretion patterns of the parasites in their feces. The mean number of cysts and trophozoite stages counted in 30–50 high microscopic fields was estimated. The inhibition ratio (control group–treated group/control group ×100) was calculated. 0.4% trypan blue was applied for staining. Metronidazole at a concentration of 0.8 mg/kg and a group dosed with the parasite without any treatment were used as a control group. Laboratory animal experiments and handling were designed based on the ethics and recommendations of protecting laboratory animals with the code (MUCEDLA-01) of the Ethics Committee for Animal Handling of the University of Kirkuk.
In vitro pharmaceutical activity of the heterocyclic ingredient
Preparation of culture media. For culturing E. histolytica, Boeck and Dr. Bohuslav’s Locke-Egg-Serum (LES) medium were used [23]. First, the Locke solution was prepared, filtrated, and autoclaved. For the solid face of the culture, four eggs were mixed with 50 ml of Locke’s solution and homogenized. The medium was solidified in a slant position. Finally, 2 mL of Locke’s solution was added to each tube and re-autoclaved. The media was kept in the refrigerator until used [13]. 0.5 ml of inactivated human serum from a healthy person, 0.05 ml of stock antibiotic solution (100 U per ml of penicillin and 100 µg per ml of streptomycin) and a loopful of sterile starch were added to each tube and gently shaken directly before inoculation.
Culturing of E. histolytica. Approximately ten (10) tubes of culture media were warmed in an incubator at 35°C for 1 to 2 hours and inoculated with bloody mucoid diarrheic fresh stool samples from the outpatients who were diagnosed with E. histolytica trophozoites [13]. A small amount of mucus parts was inoculated into which were then incubated in a photophore under microaerophilic conditions at 37°C for 48–72 h. After that, cultures were cooled for a few minutes in ice water upright to remove the attached trophozoites from the tube walls. In addition, we took 0.05 µl of the liquid part from the tube bottom, mixed it with 0.05 µl PBS and examined it to search for trophozoite stages of different parasites. All positive cultures were maintained by sub-culturing every three days.
In vitro evaluation of the heterocyclic ingredient effect in culture media. Certain weights of the heterocyclic compound were dissolved in Locke solution to obtain the desired concentrations of 0.25; 0.5; 0.75; and 1.0 µg/ml. For each concentration, three tubes of culture media were supplemented with inactivated human serum, antibiotics, and starch. Transplantation with about 5000 trophozoites of E. histolytica was carried out after counting utilizing a hemocytometer. The implanted tubes were incubated as described in the above-mentioned steps. The viability of the trophozoites was estimated after 24, 48, and 72 hours of exposure by counting the viable and nonviable cells in 30–50 microscopic fields using 0.4% trypan blue [26]. The percentage of viable cells (no. of viable cells/total viable and unviable cells ×100) and inhibition rate (control group — treated group/control group × 100) of each concentration were calculated. Metronidazole at a concentration of 0.8 µg/ml and cultures without any addition were tested as negative and positive controls. Each experiment was conducted in triplicate.
In vitro evaluation of the heterocyclic ingredient on E. histolytica and G. lamblia cysts. The test of evaluation of compound effects on the different parasite species was carried out using the [11] method with some modifications. First, we dissolved 1 ml C15H12N5OCL (0.25, 0.5, 0.75, and 1.0 mg/ml) in PBS, and then incubated it with about 1000 cysts of E. histolytica and G. lamblia, which had been isolated as described in the previous step. After incubation for 10, 20, and 40 minutes, the cysts were washed three times with PBS. Then 0.1 ml of trypan blue was mixed with 0.1 ml of cyst sediment for 15 minutes. The viable and unviable cysts were counted in 30–50 microscopic fields. The percentage of viable cysts (No. of viable cells/total viable and unviable cells × 100) and inhibition rate (control group — treated group/control group × 100) was calculated. An incubation with metronidazole 0.8 mg/ml and PBS were used as controls. Each experiment was carried out in triplicate.
Toxicological effect of the heterocyclic compounds
To test the toxicity of our compound in our study we proceeded to sacrifice the mice that received different concentrations (the highest and the lowest doses) of our compound (C15H12N5OCL) and metronidazole to obtain blood and serum samples. Blood samples were collected in EDTA and dry tubes and used to measure some hematological parameters such as red and white blood cells and platelets. For analysis, about 500 μl of blood was added to the CBC apparatus type Swelab (Swedish made) for analysis and we printed all the results for each realized test. On the other hand, serum was used to evaluate the effect of the compounds on liver and kidney function (GPT, GOT, alkaline phosphatase, urea, and creatinine) were measured. Thus, with the help of the Cobas type chemistry analyzer (German made), we used 150 μl of serum to test the liver and kidney function and all the test results were printed and analyzed. To finish with this aspect of our study, we took the blood samples from infected mice untreated with any substance and uninfected mice for comparison as control groups.
Statistical analysis
Statistical analyses were performed using SPSS software. The comparative analysis between concentrations obtained and the value of controls was done, as well as between concentrations and times of treatment, and between concentrations and controls for blood analysis tests and other chemical tests. Analysis of variance between studied factors was done using an ANOVA two-factor test without replication. Differences were considered statistically significant at a 0.05 confidence level.
Results
Pharmaceutical activity of the heterocyclic (C15H12N5OCL) compound
In vivo pharmaceutical activity of the heterocyclic compound. After examination, we observed a direct relationship between the substance and Giardia at different concentrations and times. The use of this compound led to a complete recovery after five days. The results obtained with metronidazole were similar to those obtained with the synthetic compound, especially at the concentration of 1 mg/kg, and an inhibition of 88.2% after four days. The effect of the substance on the dying stages was evident in the deposition of the substance around their nuclei, which gave it a very visible and prominent appearance (Fig. 2, A).
In vitro evaluation of the heterocyclic ingredient effect in culture media. The effect of the synthetic substance on Entamoeba in the culture was great and was close to the effect of metronidazole, and the effect remained almost constant on the second and third days. The maximum effect was at a concentration of 1 µg /ml after 72 hours, with an inhibition rate of 89.4% compared with the effect of metronidazole, which reached 94.7 percent after the same period (Fig. 2, B).
In vitro evaluation of the heterocyclic compound on E. histolytica and G. lamblia cysts. The cystic stage was more resistant to the effect of the synthetic compound for both parasites, although the effect of the compound exceeded that of metronidazole, especially at the highest concentration and during the forty minutes of incubation. The effect of the compound was greater than metronidazole. Indeed, we obtained a percentage of inhibition and death of 46.7% for Entamoeba cysts and 20.4% for Giardia cysts with the synthetic compound, while the inhibition rate with metronidazole was 10% and 13.3%, respectively for Entamoeba and Giardia (Fig. 2, C, D). We also observed that the effect of the substance on the dead cystic stages was evident in the deposition of the substance around the nuclei of the cystic stages and the cyst wall, which gave it a very visible and prominent appearance, especially for the cystic stages of the Entamoeba parasite.
Figure 2. In vivo and in vitro pharmaceutical effect of the heterocyclic compound on tested parasites, the numbers marked above in gray indicate the standard deviations
Toxicological effect of the heterocyclic (C15H12N5OCL) compound
Concerning the toxicity of the heterocyclic compound, our analyses revealed that the substance had no significant effect on the different parameters evaluated (blood, number of red blood cells) compared to the control groups. Thus, no parameters gave significant differences between them and the controls (Fig. 3, A).
The groups of mice infected and treated with the substance and metronidazole showed only a slight increase in white blood cells compared to the uninfected and untreated control groups (Fig. 3, B, C). However, both products (synthetic substance and metronidazole) had only a slight effect on the platelet count. We observed a significant increase compared to the control groups (Fig. 3, D, E, F). On the other hand, our results show that when the effects of the manufactured substance were tested on some liver and kidney functions, the effect of the substance was not significant on any of the studied parameters except for the GOT enzyme, where the ratio of the enzyme in mice dosed with the substance and metronidazole had slightly increased compared to the uninfected and untreated control group (Fig. 3, G, H, I).
Figure 3. Toxicological effect tests of the compound on some blood, liver and kidney tests
Notes. HGB — hemoglobin, HCT — hemotocrit, RDW — red cell distribution width, MCV — mean corpuscular volume, MCH — mean corpuscular hemoglobin, MCHC — mean corpuscular hemoglobin concentration, PLT — platelet, MPV — mean platelet volume, PDW — platelet distribution width, MID — mid-range absolute count (mono., eosino., baso.), PCT — plateletcrit, PLR — larger platelet cell ratio, the numbers marked above in gray indicate the standard deviations.
Discussion
For the first time, the current study sought to assess the effectiveness of a novel synthetic organic compound against two kinds of intestinal parasites. Indeed, intestinal protozoa are one of the main causes of gastrointestinal diarrhea, responsible for many cases of morbidity and death [9]. And metronidazole is the only treatment used and available in many developing countries against its parasitic infections. However, many attempts to find alternative treatments to treat many intestinal parasites, especially those with a deleterious effect on human health [3, 5]. Indeed, in many cases, it may be necessary to manufacture the effective active ingredient, even when extracted from plants, in order to overcome the obstacles inherent in traditional methods [27].
The manufactured materials are pure and the quantities obtained from them are abundant, but their toxicological and histological effects need to be studied if they are used for therapeutic purposes [31]. In our case, the use of this substance was based on proving its lethal effects on pathogenic resistant bacteria [1].
In this study, the results show that the tested substance had an effect on parasites of the genus Giardia. Indeed, a direct effect was found between this compound and this parasite at different concentrations over time. This led to a complete recovery after five days of treatment with our compound. This result is similar to the one observed with metronidazole [28], especially at a concentration of 1 mg/kg. Also, this compound had a similar effect to metronidazole on Entamoeba cultures [15]. Thus, we believe this compound could be an excellent therapeutic alternative for the treatment of intestinal parasites. However, we observed that the cystic stage of both parasites was more resistant to our compound, although the impact of our substance exceeded that of metronidazole [28], especially at the highest concentration. This effect on trophozoites may be because organic compounds are made of heterocyclic ring systems that have a wide range of biological activities, effective against many pathogens [4, 18, 33]. Thus, we believe that the compound tested here in our study would exhibit the same effects as those of many drugs and that certain compounds that produce anions that would be toxic to trophozoites would potentially activate it [33]. This would lead to DNA breakage and destabilization of helices, resulting in the inhibition of synthesis of certain proteins, which may kill the parasite [4, 18, 24, 33]. The reduced efficacy observed on the cystic stage, on the other hand, could be explained by the fact that cysts are surrounded by a protective wall that is resistant to many substances [17], making penetration of the substance more difficult. Thus, we believe that increasing the period of exposure of the cysts to the substance would increase the effect of this product on the parasites and thus allow the destruction of a greater proportion, especially since the material had a good effect on the cysts.
Concerning the toxicity, the compound did not present any toxic effect on the different blood parameters evaluated, i.e., on the number of red and white blood cells and platelets. Also, on some functions and enzymes of the kidneys and liver of mice treated with our compound. Previous studies on the impact of synthetic chemicals on intestinal parasites have taken many different forms. For instance, cryptdin-2 was investigated for its impact on E. histolytica and found to be highly effective at lower concentrations [26]. Similar tests were done on the effectiveness of hexadecyl-PC and other compounds with longer alkyl chains against two other strains of E. histolytica. However, of all the substances examined in earlier investigations, oleyl-PC, octadecyl-PC, and nonadecenyl-PC were the most successful [29].
Additionally, the anti-protozoal kaempferol (KPF) in vitro test results for E. histolytica and G. lamblia were 7.9 g/mL and 8.7 g/mL, respectively, with a 50% effective concentration [7]. Similar to this, KPF use resulted in early cell death by causing the absence of some intracellular regions of cytoplasmic juice [2]. When tested against E. histolytica and G. intestinalis, the synthetic substance 5-(3-chlorophenyl)-1-methyl-4-nitro-1H-imidazole demonstrated a high fatal dosage of 1.47 µM/mL [27]. Additional synthetic inhibitors were discovered to show potential chemotherapeutic activities comparable to metronidazole against trophozoites and/or cysts of G. intestinalis and E. histolytica [8, 15, 28].
Conclusion
In the end, we concluded that this substance is highly effective against both Entamoeba and Giardia, and its effectiveness may exceed that of metronidazole at low concentrations. In addition to the stability of the substance and resistance to change, the substance did not have any toxic effects on the parameters that were studied. Therefore, it could be a promising pharmacophore for parasites and an alternative or competitor to the current medications available. As a result, we recommend using this substance and researching its effects on other pathogens, as it has proven effective against both bacteria and parasites. We also recommend researching its histological and toxic effects on various human and animal organs, as well as researching the substance’s mechanisms of action and sites of influence.
Conflicts of interest
The authors declare that there are no conflicts of interest.
Acknowledgments
We thank the working staff in the Kirkuk General Pediatric Hospital in Kirkuk city for their assistance and cooperation and for facilitating our work during the period of conducting the research, especially the staff in the consultative laboratory and the emergency laboratory, and we especially mention miss Dena Nail Abdulahadlahad and miss Alaa Abdulla Ali and Mrs. Songul Murdan Mustafa.
About the authors
Hiro Mohammed Obaid
Northern Technical University, College of Health and Medical Techniques
Author for correspondence.
Email: dr.obaidhm13@gmail.com
Assistant Professor, Department of Medical Laboratory Techniques
Ирак, KirkukSayran Sattar Sale
Kirkuk University, College of Science
Email: dr.obaidhm13@gmail.com
Professor, Department of Chemistry
Ирак, KirkukLarson Boundenga
International Centre for Medical Research of Franceville; Durham University
Email: dr.obaidhm13@gmail.com
Head of Parasitology Department (Unit of Wildlife Parasites and Neglected Parasitoses), Group of Evolution and Interspecies Transmission of Pathogens; Department of Athropology
Габон, Franceville; Durham, United KingdomReferences
- Al-Salihi S., Israa A., Israa A., Fournier J. Biological activity study for some heterocyclic compounds and their impact on the Gram-positive and negative bacteria their impact the Gram-positive and negative bacteria. Energy Procedia, 2019, vol. 157, pp. 296–306.
- Argüello-García R., Calzada F., García-Hernández N., Chávez-Munguía B., Velázquez-Domínguez J.A. Ultrastructural and proapoptotic-like effects of kaempferol in Giardia duodenalis trophozoites and bioinformatics prediction of its potential protein target. Mem. Inst. Oswaldo Cruz., 2020, vol. 115: e200127. doi: 10.1590/0074-02760200127
- Azadbakht M., Chabra A., Saeedi Akbarabadi A., Motazedian M.H., Monadi T., Akbari F. Anti-parasitic activity of some medicinal plants essential oils on Giardia lamblia and Entamoeba histolytica, in vitro. Res. J. Pharmacogn., 2020, vol. 7, no. 1, pp. 41–47. doi: 10.22127/rjp.2019.168142.1462
- Barbuceanu S.-F., Saramet G., Almajan G.L., Draghici C., Barbuceanu F., Bancescu G. New heterocyclic compounds from 1,2,4-triazole and 1,3,4-thiadiazole class bearing diphenylsulfone moieties. Synthesis, characterization and antimicrobial activity evaluation. Eur. J. Med. Chem., 2012, vol. 49, pp. 417–423. doi: 10.1016/j.ejmech.2012.01.031
- Bashyal B., Li L., Bains T., Debnath A., LaBarbera D.V. Larrea tridentata: A novel source for anti-parasitic agents active against Entamoeba histolytica, Giardia lamblia and Naegleria fowleri. PLoS Negl Trop. Dis., 2017, vol. 11, no. 8: e0005832. doi: 10.1371/journal.pntd.0005832
- Bendesky A., Menéndez D., Ostrosky-Wegman P. Is metronidazole carcinogenic? Mutat. Res. Rev. Mutat. Res., 2002, vol. 511, iss. 2, pp. 133–144. doi: 10.1016/S1383-5742(02)00007-8
- Calzada F., Correa-Basurto J., Barbosa E., Mendez-Luna D., Yepez-Mulia L. Antiprotozoal constituents from Annona cherimola Miller, a plant used in mexican traditional medicine for the treatment of diarrhea and dysentery. Pharmacogn. Mag., 2017, vol. 13, no. 49, pp. 148–152. doi: 10.4103/0973-1296.197636
- Debnath A., Shahinas D., Bryant C., Hirata K., Miyamoto Y., Hwang G., Gut J., Renslo A.R., Pillai D.R., Eckmann L., Reed S.L., McKerrow J.H. Hsp90 inhibitors as new leads to target parasitic diarrheal diseases. Antimicrob. Agents Chemother., 2014, vol. 58, no. 7, pp. 4138–4144. doi: 10.1128/AAC.02576-14
- Di Genova B.M., Tonelli R.R. Infection strategies of intestinal parasite pathogens and host cell responses. Front. Microbiol., 2016, vol. 7: 256. doi: 10.3389/fmicb.2016.00256
- Donohoe C.D., Guidos P.A. MR as a biomarker for metronidazole induced encephalopathy: clinical, neuroimaging and differential diagnostic features. Int. J. Neurol. Neurother., 2016, vol. 3, iss. 4: 055. doi: 10.23937/2378-3001/3/4/1055
- Ehrenkaufer G.M., Suresh S., Solow-Cordero D., Singh U. High-throughput screening of entamoeba identifies compounds which target both life cycle stages and which are effective against metronidazole resistant parasites. Front. Cell. Infect. Microbiol., 2018, vol. 8: 276. doi: 10.3389/fcimb.2018.00276
- Freeman C.D., Klutman N.E., Lamp K.C. Metronidazole. A therapeutic review and update. Drugs, 1997, vol. 54, no. 5, pp. 679–708. doi: 10.2165/00003495-199754050-00003
- Garcia L.S. Diagnostic medical parasitology: 5th ed. Washington, DC: ASM Press, 2007. 1202 p.
- Gardner T.B., Hill D.R. Treatment of giardiasis. Clin. Microbiol. Rev., 2001, vol. 14, no. 1, pp. 114–128. doi: 10.1128/CMR.14.1.114-128.2001
- Guzmán-Delgado N.E., Carranza-Torres I.E., García-Davis S., Rivera G., Morán-Martínez J., Betancourt-Martínez N.D., Groothuis G.M.M., de Graaf I.A.M., Carranza-Rosales P. Development of a novel ex-vivo 3D model to screen amoebicidal activity on infected tissue. Sci. Rep., 2019, vol. 9, no. 1: 8396. doi: 10.1038/s41598-019-44899-5
- Iyer L.R., Singh N., Verma A.K., Paul J. Differential expression and immunolocalization of antioxidant enzymes in Entamoeba histolytica isolates during metronidazole stress. Biomed. Res. Int., 2014, vol. 2014: 704937. doi: 10.1155/2014/704937
- Jarroll E.L., Sener K. Potential drug targets in cyst-wall biosynthesis by intestinal protozoa. Drug Resist. Updat., 2003, vol. 6, no. 5, pp. 239–246. doi: 10.1016/s1368-7646(03)00065-7
- Kumar S., Singh R.K., Patial B., Goyal S., Bhardwaj T.R. Recent advances in novel heterocyclic scaffolds for the treatment of drug-resistant malaria. J. Enzyme Inhib. Med. Chem., 2016, vol. 31, no. 2, pp. 173–186. doi: 10.3109/14756366.2015.1016513
- Lalle M., Hanevik K. Treatment-refractory giardiasis: challenges and solutions. Infect. Drug Resist., 2018, vol. 11, pp. 1921–1933. doi: 10.2147/IDR.S141468
- Laupland K.B., Church D.L. Population-based laboratory surveillance for Giardia sp. and Cryptosporidium sp. infections in a large Canadian health region. BMC Infect. Dis., 2005, vol. 5: 72. doi: 10.1186/1471-2334-5-72
- Lefkowitz A., Shadowitz S. Reversible cerebellar neurotoxicity induced by metronidazole. CMAJ, 2018, vol. 190, no. 32: E961. doi: 10.1503/cmaj.180231
- Li L., Tang X., Li W., Liang S., Zhu Q., Wu M. A case of methylprednisolone treatment for metronidazole-induced encephalopathy. BMC Neurol., 2019, vol. 19, no. 1: 49. doi: 10.1186/s12883-019-1278-6
- Linstead D. Cultivation. In: Trichomonads parasitic in humans; ed. Honigberg B.M. Springer, New York, NY, 1990, pp. 91–111. doi: 10.1007/978-1-4612-3224-7_7
- Livermore D.M. The need for new antibiotics. Clin. Microbiol. Infect., 2004, vol. 10, suppl. 4, pp. 1–9. doi: 10.1111/j.1465-0691.2004.1004.x
- Petri W.A., Haque R. Entamoeba histolytica brain abscess. Handb. Clin. Neurol., 2013, vol. 114, pp. 147–152. doi: 10.1016/B978-0-444-53490-3.00009-1
- Preet S., Bharati S., Shukla G., Koul A., Rishi P. Evaluation of amoebicidal potential of Paneth cell cryptdin-2 against Entamoeba histolytica. PLoS Negl Trop. Dis., 2011, vol. 5, no. 12: e1386. doi: 10.1371/journal.pntd.0001386
- Saadeh H.A., Mosleh I.M., El-Abadelah M.M. New synthesis and antiparasitic activity of model 5-aryl-1-methyl-4-nitroimidazoles. Molecules, 2009, vol. 14, no. 8, pp. 2758–2767. doi: 10.3390/molecules14082758
- Saleh S.S., AL-Salihi S.Sh., Mohammed I.A. Biological activity study for some heterocyclic compounds and their impact on the gram positive and negative bacteria. Energy Procedia, 2019, vol. 157, pp. 296–306. doi: 10.1016/j.egypro.2018.11.194
- Seifert K., Duchêne M., Wernsdorfer W.H., Kollaritsch H., Scheiner O., Wiedermann G., Hottkowitz T., Eibl H. Effects of miltefosine and other alkylphosphocholines on human intestinal parasite Entamoeba histolytica. Antimicrob. Agents Chemother., 2001, vol. 45, no. 5, pp. 1505–1510. doi: 10.1128/AAC.45.5.1505-1510.2001
- Stanley S.L. Jr. Amoebiasis. Lancet, 2003, vol. 361, no. 9362, pp. 1025–1034. doi: 10.1016/S0140-6736(03)12830-9
- Ullah F., Ayaz M., Sadiq A., Ullah F., Hussain I., Shahid M., Yessimbekov Z., Adhikari-Devkota A., Devkota H.P. Potential role of plant extracts and phytochemicals against foodborne pathogens. Appl. Sci., 2020, vol. 10: 4597. doi: 10.3390/app10134597
- Victoria-Hernández J.A., Ventura-Saucedo A., López-Morones A., Martínez-Hernández S.L., Medina-Rosales M.N., Muñoz-Ortega M., Ávila-Blanco M.E., Cervantes-García D., Barba-Gallardo L.F., Ventura-Juárez J. Case report: multiple and atypical amoebic cerebral abscesses resistant to treatment. BMC Infect. Dis., 2020, vol. 20, no. 1: 669. doi: 10.1186/s12879-020-05391-y
- Weir C.B., Le J.K. Metronidazole. In: StatPearls [Internet]. Treasure Island (FL): StatPearls Publishing; 2022.
- Zavala-Ocampo L.M., Aguirre-Hernández E., Pérez-Hernández N., Rivera G., Marchat L.A., Ramírez-Moreno E. Antiamoebic activity of Petiveria alliacea leaves and their main component, Isoarborinol. J. Microbiol. Biotechnol., 2017, vol. 27, no. 8, pp. 1401–1408. doi: 10.4014/jmb.1705.05003
Supplementary files







