Safety and specific activity of the recombinant SARS-CoV-2 allergen (“CoronaDerm-PS”) based on phase I–II clinical trial results
- Authors: Savin T.V.1,2, Milichkina A.M.1, Krasnov A.A.1, Kuznetsova R.N.3,2, Shchederkina E.E.1, Svarval A.V.1, Sharova A.А.1, Reingardt D.E.1, Ostankova Y.V.1, Gubanova A.V.1, Petrova O.A.1,2, Zhimbaeva O.B.1, Razumovskaya A.P.1, Drozd I.V.1, Rubinstein A.А.4, Trulev A.S.4, Kudryavtsev I.V.2,4, Riabchenkova A.A.5, Chirak E.L.5, Chirak E.R.5, Saenko A.I.5, Kopat V.V.5, Dukhovlinov I.V.5, Simbirtsev A.S.1,2, Totolian A.A.1,2
- 
							Affiliations: 
							- St. Petersburg Pasteur Institute
- Pavlov First St. Petersburg State Medical University
- St. Petersburg Pasteur Institute, St. Petersburg
- Institute of Experimental Medicine
- LLC “ATG Service-Gene”
 
- Issue: Vol 14, No 5 (2024)
- Pages: 900-916
- Section: ORIGINAL ARTICLES
- Submitted: 17.10.2024
- Accepted: 23.10.2024
- Published: 21.12.2024
- URL: https://iimmun.ru/iimm/article/view/17790
- DOI: https://doi.org/10.15789/2220-7619-SAS-17790
- ID: 17790
Cite item
Full Text
Abstract
The evaluation of cellular immunity to SARS-CoV-2 is a critical tool for assessing vaccination efficacy and development of post-infectious immunity. According to available studies, virus-specific T cells persist longer than antigen-specific antibodies and play a pivotal role in the effective virus elimination from human body. Current methodologies for assessing virus-specific T cells are mostly based on flow cytometry, which require specialized laboratory equipment and highly trained personnel. An alternative approach involves a skin test conducted to assess delayed-type hypersensitivity (DTH) reactions. For this, there has been developed the “CoronaDerm-PS” substance, a sterile isotonic solution for intradermal administration, containing a recombinant hybrid protein that incorporates regions of SARS-CoV-2 structural proteins S, M, N, and E, produced by a genetically modified E. coli BL21 strain cell culture. Following preclinical studies that demonstrated the safety of the above-noted medication, Phase I and Phase II clinical trials were initiated to evaluate safety and specific activity of “CoronaDerm-PS” in apparently healthy volunteers with SARS-CoV-2 post-vaccination and post-infection immunity. In Phase I clinical trial with COVID-19 unexposed or vaccinated volunteers, the data were obtained demonstrating the safety and good tolerability of the medication, thus enabling the progression to Phase II. The Phase II results provided additional evidence on the preparation’s safety in individuals with SARS-CoV-2 post-vaccination and post-infection immunity, as assessed by clinical and laboratory data. No serious adverse events were observed during the study, and in 93.5% cases, adverse events required no therapeutic or diagnostic intervention. To assess the specific activity of the preparation, the skin test data were compared with the IFNγ production stimulation index for CD4+ T lymphocytes assessed by flow cytometry. The ROC analysis revealed sensitivity magnitude ranging from 76.6% to 84%, and specificity level ranging from 80% to 87.5%. Based on ROC analysis results, “CoronaDerm-PS” can be an informative diagnostic tool (AUC = 0.795), demonstrating high sensitivity (79.8%) and specificity (80.8%), with consistent results across different volunteer cohorts. Analyzing the collected data suggests that “CoronaDerm-PS” is a robust alternative to laboratory methods for evaluating SARS-CoV-2-specific T-cell immunity, with high sensitivity and specificity, suitable for large-scale screening.
Full Text
Введение
COVID-19 — острая респираторная инфекция, вызываемая коронавирусом SARS-CoV-2, приводящая к развитию пневмонита, поражению сердечно-сосудистой системы и других органов, с высоким риском смерти, особенно у пожилых людей. Пандемия новой коронавирусной инфекции COVID-19, начавшаяся в самом конце 2019 г. в КНР, быстро охватила весь мир и стала большим вызовом для систем здравоохранения стран. Благодаря быстрой разработке вакцин против новой коронавирусной инфекции удалось предотвратить большое число летальных исходов заболевания [11]. Однако, поскольку до сих пор в массовом доступе нет ни одного эффективного этиотропного лекарственного препарата против SARS-CoV-2, можно считать, что все случаи выздоровления заболевших связаны исключительно с активностью иммунной системы организма, стимуляция которой с неизбежностью осуществляется непосредственно вирусом или вакцинным препаратом, имитирующим «живой» вирус или его иммуногенные компоненты.
Оценка уровня иммунитета, выработанного против SARS-CoV-2, важна для коррекции лечения больных, мониторинга результатов вакцинации против SARS-CoV-2, обоснования необходимости ревакцинации и надзора за выработанным «коллективным» иммунитетом к коронавирусу. Изначально оценка уровня специфического иммунитета была сосредоточена на использовании тестов для обнаружения сывороточных антител класса А, M и G. Однако эти тесты не дают представления о состоянии клеточного звена иммунитета. Известно, что иммунитет к определенным патогенам опосредуется как Т-клетками, так и антителами. Причем антитела играют ведущую роль в борьбе с патогенными бактериями, но лишь вспомогательную роль — в борьбе с вирусами. Ведущая роль в борьбе с вирусами принадлежит CD8+ цитотоксическим Т-лимфоцитам (CTL) и CD4+ Т-хелперам 1-го типа (Тh1) [6]. Вирусспецифические CTL распознают инфицированные вирусом клетки и «убивают» их до того, как они станут источником репликации вирусов. Тh1-лимфоциты облигатно участвуют в активации и регуляции иммунного ответа, антителопродукции В-клетками. Таким образом, Т-клетки играют важную роль в элиминации патогена из организма, а Т-клеточный иммунитет может сохраняться годами или даже десятилетиями [4].
Основная проблема оценки специфических Т-клеток заключается в том, что вирусспецифические Т-клетки трудно определить с помощью рутинных лабораторных тестов. Хотя антитела играют лишь вспомогательную роль в защите от вирусов, их легче измерить в сыворотке крови, что активно используется для оценки иммунитета к SARS-CoV-2. Наличие антивирусных антител является суррогатным маркером Т-клеточного иммунитета к вирусам. Однако антительный ответ является временным и обычно затухает через 6–9 месяцев после заражения [7]. Измерение Т-клеточного ответа на SARS-CoV-2 дает информацию о том, сформировался ли у конкретного пациента клеточный иммунитет к коронавирусу SARS-CoV-2, и позволяет оценить, сколько людей были реально инфицированы SARS-CoV-2 и сколько из них успешно выздоровели, а также о доле успешно вакцинированных лиц. Использование только серологических тестов не позволяет полноценно оценить постинфекционный и поствакцинальный иммунитет. Во-первых, гуморальный иммунитет со временем ослабевает. Во-вторых, некоторые люди, по-видимому, реагируют на воздействие или инфекцию SARS-CoV-2 путем усиления Т-клеточного ответа без продукции антител [5].
Классические подходы определения Т-клеточного иммунитета к SARS-CoV-2 требуют дорогостоящей, многоэтапной подготовки проб и стимуляции Т-клеток in vitro с использованием методов, которые еще не стандартизированы и реализуются в высокоспециализированных лабораторий. Эти методы включают в себя взятие относительно большого количества крови, выделение Т-клеток из собранной крови, стимуляцию выделенных Т-клеток пептидами или белками SARS-CoV-2 при культивировании и, наконец, анализ культивированных Т-клеток с использованием внутрицитоплазматического флуоресцентного окрашивания цитокинов (в частности, интерферона-гамма, IFNγ) с помощью мультипараметрической проточной цитометрии. Альтернативой данному лабораторному методу является проведение кожной пробы для использования классической реакции гиперчувствительности замедленного типа (ГЗТ), в виде туберкулиновой пробы, используемой для диагностики туберкулеза более 120 лет [8]. Кожная проба ГЗТ не требует специальных методик и предназначена для проведения в условиях процедурного кабинета.
Препарат «КоронаДерм-PS» разработан для оценки Т-клеточного иммунитета, который представляет собой стерильный изотонический раствор для внутрикожного введения, содержащий рекомбинантный гибридный белок, включающий участки структурных белков S, M, N, E коронавируса SARS-CoV-2, продуцируемый генетически модифицируемой культурой клеток штамма Escherichia coli BL21 [1]. На основе литературных данных в структуру антигена были включены иммуногенные участки структурных белков S, M и E коронавируса, а также N-белок целиком. Такой выбор участков антигенов белков S, M и E обоснован данными по их иммуногенности. N-белок включен целиком, исходя из данных о том, что именно на него вырабатывается стойкий Т-клеточный иммунный ответ, а также N-белок значительно меньше подвержен мутациям, что обеспечивает специфичность препарата вне зависимости от геноварианта SARS-CoV-2, на который сформировалась иммунологическая память [2].
Препарат предназначен для оценки Т-клеточного иммунитета с помощью кожной пробы взамен теста на продукцию IFNγ Т-клетками периферической крови в условиях in vitro.
Проведенные доклинические исследования свидетельствуют о безопасности разработанного препарата для животных и его пригодности для тестирования наличия гиперчувствительности замедленного типа у сенсибилизированных коронавирусным аллергеном животных [3]. Это послужило основанием для проведения І и II фазы клинических исследований с целью оценки безопасности препарата, а также его специфической активности.
Целью исследования являлось изучение показателей безопасности и реактогенности, а также оценка специфической активности препарата «КоронаДерм-PS» у условно-здоровых добровольцев с поствакцинальным и постинфекционным иммунитетом к SARS-CoV-2.
Задачи исследования соответствовали стадиям клинического исследования:
Фаза I:
- оценка безопасности и переносимости препарата «КоронаДерм-PS» при однократном внутрикожном введении здоровым добровольцам, ранее не болевшим COVID-19 и не вакцинированным от COVID-19;
Фаза II:
- оценка безопасности и реактогенности препарата «КоронаДерм-PS» при однократном внутрикожном введении здоровым добровольцам;
- определение специфической активности препарата «КоронаДерм-PS» в дозе 0,2 мл при внутрикожном введении в сравнении с плацебо добровольцам четырех испытуемых групп (группа 1 — прошедшие вакцинацию «ЭпиВакКорона»; группа 2 — прошедшие вакцинацию «Гам-КОВИД-Вак»; группа 3 — прошедшие вакцинацию «КовиВак»; группа 4 — перенесшие инфекцию COVID-19, но не вакцинированные) и добровольцам контрольной группы (группа 5 — не переболевшие COVID-19 и не вакцинированные);
- сравнение результатов оценки наличия иммунитета по результатам кожной пробы и по количеству Т-клеток периферической крови, продуцирующих IFNγ в условиях ex vivo в ответ на препарат «КоронаДерм-PS» у добровольцев 1-й, 2-й, 3-й, 4-й и 5-й групп.
Материалы и методы
Клиническое исследование проводилось согласно протоколу CD-PS-01/21 (одобрено Советом по этике Министерства здравоохранения Российской Федерации (протокол № 298 от 18.01.2022), разрешение Министерства здравоохранения Российской Федерации № 90 от 10.02.2022) и в соответствии с принятыми нормами и правилами проведения клинических исследований. Клиническое исследование проводилось в отделении клинических испытаний Федерального бюджетного учреждения науки «Северо-Западный научный центр гигиены и общественного здоровья».
Всего в рамках I–II фазы клинического исследования 325 добровольцев (42,5% — мужчины, 57,5% — женщины, средний возраст добровольцев составил 42,36±15,95 лет, возрастной интервал — 18–92 лет) прошли этап скрининга, из них включено в исследование 289 добровольцев (42,2% — мужчины, 57,8% — женщины, средний возраст составил 43,18±15,95 лет, возрастной интервал — 18–92 лет), соответствующие критериям включения в исследование и не имеющие критериев невключения в исследование.
Критерии включения:
- Наличие подписанного и датированного информированного согласия добровольца на участие в клиническом исследовании до проведения любой из процедур исследования;
- Возраст от 18 лет;
- Индекс массы тела (ИМТ) от 18,5 до 34,9 кг/м2;
- Способность посетить все запланированные визиты и выполнить все запланированные процедуры и исследования;
- Согласие на полное половое воздержание или использование эффективного метода контрацепции в течение всего исследования (до дня 7);
- Доброволец соответствует одному из следующих условий:
а) вакцинирован вакциной «ЭпиВакКорона» (согласно Федеральному регистру граждан, вакцинированных от COVID-19) не менее чем за 14 и не более чем за 180 дней до включения в исследование;
б) вакцинирован вакциной «Гам-КОВИД-Вак» (согласно Федеральному регистру граждан, вакцинированных от COVID-19, то есть получивших вторую дозу двухкомпонентной вакцины при первичной вакцинации или получивших дозу вакцины «Спутник-Лайт» в режиме ревакцинации) не менее чем за 14 и не более чем за 180 дней до включения в исследование;
в) вакцинирован вакциной «КовиВак» (согласно Федеральному регистру граждан, вакцинированных от COVID-19) не менее чем за 14 и не более чем за 180 дней до включения в исследование;
г) перенес инфекцию COVID-19 (то есть имеет эпидемиологический номер в базе данных Роспотребнадзора) c датой выздоровления не менее чем за 14 и не более чем за 180 дней до включения в исследование, но не вакцинирован от COVID-19 (то есть отсутствует запись в Федеральном регистре граждан, вакцинированных от COVID-19);
д) не переносил инфекцию COVID-19 (то есть отсутствует эпидемиологический номер в базе данных Роспотребнадзора) и не вакцинирован от COVID-19 (для Фазы I или для Группы 5 в Фазе II).
Критерии невключения:
- Детский возраст до 18 лет;
- Беременность и период грудного вскармливания;
- Военнослужащие и сотрудники правоохранительных органов;
- Лица, находящиеся под стражей в следственных изоляторах и отбывающие наказания в местах лишения свободы;
- Контакты с заболевшими COVID-19 в течение 14 дней до визита скрининга;
- Симптомы любого острого заболевания на момент визита скрининга;
- Любое острое заболевание, разрешившееся не менее чем за 4 недели до визита скрининга;
- Любое острое заболевание органов дыхательной системы менее чем за 3 месяца до визита скрининга;
- Обострение хронических заболеваний менее чем за 4 недели до начала исследования;
- Гиперчувствительность или аллергия к любому компоненту исследуемого препарата в анамнезе;
- Наличие в анамнезе туберкулеза (легочный и внелегочный), онкологических заболеваний, аутоиммунных заболеваний, кожных заболеваний (пузырчатка, псориаз, экзема, атопический дерматит);
- Длительное применение (более 14 дней) иммунодепрессантов, системных глюкокортикостероидов или иммуномодулирующих препаратов в течение 6 месяцев, предшествующих визиту скрининга;
- Положительный анализ на ВИЧ, вирусные гепатиты В и С, сифилис;
- Вакцинация другими вакцинами от SARS-CoV-2, за исключением перечисленных: «ЭпиВакКорона», «Гам-КОВИД-Вак», «КовиВак».
Примечание. Пациенты, вакцинированные вакциной «Спутник Лайт» не в режиме ревакцинации (то есть без ранее проведенной вакцинации двумя дозами вакцины Гам-КОВИД-Вак) также не допускались к участию в исследовании;
Вакцинация любой другой вакциной в течение одного месяца, предшествующего визиту скрининга, или запланированная вакцинация в ходе исследования.
- Прием лекарственных препаратов иммуноглобулина или препаратов крови в течение последних 3 месяцев до визита скрининга;
- Донорство (450 мл крови или плазмы и более) менее чем за 2 месяца до визита скрининга;
- Любые прочие острые и хронические заболевания, наличие которых по мнению исследователя делает участие добровольца в исследовании небезопасным или несовместимо с соблюдением режима, предусмотренного протоколом и получением достоверных данных в ходе исследования;
- Участие в других клинических исследованиях с приемом исследуемого препарата (или применением медицинского изделия) менее чем за 1 месяц до визита скрининга;
- Лица с алкогольной, лекарственной или наркотической зависимостью. Прием более чем 10 единиц алкоголя в неделю (1 ед. алкоголя эквивалентна 500 мл пива, 200 мл вина или 50 мл водки) или анамнестические сведения об алкоголизме, наркомании, злоупотреблении лекарственными препаратами;
- Наличие психических заболеваний;
- Несоответствие критериям включения;
- Для Фазы I и для добровольцев, заявленных к включению в Группу 5: положительный результат анализа на антитела к SARS-CoV-2.
На первой фазе исследования процедуру скрининга прошли 28 добровольцев. В исследование по результатам скрининга были включены 20 добровольцев, ранее не переносивших новую коронавирусную инфекцию и не вакцинированные против нее. На фазе I исследования распределения добровольцев на группе и маскировка данных не проводилась.
На второй фазе исследования процедуру скрининга прошли 297 добровольцев. В исследование, по результатам скрининга, были включены 269 волонтеров, соответствующим критерия включения.
На фазе II испытуемые добровольцы, отобранные по критериям включения и невключения, были разделены на пять групп:
- Группа 1 (n = 79) — внутрикожное введение «КоронаДерм-PS» в дозе 0,2 мл лицам, вакцинированным вакциной «ЭпиВакКорона» (Согласно Федеральному регистру граждан, вакцинированных от COVID-19);
- Группа 2 (n = 82) — внутрикожное введение «КоронаДерм-PS» в дозе 0,2 мл лицам, вакцинированным вакциной «Гам-КОВИД-Вак» (Согласно Федеральному регистру граждан, вакцинированных от COVID-19);
- Группа 3 (n = 25) — внутрикожное введение препарата «КоронаДерм-PS» в дозе 0,2 мл лицам, вакцинированным вакциной «КовиВак» (Согласно Федеральному регистру граждан, вакцинированных от COVID-19);
- Группа 4 (n = 80) — внутрикожное введение препарата «КоронаДерм-PS» в дозе 0,2 мл лицам, перенесшим инфекцию COVID-19 (то есть имеющих эпидемиологический номер в базе данных Роспотребнадзора), но не вакцинированным от COVID-19 (то есть отсутствует запись в Федеральном регистре граждан, вакцинированных от COVID-19);
- Группа 5 (n = 23) — внутрикожное введение препарата «КоронаДерм-PS» в дозе 0,2 мл лицам, не переносившим инфекцию COVID-19 (то есть с отсутствием эпидемиологического номера в базе данных Роспотребнадзора) и не вакцинированным от COVID-19 (то есть отсутствует запись в Федеральном регистре граждан, вакцинированных от COVID-19).
На фазе II добровольцу одномоментно вводился Препарат № 1 («КоронаДерм-PS») и Препарат № 2 (Натрия хлорид буфус растворитель для приготовления лекарственных форм для инъекций 0,9%). Препараты набирались в шприцы таким образом, что добровольцы не могли знать место введения исследуемого препарата и плацебо.
Максимальный срок участия для каждого добровольца в исследовании как фазы I, так и фазы II составлял 13 дней:
- период скрининга (Визит 0) — до 7 суток;
- амбулаторное наблюдение — 6 суток.
В случае если у добровольца отмечались непредвиденные нежелательные реакции, по особому запросу медицинского монитора добровольцу предлагалось оставаться под наблюдением врача-исследователя до полного выздоровления или стабилизации состояния.
График проведения процедур клинического исследования представлен в табл. 1.
Таблица 1. График проведения процедур клинического исследования
Table 1. Clinical trial schedule
| Исследования и процедуры Event | Скрининг Screening | Инъекция, наблюдение Injection, observation | Наблюдение Observation | ||
| Визит 0 Visit 0 | Визит 1 Visit 1 | Визит 2 Visit 2 | Визит 3 Visit 3 | Визит 4 Visit 4 | |
| День от –1 до –7 Day from –1 to –7 | 1 сутки после инъекции (+24 ч±2 ч) 1 day after injection (+24 h±2 h) | 3 суток после инъекции (+72 ч±3 ч) 3 days after injection (+72 h±3 h) | 6 суток после инъекции (+144 ч±4 ч) 6 days after injection (+144 h±4 h) | ||
| Получение письменного информированного согласия Informed consent form | Х | ||||
| Сбор и регистрация анамнеза Anamnesis | Х | ||||
| Сбор демографических и антропометрических данных Demographic and anthropometric data | Х | ||||
| Сбор данных по сопутствующей терапии Concomitant therapy info | Х | Х | Х | Х | Х | 
| Физикальный осмотр Physical examination | Х | Х1 | Х | Х | Х | 
| Витальные показатели (АД, ЧСС, ЧДД, термометрия) Vital signs (blood pressure, heart rate, respiratory rate, thermometry) | Х | Х2 | Х | Х | Х | 
| Взятие крови из вены для биохимического, клинического анализа крови, коагулограммы Blood for biochemical analysis, clinical blood test, blood clotting tests | Х | X | |||
| Взятие крови из вены на ВИЧ, гепатиты B и C, сифилис HIV, HBV, HCV, Syphilis tests | X | ||||
| Отбор мочи для проведения общего анализа мочи Urine test | Х | X | |||
| Взятие крови из вены для определения антител к SARS-CoV-2 в ИФА Quantitative ELISA to Detect Anti-SARS-CoV-2 IgG | Х | ||||
| Взятие крови из вены для определения общего IgE Serum IgE | X | X | |||
| Взятие мазков из носоглотки (или ротоглотки) на наличие РНК вируса SARS-CoV-2 PCR Test for COVID-19 | Х | ||||
| Оценка Т-клеточного иммунитета в условиях ex vivo с помощью проточной цитометрии T-cells IFNγ production test | Х8 | X8,9 | |||
| Флюорография Fluorography | X | ||||
| Тест на беременность3 Pregnancy test3 | Х | X | |||
| Проведение ЭКГ Electrocardiography | Х | Х4 | Х4 | Х4 | Х4 | 
| Оценка критериев включения/невключения Evaluation of inclusion/exclusion criteria | Х | X5 | 
 | 
 | 
 | 
| Инъекция препарата «КоронаДерм-PS» (и плацебо для Фазы II) “CoronaDerm-PS” injection (and placebo in Phase II) | 
 | Х | 
 | 
 | 
 | 
| Оценка общих реакций Systemic reactions examination | 
 | X6 | X | X | X | 
| Оценка местных реакций Local reactions examination | 
 | X6 | X | X | X | 
| Оценка аллергических реакций Allergic reactions examination | 
 | X6 | X | X | X | 
| Осмотр аллерголога Allergologist examination | 
 | X7 | X | X4 | X4 | 
| Измерение кожной пробы Skin test measure | 
 | 
 | X | Х | X | 
| Контроль за возможным развитием НЯ и СНЯ AE and SAE monitorting | 
 | Х | Х | Х | Х | 
| Заполнение первичной документации и перенос информации в ИРК IRB/IEC records | Х | Х | Х | Х | Х | 
Примечание. 1 Краткий физикальный осмотр перед проведением инъекции (общее состояние, кожа и слизистые оболочки, дыхание, сердцебиение, живот); 2 термометрия перед проведением инъекции, затем все витальные показатели через 0,5, 1, 1,5 и 2 ч после инъекции; 3 для женщин, способных к деторождению; 4 при необходимости (по показаниям); 5 краткое подтверждение критериев в письменном виде; 6 через 0,5, 1, 1,5 и 2 ч после инъекции; 7 осмотр аллерголога через 30 минут обязателен, далее выполнялся по показаниям; 8 также проведен подсчет субпопуляций CD4+, CD8+ Т-лимфоцитов и их соотношения ; 9 только для групп 1, 2 и 3 (Фаза II).
Note. 1 Short physical examination; 2 thermometry before injection, then vital signs in 0.5, 1, 1.5, 2 hours after injection; 3 woman only; 4 if required; 5 short confirmation of criteria; 6 0.5, 1, 1.5, 2 hours after injection; 7 allergologist examination 30 minutes after injection necessary, another visit if required; 8 CD4+, CD8+ T cells, CD4+/CD8+ ratio tests also; 9 group 1, 2, 3 only (Phase II).
Для оценки безопасности и переносимости препарата «КоронаДерм-PS» на первом этапе (фаза I) исследование проводилось в одной группе и без кодирования препарата. Данный дизайн позволил в полной мере оценить безопасность препарата, его переносимость, что позволило перейти ко второму этапу (фаза II) исследования. Фаза II представляла собой простое слепое плацебо-контролируемое исследование, направленное на оценку безопасности и реактогенности исследуемого препарата, а также его специфической активности у лиц, вакцинированных различными вакцинами и у перенесших коронавирусную инфекцию, в сравнении с добровольцами, ранее не переносившими инфекцию COVID-19 и не вакцинированным от COVID-19, а также Т-клеточного иммунного ответа на специфические антигены SARS-CoV-2 у добровольцев. Данный дизайн позволяет снизить риск ложных местных и системных НЯ благодаря применению одновременно с ИП плацебо, а также получить более точную информацию о переносимости препарата «КоронаДерм-PS».
Лабораторные и инструментальные методы обследования
Флюорография. Рентгенологическое исследование легких осуществлялось на этапе скрининга при отсутствии документированных данных о прохождении ФЛГ в течение 1 года до скрининга.
Электрокардиография. Стандартная ЭКГ в 12 отведениях проводилась во время Визита 0 (скрининга). Расшифровка ЭКГ производилась врачом, обладающим достаточной квалификацией, чтобы правильно расшифровать ЭКГ.
Клинический анализ крови. У каждого добровольца исследовались следующие показатели: количество эритроцитов, лейкоцитов, тромбоцитов, уровень гемоглобина, лейкоцитарная формула аппаратным методом на анализаторе «Horiba ABX Pentra 60». Скорость оседания эритроцитов определялась по методу Панченкова.
Биохимический анализ крови. Были определены следующие показатели: активность ферментов аланинтрансаминазы, аспартатрансаминазы, лактатдегидрогеназы, щелочной фосфатазы, холестерин, общий белок, общий билирубин, глюкоза, креатинин, мочевина, СРБ, а также общий уровень иммуноглобулинов класса Е (IgE) на автоматическом анализаторе Furuno CA-270 методом турбидиметрии с использованием реагентов «ДиаС» производства АО «ДИАКОН-ДС».
Коагулограмма. Проводилось определение показателей свертывающей системы крови (МНО, АЧТВ, фибриноген) клоттинговым методом с использованием реагентов производства «НПО Ренам».
Исследование на ВИЧ, гепатит В и С. Исследование на вирус иммунодефицита человека проводилось путем определения антител к ВИЧ с помощью набора реагентов для иммуноферментного выявления антител к вирусам иммунодефицита человека 1 и 2 типов «КомбиБест анти-ВИЧ-1+2» (АО «Вектор-Бест»). Исследование на наличие поверхностного антигена вируса гепатита В и суммарных антител к вирусу гепатита С проводили хемилюминесцентным иммуноанализом с использованием «ARCHITECT» Abbott.
Общий анализ мочи. Были исследованы следующие показатели: прозрачность, цвет, удельный вес, pH, белок, глюкоза, лейкоциты, эритроциты, цилиндры, соли, слизь, эпителий, бактерии, билирубин, кетоны, нитриты, уробилиноген на автоматическом анализаторе Siemens Clinitek Status Plus методом «сухой химии».
Определение антител к SARS-CoV-2. Содержание специфических антител определялось в образцах сыворотки добровольцев с помощью набора реагентов для иммуноферментного количественного определения антител человека класса IgG к N-белку SARS-CoV-2 («N-CoV-2-IgG PS») согласно инструкции производителя (ФБУН НИИ эпидемиологии и микробиологии имени Пастера).
Определение наличия РНК SARS-CoV-2 в мазках из носоглотки (или ротоглотки). Определение наличия и концентрации РНК SARS-CoV-2 в образцах биологических жидкостей проводили методом RT-PCR. Выделение РНК из всех образцов, в том числе контрольных, проводилось с использованием комплекта реагентов для выделения РНК/ДНК из клинического материала «РИБО-преп» (ФБУН ЦНИИ Эпидемиологии Роспотребнадзора) согласно инструкции производителя. Определение РНК SARS-CoV-2 в реакции обратной транскрипции, проводили с использованием Набора регентов для выявления РНК коронавируса SARS-CoV-2 в клиническом материале методом полимеразной цепной реакции в реальном времени («COVID-2019 Amp») согласно инструкции производителя (ФБУН НИИ эпидемиологии и микробиологии имени Пастера). Результаты исследования интерпретировали в соответствии с инструкцией к набору.
Оценка Т-клеточного иммунитета в условиях ex vivo с помощью проточной цитометрии. Проведения оценки продукции IFNγ CD4+ Т-лимфоцитами проводилось по следующему протоколу исследования.
Взятие венозной крови доноров осуществляли в пробирки с добавлением гепарина (10 ЕД/мл). Кровь смешивали со стерильным физиологическим раствором, забуференным фосфатами (ЗФР) в соотношении 1:2 и наслаивании на градиент плотности 1,077 г/мл Histopaque-1077 (Sigma-Aldrich, США), после чего центрифугировали в течение 30 мин при 400g и температуре 18–22°С. По завершении центрифугирования собирали слой мононуклеарных клеток, образовавшийся на границе раздела фаз. Полученную суспензию клеток дважды отмывали полной культуральной средой (ПКС), приготовленной на основе RPMI-1640 (Биолот, Санкт-Петербург) с добавлением 10% инактивированной эмбриональной телячьей сыворотки (ЭТС, Биолот, Санкт-Петербург), 50 мкг/мл гентамицина (Биолот, Санкт-Петербург) и 2 мМ L-глутамина (Биолот, Санкт-Петербург) в течение 7 мин при 300g. После чего определяли количество полученных клеток при помощи гемоцитометра. Для постановки экспериментов в лунки 96-луночных планшетов (Sarstedt, Германия) вносили по 200 мкл клеточной суспензии (1–2 × 107 клеток в мл) в ПКС. В качестве положительного контроля протекания реакции использовали SEB (Staphylococcus Enterotoxin B) в конечной концентрации 1 мкг/мл. Равный объем культуральной среды, на которой готовили конечный раствор SEB, использовали в качестве негативного контроля протекания реакции. Для стимуляции клеток препарата «КоронаДерм-PS» в финальной концентрации 5 мкг/мл. Для подавления секреции цитокинов клетками во все образцы вносили блокатор аппарата Гольджи брефелдин-А в конечной концентрации 10 мкг/мл. Далее образцы инкубировали при 37°С в атмосфере 5% СО2 в течение 18 ч. По завершении инкубации клетки ресуспендировали в охлажденном ЗФР, содержащий 2% ЭТС, переносили в пробирки для центрифугирования и дважды отмывали избытком ЗФР (300g в течение 8 мин). Полученную суспензию клеток использовали для оценки внутриклеточной продукции цитокинов.
Далее осуществляли окраску образцов антителами для поверхностных антигенов CD45RA-ECD, CD4-PC7, CD3-APC-Cy7, а также красителем Zombie Aqua, позволяющим отличить живые клетки от погибших, в соответствии с рекомендациями фирм-производителей. Дальнейшую пробоподготовку осуществляли при помощи набора для окраски внутриклеточных антигенов IntraPrep Permaebilization Reagent по инструкции фирмы-производителя. Для выявления клеток, накопивших в составе цитоплазматического компартменты IFNγ, применяли антитела против IFNγ человека, конъюгированные с ФИТЦ. По завершении подготовки образцов к анализу клетки ресуспендировали в 2% растворе нейтрального формалина на PBS. Анализ образцов проводили на проточном цитофлуориметре NovoCyte Flow Cytometer, оснащенном тремя диодными лазерами 405, 488 и 638 нм. В каждом из образцов оценивали относительное содержание IFNγ+ клеток с фенотипом CD3+CD4+CD45RA–, результата выражали в виде процента IFNγ+ лимфоцитов от общего числа Т-хелперов памяти (CD3+CD4+CD45RA–).
Тест на беременность. Тест на беременность у женщин с сохраненным репродуктивным потенциалом проводился в условиях клинического центра с помощью тест-полоски (иммунохроматографическое определение бета-хорионического гонадотропина в моче).
Статистическая обработка данных. Для проведения статистического анализа был использован пакет статистических программ «IBM SPSS Statistics 26» (International Business Machines Corp., США).
В статистическую обработку включались данные, полученные от всех участников исследования, которые подверглись воздействию изучаемого препарата, независимо от степени следования протоколу в ходе исследования.
Демографические данные и первичные параметры эффективности оценивались с помощью параметрических и непараметрических методов.
Основные лабораторные показатели, полученные в ходе исследования, обрабатывались по правилам описательной статистики. Величины подобных показателей были представлены в виде среднего значения и стандартного отклонения или медианы и интерквартильного размаха, в зависимости от характера распределения оцениваемого признака.
Данные по безопасности оценивались по частоте выявления нежелательных явлений. Частоты развития НЯ/СНЯ и других признаков в группах (частотный анализ) сравнивали с помощью критерия хи-квадрат (преимущественно) или точного критерия Фишера (если ожидаемая частота признака в одной из подгрупп менее 5. Сравнение выраженности побочных явлений (слабая, умеренная, тяжелая) между группами проводилось с помощью непараметрического теста Манна–Уитни.
При оценке безопасности препарата для клинико-лабораторных, биохимических и иммунобиологических показателей рассчитывалось среднее арифметическое и его доверительный интервал с достоверностью p < 0,05.
Результаты
Оценка безопасности препарата «КоронаДерм-PS»
Несмотря на то что препарат вводился внутрикожно в минимальной дозе и не ожидалось значимого проникновения в системный кровоток, введение препарата вызывало реакцию организма, которая иногда имела клиническую манифестацию. Протоколом клинического исследования была предусмотрена классификация реакций на местные, системные и аллергические.
Оценка местных и системных реакций проводилась по 4-балльной шкале (табл. 2).
Таблица 2. Оценка выраженности симптомов по 4-балльной шкале
Table 2. Assessment of the symptom severity
| 0 | Отсутствует Absent | Отсутствие симптомов Absent of the symptoms | 
| 1 | Слабая Mild | Наличие слабовыраженных симптомов Mild symptoms | 
| 2 | Средняя Moderate | Симптомы, заметно нарушающие нормальную ежедневную деятельность Symptoms that significantly interrupt normal activity | 
| 3 | Сильная Severe | Симптомы, препятствующие нормальной ежедневной деятельности Symptoms that prevent normal activity | 
Оценку температурной реакции осуществляли при подмышечном измерении по следующим категориям:
- отсутствует ≤ 37°С;
- слабая > 37°С – ≤ 37,5°С;
- средняя > 37,5°С – ≤ 38,5°С;
- сильная > 38,5°С.
Связь НЯ с применением изучаемых препаратов оценивались по критериям Всемирной организации здравоохранения (ВОЗ) (табл. 3).
Таблица 3. Оценка связи НЯ с применением исследуемого препарата
Table 3. WHO-UMC causality categories
| Степень достоверности Causality term | Определение степени достоверности Assessment criteria | 
| Определенная Certain | Клинические проявления НЯ, нарушения лабораторных показателей возникают в период приема препарата, не могут быть объяснены наличием существующих заболеваний и влиянием других факторов. Проявления НЯ регрессируют после отмены лекарства и возникают вновь при повторном назначении препарата Event or laboratory test abnormality, with plausible time relationship to drug intake. Cannot be explained by disease or other drugs. Response to withdrawal plausible (pharmacologically, pathologically). Event definitive pharmacologically or phenomenologically (i.e. an objective and specific medical disorder or a recognised pharmacological phenomenon). Rechallenge satisfactory, if necessary | 
| Вероятная Probable/Likely | Клинические проявления НЯ, нарушения лабораторных показателей связаны по времени с приемом лекарства, вряд ли имеют отношение к сопутствующим заболеваниям или другим факторам, и которые регрессируют с отменой препарата. Ответная реакция на повторное назначение препарата неизвестна Event or laboratory test abnormality, with reasonable time relationship to drug intake. Unlikely to be attributed to disease or other drugs. Response to withdrawal clinically reasonable. Rechallenge not required | 
| Возможная Possible | Клинические проявления НЯ, изменения лабораторных показателей связаны по времени с приемом препарата, но их можно объяснить наличием сопутствующих заболеваний или приемом других лекарств и влиянием химических соединений. Информация о реакции на отмену лекарства неясная Event or laboratory test abnormality, with reasonable time relationship to drug intake. Could also be explained by disease or other drugs. Information on drug withdrawal may be lacking or unclear | 
| Сомнительная Unlikely | Клинические проявления НЯ, изменения лабораторных показателей возникают при отсутствии четкой временной связи с приемом лекарства; присутствуют другие факторы (лекарства, заболевания, химические вещества), которые могут быть причиной их возникновения Event or laboratory test abnormality, with a time to drug intake that makes a relationship improbable (but not impossible). Disease or other drugs provide plausible explanations | 
| Условная Conditional/Unclassified | Клинические проявления НЯ, нарушения лабораторных показателей, отнесенные к НЯ, трудно оценивать. Необходимы дополнительные данные для оценки или же эти данные в настоящее время анализируются Event or laboratory test abnormality. More data for proper assessment needed, or additional data under examination | 
| Не подлежащая классификации Unassessable/Unclassifiable | Сообщение о подозреваемой НР нельзя оценить, так как информация недостаточная или противоречивая. Report suggesting an adverse reaction. Cannot be judged because information is insufficient or contradictory. Data cannot be supplemented or verified | 
Регистрация нежелательных явлений (НЯ) происходила с момента введения препарата до Визита 4 включительно на основании данных, внесенных добровольцами в индивидуальные дневники самонаблюдения, а также из устных опросов добровольцев, проведения физикального и лабораторного обследования добровольцев. Клинические симптомы, которые могли развиваться после подписания информированного согласия, но до применения исследуемого препарата, регистрировались как факты анамнеза, а не как нежелательные явления.
При получении исследователем информации о возникновении НЯ при необходимости мог был назначен внеплановый визит в исследовательский центр в ближайшее возможное время. Добровольцу с НЯ оказывалась необходимая медицинская помощь. При внеплановом визите исследователь решал вопрос о возможности дальнейшего участия добровольца в исследовании.
При наличии показаний по решению врача-исследователя и лечащего врача могли были выполнены дополнительные клинические и/или лабораторно-инструментальные исследования при внеплановых визитах и/или в случае отсутствия разрешения НЯ к моменту Визита 4.
На первом этапе (фаза I) НЯ отмечались у 12 добровольцев, всего 45 НЯ слабой (n = 39, 86,7%) и средней (n = 6, 13,3%) степени выраженности. При этом НЯ средней степени выраженности имели сомнительную (n = 5) и не подлежащую классификация (n = 1) связь с исследуемым препаратом. Нежелательные явления слабой степени выраженности имели связь с ИП разной степени выраженности:
- определенная (n = 9);
- вероятная (n = 1);
- возможная (n = 5);
- сомнительная (n = 24).
Все НЯ отмечавшиеся на первом этапе (фаза I) исследования закончились выздоровлением/разрешением. Трем добровольцам потребовался прием лекарственных средств с целью купирования симптоматики НЯ.
На первом этапе (фаза I) НЯ, имеющие определенную (n = 9), вероятную (n = 1) и возможную (n = 5) связь с введением препарата, были представлены «ожидаемыми» НЯ, имели слабую степень выраженности и не потребовали применения мер для купирования данных клинических проявлений. Нежелательные проявления, имевшие среднюю степень выраженности, были расценены как имеющие сомнительную или не подлежащую классификации связь с ИП. Серьезных нежелательных явлений или летальных исходов не отмечалось, НЯ, потребовавших продления периода наблюдения или внеплановых визитов в исследовательский центр, также не отмечалось. Таким образом, на фазе I исследования была подтверждена безопасность и переносимость препарата «КоронаДерм-PS» у добровольцев.
На втором этапе (фаза II) НЯ были зафиксированы у 167 добровольцев, всего 433 НЯ слабой (n = 383, 88,5%), средней (n = 42, 9,7%) и сильной (n = 8, 1,8%) степени выраженности. Из общего числа НЯ 192 (44,3%) нежелательных явления были расценены как местные, 235 (54,3%) — как системные НЯ, а 6 (1,4%) — как аллергические нежелательные явления. Нежелательные явления слабой степени выраженности имели следующую связь с введение ИП:
- определенная (n = 156, 40,7% от общего числа НЯ слабой степени выраженности);
- вероятная (n = 11, 2,9%);
- возможная (n = 44, 11,5%);
- сомнительная (n = 168, 43,9%);
- условная (n = 2, 0,5%);
- не подлежащая классификации (n = 2, 0,5%).
Нежелательные явления средней степени выраженности имели следующую связь с введение ИП:
- определенная (n = 10, 23,8% от общего числа НЯ средней степени выраженности);
- вероятная (n = 3, 7,1%);
- возможная (n = 8, 19,0%);
- сомнительная (n = 21, 50,0%).
Нежелательные явления сильной степени выраженности имели следующую связь с введение ИП:
- определенная (n = 1, 12,5% от общего числа НЯ сильной степени выраженности);
- возможная (n = 1, 12,5%);
- сомнительная (n = 6, 75,0%).
Все НЯ отмечавшиеся на втором этапе (фаза II) исследования закончились выздоровлением/разрешением. В 93,5% случаев НЯ никаких терапевтических или диагностических мер в отношении нежелательного явления не предпринималось, клинические проявления разрешились самостоятельно в течение срока участия добровольца в клиническом исследовании.
На втором этапе (фаза II) НЯ, имеющие определенную (n = 167), вероятную (n = 14) и возможную (n = 53) связь с введением препарата имели слабую (n = 211) и среднюю (n = 23) степень выраженности
Также отмечены 2 НЯ с определенной (отек в месте введения) и возможной (потливость) связью с исследуемым препрататом, имевшие сильную степень выраженности. Отек в месте введения препарата, вероятнее всего, имел аллергический компонент, однако системной аллергической реакции в данном случае не отмечалось. Серьезных нежелательных явлений или летальных исходов не отмечалось. НЯ, потребовавшее продления периода наблюдения или внеплановых визитов в исследовательский центр, на втором этапе (фаза II) отмечено однократно. Однако данное НЯ (хроническая рецидивирующая крапивница с неспецифической гистаминолиберацией) является хроническим состоянием, склонным к спонтанным рецидивам. В случае рецидива во время исследования провоцирующим фактором, вероятнее всего, являлось введение препарата.
Таким образом, на фазе II исследования, была подтверждена безопасность и переносимость препарата «КоронаДерм-PS» у добровольцев.
Оценка эффективности препарата «КоронаДерм-PS»
Результат кожной пробы оценивался через одни сутки (24 ч±2 ч), через трое суток (72 ч±3 ч) и через шесть суток (144 ч±4 ч) с момента ее проведения путем измерения с помощью прозрачной линейки поперечного (по отношении к оси предплечья) размера гиперемии и инфильтрата (папулы) в миллиметрах c фиксацией изображения на цифровую камеру. Гиперемию учитывали только в случае отсутствия инфильтрата.
Кожная реакция на препарат «КоронаДерм-PS» считалась:
- отрицательной, при полном отсутствии инфильтрата и гиперемии или при наличии «уколочной реакции»;
- сомнительной, при наличии гиперемии без инфильтрата;
- положительной, при наличии папулы любого размера и/или гиперемии.
Положительные реакции на препарат «КоронаДерм-PS» условно различали по степени выраженности:
- слабо выраженная реакция, при наличии инфильтрата размером < 5 мм;
- умеренно выраженная реакция, при размере инфильтрата ≥ 5 мм, но < 10 мм;
- выраженная реакция, при размере инфильтрата ≥ 10 мм, но < 15 мм;
- гиперергическая реакция, при размере инфильтрата ≥ 15 мм, при везикуло-некротических изменениях и (или) лимфангите, лимфадените независимо от размера инфильтрата.
По результатам оценки сомнительных проб (наличие гиперемии при отсутствии папулы на Визите 3) корреляции между гиперемией и индексом стимуляции продукции IFNγ CD4+ Т-лимфоцитами методом проточной цитометрии не выявлено (p = 0,063484). В связи с этим был сделан вывод, что наличие гиперемии не связано с уровнем клеточного иммунитета к SARS-CoV-2, но при этом умеренно связано с уровнем гуморального иммунитета к SARS-CoV-2 (p = 0,391044). Исходя из полученных данных, сомнительные результаты принято считать отрицательным.
По результатам проведенного исследования было отмечено 74 отрицательных кожных реакции на введение препарата «КоронаДерм-PS» (из которых 45 сомнительных реакций) и 215 положительных реакций (рис. 1, II обложка). Среди положительных реакций по степени выраженности различали:
- 40 слабо выраженных реакций (18,60% от общего числа положительных);
- 91 умеренно выраженных реакций (42,32%);
- 48 выраженных реакций (22,32%);
- 36 гиперергических реакций (16,74%).
При оценке результатов по группам:
- группа 1: 6 отрицательных, 12 сомнительных, 61 положительная (9 слабовыраженных реакций, 25 умеренно выраженных, 15 выраженных реакций, 12 гиперергических);
- группа 2: 5 отрицательных, 9 сомнительных, 68 положительных (16 слабовыраженных реакций, 34 умеренно выраженных, 13 выраженных реакций, 5 гиперергических);
- группа 3: 0 отрицательных, 4 сомнительных, 21 положительная (5 слабовыраженных реакций, 5 умеренно выраженных, 4 выраженных реакций, 7 гиперергических);
- группа 4: 2 отрицательных, 15 сомнительных, 63 положительных (11 слабовыраженных реакций, 25 умеренно выраженных, 15 выраженных реакций, 12 гиперергических).
Рисунок 1. Примеры результата кожной реакции на препарат «КоронаДерм-PS»
Figure 1. “CoronaDerm-PS” skin tests results
Примечание. А) Положительный результат кожного теста «КоронаДерм-PS»; Б) cомнительный результат кожного теста
«КоронаДерм-PS»; В) ложноположительный результат кожного теста «КоронаДерм-PS»; Г) отрицательный результат
кожного теста «КоронаДерм-PS».
Note. A) “CoronaDerm-PS” skin test positive result; B) “CoronaDerm-PS” skin
Полученные результаты кожных реакций сравнивались с полученными показателями индекса стимуляции продукции IFNγ CD4+ Т-лимфоцитами методом проточной цитометрии (рис. 2) в связи с тем, что данный метод является «золотым» стандартом в оценке специфического клеточного иммунитета ex vivo [9, 10].
Рисунок 2. Результаты продукции IFNγ CD4+ Т-лимфоцитами методом проточной цитометрии
Figure 2. T-cells IFNγ production test results
Примечание. А) Положительный результат продукции IFNγ Т-лимфоцитами; Б) Отрицательный результат продукции IFNγ Т-лимфоцитами.
Note. A) T-cells IFNγ production test positive result; B) T-cells IFNγ production test negative result.
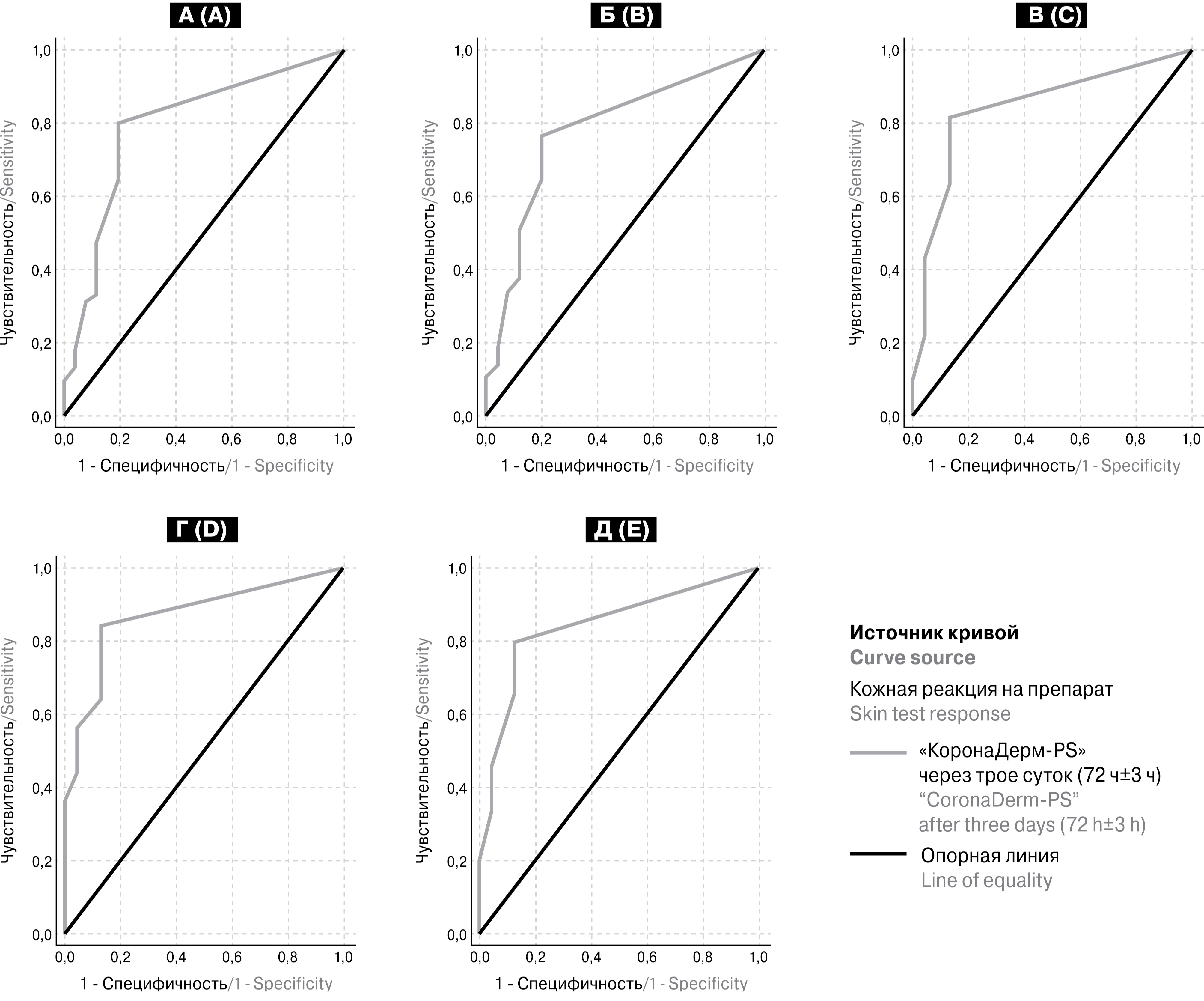
При проведении ROC-анализа для оценки диагностической точности исследуемого препарата в общей выборке добровольцев получены следующие результаты: площадь под ROC-кривой — 0,795 (SE = 0,048, р < 0,001, 95%ДИ 0,701–0,889) (рис. 3, А).
При проведении ROC-анализа для оценки диагностической точности исследуемого препарата в группе 1 получены следующие результаты: площадь под ROC-кривой — 0,782 (SE = 0,053, р < 0,001, 95%ДИ 0,678–0,887) (рис. 3, Б); в группе 2 площадь под ROC-кривой — 0,843 (SE = 0,047, р < 0,001, 95%ДИ 0,751–0,935) (рис. 3, В); группе 3 площадь под ROC-кривой составила 0,870 (SE = 0,054, р < 0,001, 95%ДИ 0,764–0,975) (рис. 3, Г); в группе 4 площадь под ROC-кривой — 0,844 (SE = 0,043, р < 0,001, 95%ДИ 0,760–0,928) (рис. 3, Д).
Рисунок 3. Результаты ROC-анализа (ROC-кривые)
Figure 3. ROC-analysis results (ROC-curve)
Примечание. А) ROC-кривая в общей выборке добровольцев; Б) ROC-кривая в группе 1 (ЭпиВакКорона); В) ROC-кривая в группе 2 (Гам-КОВИД-Вак); Г) ROC-кривая в группе 3 (КовиВак); Д) ROC-кривая в группе 4 (перенесшие коронавирусную инфекцию). Черная линия — линия равенства, серая линия— ROC-кривая. Ось X — частота ложноположительных результатов, ось Y — частота истинно положительных результатов.
Note. A) ROC curve, overall population; B) ROC curve, group 1; C) ROC curve, group 2; D) ROC curve, group 3; E) ROC curve, group 4. Black line — line of equality, grey line — ROC curve. X-axis: false-positive rate (1-specificity), Y-axis: true-positive rate (sensitivity).
Учитывая данные координат ROC-кривой и правила оценки кожной пробы, точкой отсечения (cut-off value) решено взять значение 1,0. Исходя из этого значения чувствительности и специфичности кожной пробы в общей выборке составили 79,8% и 80,8% соответственно. В группе 1 (вакцинированные вакциной «ЭпиВакКорона») показатели чувствительности и специфичности составили 76,6% и 80%, в группе 2 (вакцинированные вакциной «Гам-КОВИД-Вак») — 81,7% и 87%, в группе 3 (вакцинированные вакциной «КовиВак — 84% и 87%, в группе 4 (перенесшие коронавирусную инфекцию, но не вакцинированные) — 79,7% и 87,5% соответственно.
Обсуждение
В ходе выполнения клинического исследования каких-либо серьезных системных, аллергических и местных (связанных со способом введения лекарственного средства) НЯ не было зарегистрировано. Большинство НЯ были кратковременными, не требующими терапии и связаны с действием и способом введения препарата «КоронаДерм-PS». Наиболее часто встречаемыми НЯ были: боль, зуд и гиперемия в месте введения препарата.
В ходе настоящего исследования при оценке показателей общеклинических анализов крови и мочи, биохимического анализа крови, коагулограммы, фенотипирования субпопуляций лимфоцитов, параметров витальных функций не было зарегистрировано клинически значимых отклонений от нормы, а также негативной динамики клинико-лабораторных и инструментальных или объективных параметров.
При анализе полученных данных было выявлено, что оцениваемые иммунологические показатели также не имели клинически значимых отклонений от интервала референтных значений, что является одним из показателей безопасности изучаемого препарата.
По результатам оценки эффективности препарата «КоронаДерм-PS» было показано, что в сравнение с показателями индекса стимуляции продукции IFNγ CD4+ Т-лимфоцитами методом проточной цитометрии, исследуемый препарат является хорошим диагностическим тестом (AUC = 0,795), что является качественной прогностической моделью с довольно высокой чувствительностью (79,8%) и специфичностью (80,8%). Также показаны соответствующие результаты в различных группах добровольцев, что позволяет применять препарат «КоронаДерм-PS» среди групп населения с поствакцинальным и постинфекционным Т-клеточным иммунитетом к новой коронавирусной инфекции.
Возможность рутинного повсеместного использования препарата «КоронаДерм-PS» для оценки специфического клеточного иммунитета к SARS-CoV-2 в сочетании с описанными выше показателями диагностической эффективности доказывает качественные характеристики исследуемого препарата как инструмента для массового скрининга населения на наличие иммунитета к SARS-CoV-2 с целью проведения эпидемиологических исследований и массовой иммунопрофилактики COVID-19.
Заключение
Настоящее исследование позволило получить данные по безопасности применения препарата «КоронаДерм-PS» и его переносимости добровольцами путем оценки клинических, физикальных, лабораторных и инструментальных данных обследуемых субъектов на фоне введения препарата.
По результатам оценки эффективности препарата «КоронаДерм-PS» было показано, что в сравнении с показателями индекса стимуляции продукции IFNγ CD4+ Т-лимфоцитами методом проточной цитометрии, исследуемый препарат является качественной прогностической модель с достаточно высокой чувствительностью (79,8%) и специфичностью (80,8%). Показаны соответствующие показатели в различных группах добровольцев: группа 1 — 76,6% и 80%, группа 2 — 81,7% и 87%, группа 3 — 84% и 87%, группа 4 — 79,7% и 87,5% соответственно. Полученные данные позволяют применять препарат «КоронаДерм-PS» среди групп населения с поствакцинальным и постинфекционным Т-клеточным иммунитетом к SARS-CoV-2.
Исследуемый препарат показал свою безопасность с точки зрения влияния на жизненно-важные функции организма, общеклинические, иммунологические и инструментальные показатели. В ходе настоящего клинического исследования при исследовании клинических и лабораторных показателей не было зарегистрировано статистически значимых отклонений от нормы, связанных с введением препарата.
Применения препарата «КоронаДерм-PS» в рутинной практике не требует специфического оборудования и специально обученного персонала, способ введения препарата позволяет его применять массово в условиях амбулаторно-поликлинического звена. Учитывая внутрикожный путь введения препарата, вероятность развития системных аллергических реакций крайне мала
По результатам анализа данных клинического исследования можно сформулировать вывод о том, что препарат «КоронаДерм-PS» является качественной альтернативой лабораторных методов оценки специфического клеточного иммунитета к SARS-CoV-2 для массового скрининга, а также является безопасным и характеризуется хорошей переносимостью.
About the authors
Tikhon V. Savin
St. Petersburg Pasteur Institute; Pavlov First St. Petersburg State Medical University
							Author for correspondence.
							Email: savin@pasteurorg.ru
				                					                																			                								
Allergologist-Immunologist, Senior Laboratory Assistant, Department of Immunology
Россия, St. Petersburg; St. PetersburgA. M. Milichkina
St. Petersburg Pasteur Institute
														Email: savin@pasteurorg.ru
				                					                																			                								
PhD (Medicine), Head Physician of the Medical Center
Россия, Saint PetersburgA. A. Krasnov
St. Petersburg Pasteur Institute
														Email: savin@pasteurorg.ru
				                					                																			                								
DSc (Medicine), Senior Researcher, Department of Biomedical Statistics
Россия, St. PetersburgR. N. Kuznetsova
St. Petersburg Pasteur Institute, St. Petersburg; Pavlov First St. Petersburg State Medical University
														Email: savin@pasteurorg.ru
				                					                																			                								
PhD (Medicine), allergologist-immunologist
Associate Professor, Department of Immunology
Россия, St. Petersburg; St. PetersburgE. E. Shchederkina
St. Petersburg Pasteur Institute
														Email: savin@pasteurorg.ru
				                					                																			                								
PhD (Medicine), Doctor of Clinical Laboratory Diagnostics, Laboratory of Molecular Genetic Diagnostics
Россия, St. PetersburgA. V. Svarval
St. Petersburg Pasteur Institute
														Email: savin@pasteurorg.ru
				                					                																			                								
PhD (Medicine), Senior Researcher, Head of the Pathogens Identification Laboratory
Россия, St. PetersburgA. А. Sharova
St. Petersburg Pasteur Institute
														Email: savin@pasteurorg.ru
				                					                																			                								
Junior Researcher, Laboratory of Molecular Genetic Monitoring
Россия, St. PetersburgD. E. Reingardt
St. Petersburg Pasteur Institute
														Email: savin@pasteurorg.ru
				                					                																			                								
Doctor of Clinical Laboratory Diagnostic, Department of Diagnostics of HIV Infection and AIDS-related Diseases
Россия, St. PetersburgYu. V. Ostankova
St. Petersburg Pasteur Institute
														Email: savin@pasteurorg.ru
				                					                																			                								
PhD (Biology), Head of the Laboratory of immunology and Virology HIV Infection, Senior Researcher of the Laboratory of Molecular Immunology
Россия, St. PetersburgA. V. Gubanova
St. Petersburg Pasteur Institute
														Email: savin@pasteurorg.ru
				                					                																			                								
Doctor of Clinical Laboratory Diagnostics, Central Clinical Diagnostic Laboratory of the Medical Center
Россия, Saint PetersburgO. A. Petrova
St. Petersburg Pasteur Institute; Pavlov First St. Petersburg State Medical University
														Email: savin@pasteurorg.ru
				                					                																			                								
Doctor of Clinical Laboratory Diagnostics
Россия, Saint Petersburg; Saint PetersburgO. B. Zhimbaeva
St. Petersburg Pasteur Institute
														Email: savin@pasteurorg.ru
				                					                																			                								
Physician, Central Clinical Diagnostic Laboratory of the Medical Center
Россия, Saint PetersburgA. P. Razumovskaya
St. Petersburg Pasteur Institute
														Email: savin@pasteurorg.ru
				                					                																			                								
Doctor of Clinical Laboratory Diagnostics, Central Clinical Diagnostic Laboratory of the Medical Center
Россия, Saint PetersburgI. V. Drozd
St. Petersburg Pasteur Institute
														Email: savin@pasteurorg.ru
				                					                																			                								
PhD (Biology), Head of the Central Clinical Diagnostic Laboratory
Россия, Saint PetersburgA. А. Rubinstein
Institute of Experimental Medicine
														Email: savin@pasteurorg.ru
				                					                																			                								
Junior Researcher, Cell Immunology Laboratory, Department of Immunology
Россия, St. PetersburgA. S. Trulev
Institute of Experimental Medicine
														Email: savin@pasteurorg.ru
				                					                																			                								
PhD (Biology), Researcher, Department of Immunology
Россия, St. PetersburgI. V. Kudryavtsev
Pavlov First St. Petersburg State Medical University; Institute of Experimental Medicine
														Email: savin@pasteurorg.ru
				                					                																			                								
PhD (Biology), Assistant Professor, Department of Immunology, Head of the Cell Immunology Laboratory, Department of Immunology
Россия, Saint Petersburg; Saint PetersburgA. A. Riabchenkova
LLC “ATG Service-Gene”
														Email: savin@pasteurorg.ru
				                					                																			                								
Researcher
Россия, St. PetersburgE. L. Chirak
LLC “ATG Service-Gene”
														Email: savin@pasteurorg.ru
				                					                																			                								
Researcher
Россия, St. PetersburgE. R. Chirak
LLC “ATG Service-Gene”
														Email: savin@pasteurorg.ru
				                					                																			                								
Researcher
Россия, St. PetersburgA. I. Saenko
LLC “ATG Service-Gene”
														Email: savin@pasteurorg.ru
				                					                																			                								
Chief Process Engineer
Россия, St. PetersburgV. V. Kopat
LLC “ATG Service-Gene”
														Email: savin@pasteurorg.ru
				                					                																			                								
Development Director
Россия, St. PetersburgI. V. Dukhovlinov
LLC “ATG Service-Gene”
														Email: savin@pasteurorg.ru
				                					                																			                								
PhD (Biology), Director of Science
Россия, St. PetersburgA. S. Simbirtsev
St. Petersburg Pasteur Institute; Pavlov First St. Petersburg State Medical University
														Email: savin@pasteurorg.ru
				                					                																			                								
RAS Corresponding Member, DSc (Medicine), Professor, Head of the Laboratory of Medical Biotechnology, Professor of the Department of Immunology
Россия, St. Petersburg; St. PetersburgA. A. Totolian
St. Petersburg Pasteur Institute; Pavlov First St. Petersburg State Medical University
														Email: savin@pasteurorg.ru
				                					                																			                								
RAS Full Member, DSc (Medicine), Professor, Head of the Laboratory of Molecular Immunology, Director, Head of the Department of Immunology
Россия, St. Petersburg; St. PetersburgReferences
- Копать В.В., Рябченкова А.А., Чирак Е.Л., Чирак Е.Р., Саенко А.И., Колмаков Н.Н., Симбирцев А.С., Духовлинов И.В., Тотолян А.А. Разработка структуры и штамма-продуцента E. coli для антигена, содержащего последовательности белков N, S, M, E коронавируса SARS-CоV-2 // Инфекция и иммунитет. 2023. Т. 13, № 5. C. 653–662. [Kopat V.V., Riabchenkova A.A., Chirak E.L., Chirak E.R., Saenko A.I., Kolmakov N.N., Simbirtsev A.S., Dukhovlinov I.V., Totolian A.A. Designing structure and E. coli strain-producer bearing SARS-CoV-2 N, S, M, E proteinrelated sequence antigen. Infektsiya i immunitet = Russian Journal of Infection and Immunity, 2023, vol. 13, no. 4, pp. 653–662. (In Russ.)] doi: 10.15789/2220-7619-DSA-15624
- Копать В.В., Рябченкова А.А., Чирак Е.Л., Чирак Е.Р., Саенко А.И., Кудрявцев И.В., Трулев А.С., Савин Т.В., Зуева Е.В., Симбирцев А.С., Тотолян А.А., Духовлинов И.В. Разработка технологии очистки, биохимическая и иммунологическая характеристика рекомбинантного химерного антигена для оценки Т-клеточного иммунитета против коронавирусной инфекции // Медицинская иммунология. 2024. Т. 26, № 3. С. 591–606. [Kopat V.V., Riabchenkova A.A., Chirak E.L., Chirak E.R., Saenko A.I., Kudryavtsev I.V., Trulioff A.S., Savin T.V., Zueva E.V., Simbirtsev A.S., Totolian A.A., Dukhovlinov I.V. Purification technology design, biochemical and immunological characteristics of the recombinant chimeric antigen for evaluation of T cell immunity against coronavirus infection. Meditsinskaya immunologiya = Medical Immunology (Russia), 2024, vol. 26, no. 3, pp. 591–606. (In Russ.)] doi: 10.15789/1563-0625-PTD-2942
- Савин Т.В., Копать В.В., Рябченкова А.А., Чирак Е.Л., Чирак Е.Р., Саенко А.И., Духовлинов И.В., Сысоева Г.М., Гамалей С.Г., Шимина Г.Г., Таранов О.С., Даниленко Е.Д., Симбирцев А.С., Тотолян А.А. Экспериментальное исследование специфической иммунологической активности и безопасности препарата «КоронаДерм-PS» для оценки клеточного иммунитета против коронавируса SARS-CoV-2 // Инфекция и иммунитет. 2024. Т. 14, № 2. C. 238–250. [Savin T.V., Kopat V.V., Riabchenkova A.A., Chirak E.L., Chirak E.R., Saenko A.I., Dukhovlinov I.V., Sysoeva G.M., Gamaley S.G., Shimina G.G., Taranov O.S., Danilenko E.D., Simbirtsev A.S., Totolian A.A. Experimentally investigated “CoronaDerm-PS”-driven SARS-CoV-2-specific cellular immunity and safety. Infektsiya i immunitet = Russian Journal of Infection and Immunity, 2024, vol. 14, no. 2, pp. 238–250. (In Russ.)] doi: 10.15789/2220-7619- ESO-17661
- Adamo S., Michler J., Zurbuchen Y., Cervia C., Taeschler P., Raeber M.E., Baghai Sain S., Nilsson J., Moor A.E., Boyman O. Signature of long-lived memory CD8+ T cells in acute SARS-CoV-2 infection. Nature, 2022, vol. 602, no. 7895, pp. 148–155. doi: 10.1038/s41586-021-04280-x
- Bertoletti A., Le Bert N., Tan A.T. SARS-CoV-2-specific T cells in the changing landscape of the COVID-19 pandemic. Immunity, 2022, vol. 55, no. 10, pp. 1764–1778. doi: 10.1016/j.immuni.2022.08.008
- Kudryavtsev I., Rubinstein A., Golovkin A., Kalinina O., Vasilyev K., Rudenko L., Isakova-Sivak I. Dysregulated immune responses in SARS-CoV-2-infected patients: a comprehensive overview. Viruses, 2022, vol. 14, no. 5: 1082. doi: 10.3390/v14051082
- Lin Y., Zhu J., Liu Z., Li C., Guo Y., Wang Y., Chen K. Kinetics of severe acute respiratory syndrome coronavirus 2 infection antibody responses. Front. Immunol., 2022, no. 13: 864278. doi: 10.3389/fimmu.2022.864278
- Mantoux Ch. Intradermo-réaction de la tuberculine. Compt. Rend. Acad. Sci., 1908, vol. 147, pp. 355–357.
- Matyushenko V., Isakova-Sivak I., Kudryavtsev I., Goshina A., Chistyakova A., Stepanova E., Prokopenko P., Sychev I., Rudenko L. Detection of IFNγ-Secreting CD4+ and CD8+ Memory T Cells in COVID-19 Convalescents after Stimulation of Peripheral Blood Mononuclear Cells with Live SARS-CoV-2. Viruses, 2021, vol. 13, no. 8: 1490. doi: 10.3390/v13081490
- Sekine T., Perez-Potti A., Rivera-Ballesteros O., Strålin K., Gorin J.B., Olsson A., Llewellyn-Lacey S., Kamal H., Bogdanovic G., Muschiol S., Wullimann D.J., Kammann T., Emgård J., Parrot T., Folkesson E.; Karolinska COVID-19 Study Group, Rooyackers O., Eriksson L.I., Henter J.I., Sönnerborg A., Allander T., Albert J., Nielsen M., Klingström J., Gredmark-Russ S., Björkström N.K., Sandberg J.K., Price D.A., Ljunggren H.G., Aleman S., Buggert M. Robust T Cell Immunity in Convalescent Individuals with Asymptomatic or Mild COVID-19. Cell, 2020, vol. 183, no. 1, pp. 158–168.e14. doi: 10.1016/j.cell.2020.08.017
- Shao W., Chen X., Zheng C., Liu H., Wang G., Zhang B., Li Z., Zhang W. Effectiveness of COVID-19 vaccines against SARS-CoV-2 variants of concern in real-world: a literature review and meta-analysis. Emerg. Microbes Infect., 2022, vol. 11, no. 1, pp. 2383–2392. doi: 10.1080/22221751.2022.2122582
Supplementary files
 
				
			 
					 
						

 
  
  
  
  
  Email this article
			Email this article 





 СМИ зарегистрировано Федеральной службой по надзору в сфере связи, информационных технологий и массовых коммуникаций (Роскомнадзор).
 СМИ зарегистрировано Федеральной службой по надзору в сфере связи, информационных технологий и массовых коммуникаций (Роскомнадзор).