The role of сhemokine CX3CL1/Fractalkine in chronic viral hepatitis B
- Authors: Arsentieva N.A.1, Batsunov O.K.1,2, Liubimova N.E.1, Basina V.V.3, Esaulenko E.V.1,3, Totolian A.A.1,2
-
Affiliations:
- St. Petersburg Pasteur Institute
- Pavlov First Saint Petersburg State Medical University
- St. Petersburg State Pediatric Medical University
- Issue: Vol 14, No 3 (2024)
- Pages: 609-614
- Section: SHORT COMMUNICATIONS
- Submitted: 26.07.2024
- Accepted: 26.07.2024
- Published: 28.07.2024
- URL: https://iimmun.ru/iimm/article/view/17744
- DOI: https://doi.org/10.15789/2220-7619-CCR-16721
- ID: 17744
Cite item
Full Text
Abstract
Hepatitis B is an infectious disease resulting from infection with the hepatitis B virus. Chronic hepatitis B (CHB) is characterized by prolonged inflammation in the liver, the development of fibrosis, liver cirrhosis and hepatocellular carcinoma. Factors of the immune system play a critical role in the pathogenesis of CHB. Thanks to chemokines, immune cells migrate to the site of inflammation to implement their effector functions. The CX3CL1/Fractalkine chemokine is the only member of the CX3C family of chemokines with unique structural and functional properties. Its receptor CX3CR1 is expressed mainly on the surface of cytotoxic effector lymphocytes such as NK cells, TNK and cytotoxic T lymphocytes. The purpose of our study was to analyze the content of CX3CL1/Fractalkine in the blood plasma of patients with CHB and the analysis of this chemokine with liver fibrosis. The concentration of CX3CL1/Fractalkine was determined in the blood plasma of patients with CHB using a multiplex assay based on xMAP technology. Blood plasma from patients with chronic viral hepatitis C (CHC) and autoimmune liver diseases (AILD) was used as a comparison group. The control group consisted of healthy individuals. For statistical analysis of data, nonparametric statistics methods were used: Kruskal–Wallis test, Spearman correlation coefficient ROC-analysis. It was shown a reduced level of CX3CL1/Fractalkine in patients with CHB compared with the control group (p = 0.0003) and with the comparison groups of CHC (p < 0.0001) and AILD (p = 0.0005). A reduced concentration of CX3CL1/Fractalkine was shown in the blood plasma of CHB patients with initial fibrosis (p = 0.0092) and severe fibrosis/cirrhosis (p = 0.0009), while in patients with severe fibrosis/cirrhosis, a significantly reduced level of this chemokine was established compared with the initial degree of liver fibrosis (p = 0.0081). Correlation analysis revealed a highly significant inverse relationship between the severity of liver fibrosis and the content of CX3CL1/Fractalkine in the blood plasma of patients with CHB (Spearman r = –0.33; p = 0.02). Thus, the chemokine CX3CL1/Fractalkine is included in the immunopathogenesis of CHB; its reduced content is characteristic only of CHB and does not change in other chronic liver diseases. It is involved in the processes of liver fibrosis during infection with the hepatitis B virus. The concentration of the chemokine CX3CL1/Fractalkine depends on the stage of liver fibrosis in CHB, and a decrease in the level of CX3CL1/Fractalkine in the blood plasma can serve as a negative factor in the development of CHB.
Full Text
Введение
Вирус гепатита В (ВГВ) представляет собой нецитопатический ДНК-вирус, отличающимся чрезвычайно высокой устойчивостью к факторам окружающей среды и обладающим высокой тропностью к гепатоцитам. При инфицировании ВГВ может развиться острый либо хронический гепатит, при этом вероятность развития хронической формы снижается с увеличением возраста пациентов [1]. При хроническом вирусном гепатите В (ХВГВ) у пациентов развивается фиброз печени, существует высокий риск развития цирроза печени, а также гепатоцеллюлярной карциномы (ГЦК) [4]. По данным ВОЗ, в 2019 г. в мире насчитывалось 296 млн человек, живущих с ХВГВ, при этом ежегодно происходит около 1,5 млн новых случаев инфицирования [2].
Показано, что важнейшую роль в контроле ВГВ играют факторы иммунной системы, включающие NK-клетки, ТNK-клетки, моноциты и дендритные клетки, а также факторы адаптивной иммунной системы, в особенности, цитотоксические Т-лимфоциты (CTL), Th1-клетки и регуляторные Т-клетки [8, 11]. Внутрипеченочные иммунные реакции могут быть индуцированы паттерн-распознающими рецепторами, такими как Toll-, RIG-I- и Nod-подобными рецепторами. Кроме того, гепатоциты при инфицировании ВГВ сами по себе могут секретировать интерферон [6]. Мощной цитотоксической функцией, способной контролировать инфицирование ВГВ, обладают NK-клетки, TNK-клетки и CTL [10]. Однако персистирующая инфекция, вызванная ВГВ, может подавлять эффекторную функцию цитотоксических клеток иммунной системы с помощью различных механизмов [13].
Хемокины, ответственные за миграцию различных иммунных клеток, продуцируются моноцитами, эндотелиальными клетками, звездчатыми клетками печени и гепатоцитами [5]. Гепатоциты напрямую поражаются ВГВ и потенциальное количество хемокинов, продуцируемых гепатоцитами, может быть выше, чем другими клетками (моноцитами, эндотелиальными клетками и звездчатыми клетками печени) [7].
Известно, что хемокин CX3CL1/Fractalkine существует как в секретируемой, так и в мембраносвязанной формах, индуцирует супрессивную активность в опухолевых клетках, включая ГЦК [14]. Его рецептор, CX3CR1, экспрессируется на NK-клетках, CD8⁺ Т-клетках, CD4⁺ Т-клетках, моноцитах и т. д. [12]. Учитывая, что CX3CL1/Fractalkine участвует в привлечении критически значимых для борьбы с ВГВ клеток иммунной системы в очаг воспаления в печени, представляет интерес исследование его содержания в плазме крови больных, инфицированных ВГВ, и связи хемокина CX3CL1/Fractalkine с повреждением печени и фиброзом. Таким образом, целью нашего исследования стал анализ содержания CX3CL1/Fractalkine в плазме крови больных ХВГВ и связи этого хемокина с фиброзом печени.
Материалы и методы
Пациенты. В исследование было включено 47 пациентов в возрасте 24–69 лет с подтвержденным диагнозом «ХВГВ», без сопутствующих патологий. Все пациенты проходили стационарное лечение в Клинической инфекционной больнице им. С.П. Боткина, являющейся клинической базой кафедры инфекционных болезней взрослых и эпидемиологии ФГБОУ ВО «Санкт-Петербургский государственный педиатрический медицинский университет» МЗ РФ. Постановку диагноза, клинический осмотр больных, УЗИ органов брюшной полости, клинический анализ крови и мочи, биохимическое исследование крови, эластометрию печени для определения стадии фиброза осуществляли врачи указанного медицинского учреждения. Диагноз ХВГВ выставлялся на основании обнаружения в периферической крови пациентов серологических маркеров вируса гепатита В: HBsAg, анти-HBs IgG, анти-HBСor IgG, HBeAg, анти-HBe IgG и наличия вирусной ДНК. Группа сравнения состояла из 73 пациентов с диагнозом «хронический вирусный гепатит С» (ХВГС), проходивших лечение в этом же учреждении, сопоставимые по полу и возрасту с исследуемой группой. А также из 30 пациентов с аутоиммунными заболеваниями печени (АИЗП), включающая аутоиммунный гепатит и первичный билиарный цирроз, проходивших стационарное лечение в СПбГУЗ «Городской клинической больнице № 31». Контрольную группу составили условно здоровые лица (n = 32), у которых отсутствовали любые клинико-лабораторные и морфологические признаки поражения печени и соматические заболевания.
Материалом исследования служила периферическая кровь. Образцы крови забирали в вакуумные пробирки с антикоагулянтом K2ЭДТА, центрифугировали при 350g в течение 10 минут для отделения плазмы. Плазму отбирали в криопробирки, замораживали и хранили при –80°С до проведения анализа.
Набор материала для исследования осуществлялся в период 2015–2019 гг. Все исследования были выполнены в соответствии с требованиями Хельсинкской декларации Всемирной медицинской ассоциации «Этичес кие принципы проведения научных и медицинских исследований с участием человека» (с поправками 2008 г.) и нормативными документами «Правила клинической практики в Российской Федерации» (утвержденные Приказом Минздрава РФ № 226 от 19.06.2003 г.) и «Правила надлежащей клинической практики в Российской Федерации» (утвержденные Приказом Минздрава РФ № 200н от 01.04.2016 г.). На проведение данного исследования было получено согласие Локального этического комитета ФБУН «Санкт-Петербургский НИИ эпидемиологии и микробиологии имени Пастера». От всех пациентов получено добровольное информированное согласие перед включением в исследование.
Анализ цитокинов. В плазме крови определяли концентрацию хемокина CX3CL1/Fractalkine. Исследование проводили методом мультиплексного анализа по технологии xMAP (Luminex, США) с использованием наборов с магнитными частицами Milliplex HCYTA-60K-PX48 (Merck-Millipore) согласно инструкции фирмы-производителя. Регистрацию и анализ данных проводили на приборе Luminex MAGРIX (Luminex, США). Данное исследование выполнено на базе центра коллективного пользования «Цитометрия и биомаркеры» ФБУН НИИ эпидемиологии и микробиологии имени Пастера.
Статистическая обработка. Статистическую обработку данных проводили в программе GraphPad Prizm6. Поскольку полученные данные не подчинялись нормальному распределению, для анализа выборок использовали методы непараметрической статистики. Для межгрупповых сравнений применяли критерий Краскела–Уоллиса, для корреляционного анализа определяли коэффициент корреляции Спирмена. Достоверными считали различия между группами при р < 0,05. Результаты представлены в виде медианы (Ме) и межквартильного размаха (Q₂₅–Q₇₅). Информативность измеряемой величины определяли методом ROC-анализа (reciever operating curve) с определением площади под ROC-кривой (AUC).
Результаты и обсуждение
Результаты определения концентрации хемокина CX3CL1/Fractalkine в плазме крови больных ХВГВ, ХВГС и АИЗП представлены на рис. 1.
Рисунок 1. Концентрация хемокина CX3CL1/Fractalkine в плазме крови больных хроническим вирусным гепатитом В (ХВГВ), хроническим вирусным гепатитом С (ХВГС) и аутоиммунными заболеваниями печени (АИЗП)
Figure 1. Concentration of the chemokine CX3CL1/Fractalkine in the blood plasma in patients with chronic hepatitis B (CHB), chronic hepatitis C (CHC) and autoimmune liver diseases (AILD)
Примечание. Пунктирная горизонтальная полоса обозначает межквартильный интервал (Q₂₅–Q₇₅) для здоровых доноров. На графиках для каждой группы горизонтальные полосы обозначают медиану и межквартильный размах (Q₂₅–Q₇₅).
Note. The dotted horizontal bar represents the interquartile range (Q₂₅–Q₇₅) for healthy donors. In the graphs for each group, horizontal bars indicate the median and interquartile range (Q₂₅–Q₇₅).
В плазме крови больных ХВГВ обнаружен сниженный уровень хемокина CX3CL1/Fractalkine как по сравнению с контрольной группой (р = 0,0003), так и с группами сравнения ХВГС (р < 0,0001) и АИЗП (р = 0,0005). Таким образом, сниженное содержание хемокина CX3CL1/Fractalkine характерно только для ХВГВ и не изменяется при других хронических заболевания печени, таких как ХВГС и АИЗП.
Далее больных ХВГВ распределили на две группы в зависимости от стадии заболевания, на основании оценки выраженности фиброза в соответствии со стандартизированной системой «METAVIR»: F0–1 — отсутствие/слабо выраженный фиброз и F4 — тяжелый фиброз (с порто-центральными септами)/цирроз. Обнаружена сниженная концентрация CX3CL1/Fractalkine в плазме крови больных ХВГВ со стадиями фиброза F0–1 (р = 0,0092) и F4 (р = 0,0009) (рис. 2). Обращает на себя внимание сниженная концентрация CX3CL1/Fractalkine в группе больных с тяжелым фиброзом/циррозом (F4) по равнению с начальной степенью фиброза печени (F0–1) (p = 0,0081). Таким образом, снижение уровня CX3CL1/Fractalkine в плазме крови может служить неблагоприятным фактором развития ХВГВ.
Рисунок 2. Концентрация хемокина CX3CL1/Fractalkine в плазме крови больных хроническим вирусным гепатитом В (ХВГВ) с начальной степенью фиброза печени F0–1 и с тяжелым фиброзом/циррозом F4
Figure 2. Concentration of the chemokine CX3CL1/Fractalkine in the blood plasma in patients with chronic hepatitis B (CHB) with an initial degree of liver fibrosis F0–1 and with severe fibrosis/cirrhosis F4
Примечание. Пунктирная горизонтальная полоса обозначает межквартильный интервал (Q₂₅–Q₇₅) для здоровых доноров. На графиках для каждой группы горизонтальные полосы обозначают медиану и межквартильный размах (Q₂₅–Q₇₅).
Note. The dotted horizontal bar represents the interquartile range (Q₂₅–Q₇₅) for healthy donors. In the graphs for each group, horizontal bars indicate the median and interquartile range (Q₂₅–Q₇₅).
В результате корреляционного анализа была выявлена обратная связь высокой степени значимости между тяжестью фиброза печени и содержанием CX3CL1/Fractalkine в плазме крови больных ХВГВ (Spearman r = –0,33; р = 0,02). Таким образом, продемонстрировано, что концентрация хемокина CX3CL1/Fractalkine зависит от стадии фиброза печени при ХВГВ.
CX3CL1/Fractalkine является единственным представителем семейства хемокинов CX3C с уникальными структурными и функциональными свойствами. В отличие от других хемокинов, полипептидная цепь фракталкина человека представляет собой белок из 397 аминокислот, содержащий трансмембранный домен [15]. Основными источниками CX3CL1/Fractalkine в периферической крови и печени являются моноциты при воспалительных состояниях. Также CX3CL1/Fractalkine могут секретировать макрофаги, фибробласты, эндотелиальные и дендритные клетки [9]. Его рецептором служит CX3CR1 — высокоселективный хемокиновый рецептор, представленный в основном на поверхности цитотоксических эффекторных лимфоцитов, таких как NK-клетки, TNK-клетки и CTL, которые экспрессируют большое количество перфорина и гранзима B, независимо от их происхождения и способа распознавания клеток-мишеней. Клетки, обладающие цитотоксической активностью, играют важнейшую роль в иммунопатогенезе ХВГВ, поскольку адекватный иммунный ответ, опосредованный этими клетками, позволяет контролировать ВГВ [3].
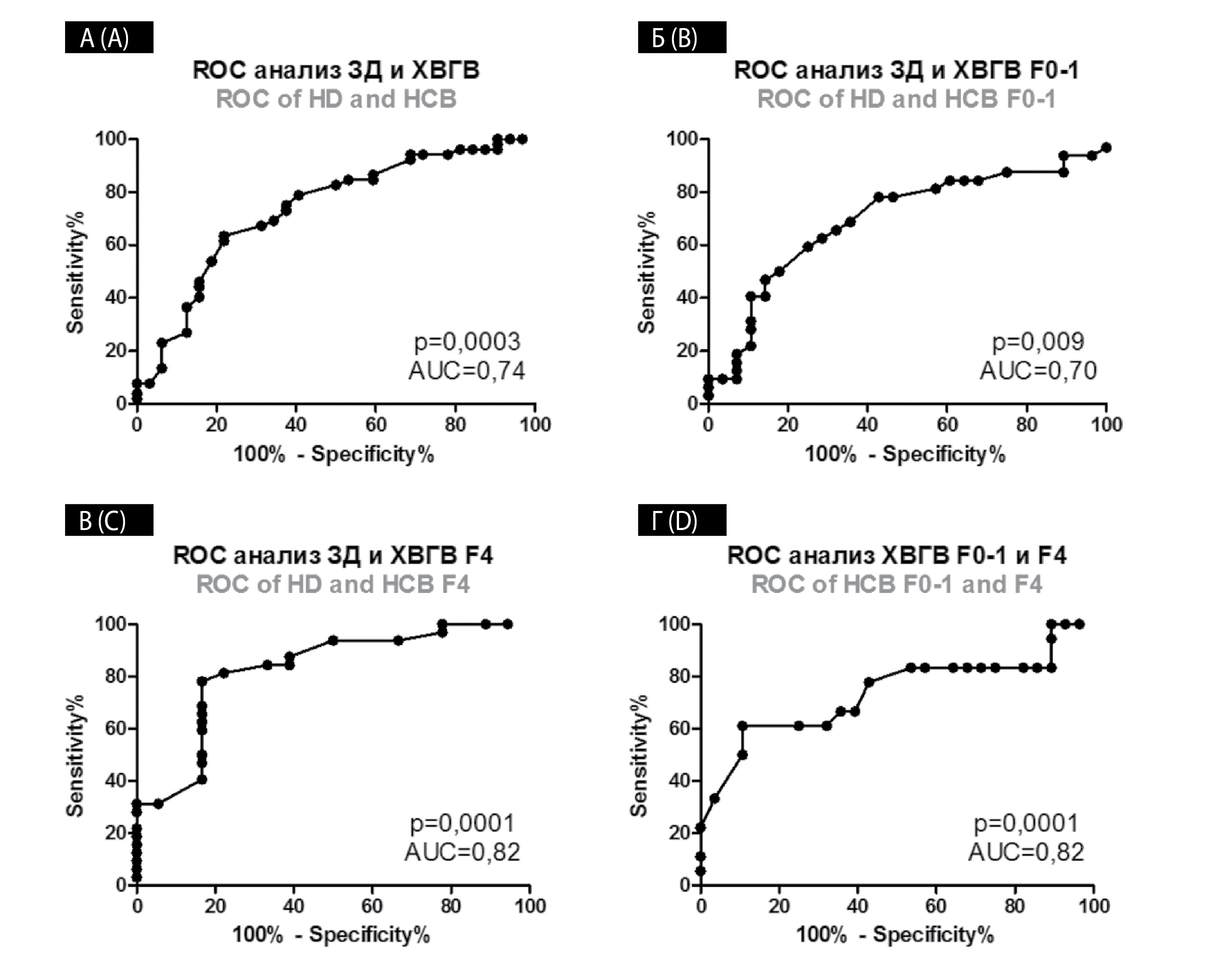
Сниженный уровень CX3CL1/Fractalkine в плазме больных ХВГВ косвенно может указывать на недостаточную активность эффекторных клеток. Данные проведенного нами ROC-анализа свидетельствуют, что концентрация CX3CL1/Fractalkine в плазме крови с высокой степенью достоверности может служить биомаркером ХВГВ (рис. 3). Более того, использование оценки содержания CX3CL1/Fractalkine в плазме крови может помочь в дифференциальной диагностике степени фиброза печени. Таким образом, сниженный уровень CX3CL1/Fractalkine может служить предиктором негативного развития заболевания уже на ранних стадиях.
Рисунок 3. ROC-кривые, характеризующие зависимость чувствительности и специфичности CX3CL1/Fractalkine при сравнении групп пациентов с ХВГВ в зависимости от степени фиброза печени и здоровых доноров (ЗД)
Figure 3. ROC curves characterizing the dependence of the sensitivity and specificity of CX3CL1/Fractalkine when comparing groups of patients with CHB depending on the degree of liver fibrosis and healthy donors (HD)
Примечание. А — здоровые доноры (ЗД) и больные ХВГВ; Б — здоровые доноры и больные ХВГВ с начальной степенью фиброза печени F0–1; В — здоровые доноры и больные ХВГВ с тяжелым фиброзом/циррозом F4; Г — больные ХВГВ со стадиями фиброза F0–1 и F4. На графиках указаны значения площади под ROC-кривой (AUC).
Note. A — healthy donors and patients with CHBV; B — healthy donors and CHB patients with an initial degree of liver fibrosis F0–1; C — healthy donors and CHB patients with severe fibrosis/cirrhosis F4; D — CHB patients with fibrosis stages F0–1 and F4. The graphs show area under ROC-curve (AUC) values.
Полученные нами результаты могут свидетельствовать о различных иммунопатологичес ких механизмах в печени, приводящих к фиброзу при вирусных заболеваниях различной этиологии и аутоиммунных заболеваниях печени. Хемокин CX3CL1/Fractalkine не только вовлечен в иммунопатогенез ХВГВ и участвует в процессах фиброзирования печени при инфицировании ВГВ.
Благодарности
Авторы выражают благодарность заведующей отделением терапии СПбГУЗ «Городская клиническая больница № 31» Н.М. Смирновой за предоставление биоматериала и сопутствую щей информации от пациентов с аутоиммунными заболеваниями печени.
About the authors
Natalia A. Arsentieva
St. Petersburg Pasteur Institute
Author for correspondence.
Email: arsentieva_n.a@bk.ru
PhD (Biology), Senior Researcher, Laboratory of Molecular Immunology
Россия, 197101, St. Petersburg, Mira str., 14O. K. Batsunov
St. Petersburg Pasteur Institute; Pavlov First Saint Petersburg State Medical University
Email: arsentieva_n.a@bk.ru
Junior Researcher, Laboratory of Molecular Immunology, Senior Laboratory Assistant, Department of Immunology
Россия, 197101, St. Petersburg, Mira str., 14; St. PetersburgN. E. Liubimova
St. Petersburg Pasteur Institute
Email: arsentieva_n.a@bk.ru
PhD (Biology), Researcher, Laboratory of Molecular Immunology
Россия, 197101, St. Petersburg, Mira str., 14V. V. Basina
St. Petersburg State Pediatric Medical University
Email: arsentieva_n.a@bk.ru
PhD (Medicine), Assistant of the Department
Россия, St. PetersburgE. V. Esaulenko
St. Petersburg Pasteur Institute; St. Petersburg State Pediatric Medical University
Email: arsentieva_n.a@bk.ru
DSc (Medicine), Professor, Head of the Viral Hepatitis Laboratory, Head of the Department of Infectious Diseases Adults and Epidemiology
Россия, 197101, St. Petersburg, Mira str., 14; St. PetersburgA. A. Totolian
St. Petersburg Pasteur Institute; Pavlov First Saint Petersburg State Medical University
Email: arsentieva_n.a@bk.ru
RAS Full Member, DSc (Medicine), Professor, Director, Head of the Department of Immunology
Россия, 197101, St. Petersburg, Mira str., 14; St. PetersburgReferences
- Бацунов О.К., Арсентьева Н.А., Любимова Н.Е., Эсауленко Е.В., Семенов А.В., Тотолян Арег А. Содержание некоторых цитокинов и хемокинов в крови пациентов с хроническим гепатитом В на ранних стадиях фиброза печени // Медицинская иммунология. 2020. Т. 22, № 2. С. 291–300. [Batsunov O.K., Arsentieva N.A., Lyubimova N.E., Esaulenko E.V., Semenov A.V., Totolyan A.A. Content of certain cytokines and chemokines in blood ofpatients with chronic hepatitis B in the early stages of liver fibrosis. Meditsinskaya immunologiya = Medical Immunology (Russia), 2020, vol. 22, no. 2, pp. 291–300. (In Russ.)] doi: 10.15789/1563-0625-COC-1964
- Всемирная организация здравоохранения. Гепатит B. URL: https://www.who.int/ru/news-room/fact-sheets/detail/hepatitis-b
- Семенов А.В., Арсентьева Н.А., Любимова Н.Е., Тюленев С.В., Басина В.В., Эсауленко Е.В., Тотолян А.А. Роль цитокинов и хемокинов в лабораторной диагностике хронического вирусного гепатита С // Клиническая лабораторная диагностика. 2015. T. 60, № 8. С. 45–51. [Semenov A.V., Arsentieva N.A., Lubimova N.E., Tulienev S.V., Basina V.V., Esaulenko E.V., Totolian A.A. The role of cytokines and сhemokines in laboratory diagnostic of chronic viral hepatitis C. Klinicheskaya laboratornaya diagnostika = Russian Clinical Laboratory Diagnostics, 2015, vol. 60, no. 8, pp. 45–51. (In Russ.)]
- Учайкин В.Ф., Чередниченко Т.В., Смирнов А.В. Инфекционная гепатология. М.: ГЭОТАР-Мед, 2014. 627 с. [Uchaikin V.F., Cherednichenko T.V., Smirnov A.V. Infectious hepatology. Мoscow: GEOTAR-Med, 2014. 627 p. (In Russ.)]
- Capone F., Costantini S., Guerriero E., Calemma R., Napolitano M., Scala S., Izzo F., Castello G. Serum cytokine levels in patients with hepatocellular carcinoma. Eur. Cytokine Netw., 2010, vol. 21, no. 2, pp. 99–10⁴. doi: 10.1684/ecn.2010.0192
- Chen X., Qian Y., Yan F., Tu J., Yang X., Xing Y., Chen Z. 5’-triphosphate-siRNA activates RIG-I-dependent type I interferon production and enhances inhibition of hepatitis B virus replication in HepG2.2.15 cells. Eur. J. Pharmacol., 2013, vol. 721, no. 1-3, pp. 86–95. doi: 10.1016/j.ejphar.2013.09.050.
- Hassanshahi G., Jafarzadeh A., James Dickson A. Expression of stromal derived factor alpha (SDF-1 alpha) by primary hepatocytes following isolation and heat shock stimulation. Iran J. Allergy Asthma Immunol., 2008, vol. 7, no. 2, pp. 61–68.
- Jegaskanda S., Ahn S.H., Skinner N., Thompson A.J., Ngyuen T., Holmes J., De Rose R., Navis M., Winnall W.R., Kramski M., Bernardi G., Bayliss J., Colledge D., Sozzi V., Visvanathan K., Locarnini S.A., Kent S.J., Revill P.A. Downregulation of interleukin-18-mediated cell signaling and interferon gamma expression by the hepatitis B virus e antigen. J. Virol., 2014, vol. 88, no. 18, pp. 10⁴12–10⁴20. doi: 10.1128/JVI.00111-14
- Jones B.A., Beamer M., Ahmed S. Fractalkine/CX3CL1: a potential new target for inflammatory diseases. Mol. Interv., 2010, vol. 10, no. 5, pp. 263–270. doi: 10.1124/mi.10.5.3
- Kakimi K., Guidotti L.G., Koezuka Y., Chisari F.V. Natural killer T cell activation inhibits hepatitis B virus replication in vivo. J. Exp. Med., 2000, vol. 192, no. 7, pp. 921–930. doi: 10.10⁸4/jem.192.7.921
- Kondo Y., Kimura O., Tanaka Y., Ninomiya M., Iwata T., Kogure T., Inoue J., Sugiyama M., Morosawa T., Fujisaka Y., Shimosegawa T. Differential Expression of CX3CL1 in Hepatitis B Virus-Replicating Hepatoma Cells Can Affect the Migration Activity of CX3CR1+ Immune Cells. J. Virol., 2015, vol. 89, no. 14, pp. 7016–7027. doi: 10.1128/jvi.00716-15
- Matsubara T., Ono T., Yamanoi A., Tachibana M., Nagasue N. Fractalkine-CX3CR1 axis regulates tumor cell cycle and deteriorates prognosis after radical resection for hepatocellular carcinoma. J. Surg. Oncol., 2007, vol. 95, no. 3, pp. 241–249. doi: 10.1002/jso.20642
- Sun C., Fu B., Gao Y., Liao X., Sun R., Tian Z., Wei H. TGF-β1 down-regulation of NKG2D/DAP10 and 2B4/SAP expression on human NK cells contributes to HBV persistence. PLoS Pathog., 2012, vol. 8, no. 3: e1002594. doi: 10.1371/journal.ppat.1002594
- Tang L., Hu H.D., Hu P., Lan Y.H., Peng M.L., Chen M., Ren H. Gene therapy with CX3CL1/Fractalkine induces antitumor immunity to regress effectively mouse hepatocellular carcinoma. Gene Ther., 2007, vol. 14, no. 16, pp. 1226–1234. doi: 10.1038/sj.gt.3302959
- Zlotnik A., Yoshie O. Chemokines: a new classification system and their role in immunity. Immunity, 2000, vol. 12, no. 2, pp. 121–127. doi: 10.1016/s1074-7613(00)80165-x
Supplementary files







