Genomic diversity of toxigenic Vibrio cholerae O1 biovar El Tor strains isolated during three waves of the 7th cholera pandemic
- Authors: Smirnova N.I.1, Rybal’chenko D.A.1, Lozovsky Y.V.1, Krasnov Y.M.1, Shchelkanova E.Y.1, Fedorov A.V.1, Kutyrev V.V.1
-
Affiliations:
- Russian Anti-Plague Institute “Microbe” of Rospotrebnadzor
- Issue: Vol 15, No 1 (2025)
- Pages: 57-70
- Section: ORIGINAL ARTICLES
- Submitted: 27.06.2024
- Accepted: 13.08.2024
- Published: 30.04.2025
- URL: https://iimmun.ru/iimm/article/view/17701
- DOI: https://doi.org/10.15789/2220-7619-GDO-17701
- ID: 17701
Cite item
Full Text
Abstract
Introduction. High genome variability of the 7th cholera pandemic agent, V. cholerae El Tor, led to emergence of genovariants with distinct set of altered genes. The aim of the work was to analyze the dynamics of changes in pathogenicity, epidemicity as well as drug resistance and phylogeny in toxigenic strains of V. cholerae El Tor isolated in Russia and endemic regions during three waves of ongoing pandemic. Materials and methods. We used whole-genome nucleotide sequences of 155 strains, obtained by us (42) and taken from the NCBI Genbank (113). DNA sequencing was performed on Ion PGM platform. Phylogenetic relations were determined based on the Bayesian analysis of core SNPs obtained using Snippy 4.6 software package. Antibiotic resistance was assessed applying disk diffusion test. Results. SNP data revealed that the studied strains (1970–2023) might be divided into three clusters. A clear correlation between each-cluster strain genotype and relevant isolation timing was observed. Separation of genetically altered cluster II and III strains isolated during the 2nd and 3rd waves of the pandemic from typical cluster I strains is associated with acquisition of new DNA regions and mutations in pathogenicity and drug resistance genes. Due to different combination of mutations, cluster III strains are genetically heterogeneous. Genome comparison showed that this diversity increased dramatically during the 3rd wave, which led to emergence of new genovariants with higher pathogenic and epidemic potential. It is demonstrated that antibiotic resistance in strains both from endemic regions and Russia over the past 30 years (1993–2023) has undergone significant changes. Thereat, the changing drug resistance clearly correlated with the occurrence of mutations in various pathogenicity genes. Conclusion. It is shown that over the past two decades the agent genome underwent a rather rapid change resulting in emergence of various genovariants. A change in the pathogen variants in Russia has been established. Strains combining genetic markers of hyper-virulence and multiple drug resistance are of particular concern. Genome variability of the strains identified in points at a need for constant genomic surveillance to obtain data on altering epidemically important properties for timely generation of new diagnostic and preventive means.
Full Text
Введение
На протяжении более 60 лет мы являемся свидетелями развития седьмой пандемии холеры, начавшейся в 1961 г. на Индийском субконтиненте, откуда происходило ее распространение по всему миру тремя независимыми, но перекрывающимися волнами [1, 19]. Продолжающиеся в настоящее время эпидемии и вспышки холеры в эндемичных странах Юго-Восточной Азии, Африки, Южной Америки создают реальные риски ее завоза в другие регионы, включая Россию, территория которой является неэндемичной. Все зарегистрированные эпидемические вспышки или спорадические случаи холеры в России всегда имели заносной характер [4, 6]. Возбудителем текущей пандемии являются токсигенные штаммы Vibrio cholerae серогруппы O1 биовара Эль Тор, относящиеся к типичным и генетически измененным или геновариантам. Патогенность типичных штаммов, вызвавших первую волну пандемии (1961–1990 гг.), обусловлена присутствием в геноме профага CTXφElTor с опероном ctxAB3, кодирующим холерный токсин (или CT), и острова патогенности VPI-1 с генами tcpAElTor-F, определяющими продукцию токсин-корегулируемых пилей (или TCP) — основного фактора колонизации кишечника человека [21, 23]. Пандемический (эпидемический) потенциал связан с островом пандемичности VSP-II, продукты генов которого обеспечивают высокий уровень адаптации возбудителя к меняющимся условиям окружающей среды [15].
Однако в дальнейшем геном возбудителя в процессе эволюции претерпел большие изменения, что привело к появлению различных геновариантов, отличающихся от типичных штаммов генетическими и фенотипическими свойствами. Впервые возникшие генетические варианты (1991–1994 гг.) вызвали вторую волну пандемии, вытеснив типичные штаммы [19, 20]. Ключевым событием в их формировании стало приобретение возбудителем холеры Эль Тор горизонтально перенесенных генов ctxAB1 из профага CTXφClass холерных вибрионов классического биовара — возбудителя предыдущих шести пандемий азиатской холеры [20]. Второе важное событие — появление в геноме патогена интегративного конъюгативного элемента (или ICE) SXT c генами резистентности к различным антибиотикам [10, 25]. Из 30 известных его типов наиболее распространенными были ICEVchInd5(floR, strAB, sul2, dfrA1) и ICEVchBan9(floR, strAB, sul2, tetAR, dfrA1). Основное различие между ними — разный набор генов резистентности к антибиотикам [2, 7, 16, 25]. Приобретение новой генетической информации привело к повышению вирулентности и антимикробной устойчивости патогена, а также получению вариантами селективного преимущества относительно типичных штаммов, что обусловило вытеснение последних практически во всех эндемичных регионах [12, 28]. Тем не менее примерно через 10 лет в период третьей волны пандемии произошла замена этих вариантов новыми [19].
Характерной особенностью генома штаммов из третьей волны пандемии стали точечные мутации в ключевых и дополнительных генах патогенности и лекарственной устойчивости, а также внутригеномная перестройка острова пандемичности VSP-II. Однонуклеотидные замены в генах ctxB1 и tcpA из профага CTXφ и острова патогенности VPI-1 привели к появлению их новых аллелей ctxB7 и tcpACIRS101 соответственно и продукции измененных факторов патогенности [22, 26]. Результатом мутации в гене rtxA, кодирующем многофункциональный цитотоксин MARTX, стало появление его аллеля rtxA4 c потерей функции этого гена [14]. К тому же за счет протяженной делеции около 30 генов в VSP-II произошла утрата генетического материала и образование VSP-IIΔ(vc0495 — vc0512) [27]. Кроме того, возникли мутации, которые повлекли изменение резистентности к антибиотикам — возникновение устойчивости к налидиксовой кислоте за счет мутаций в генах gyrA (G248T) и parC (C254T) [17] и чувствительности к полимиксину B в результате однонуклеотидной замены в гене carR (G265A) [24]. Следствием указанных событий стало формирование высокопатогенных новых геновариантов с уникальным набором факторов вирулентности, антимикробной резистентности и высоким уровнем адаптации к стрессовым воздействиям окружающей среды, что привело к их глобальному распространению [11, 19, 22] и росту заболеваемости холерой в мире c увеличенным числом случаев тяжелого течения [13].
Первые эпидемические проявления холеры в Российской Федерации (РФ) начались в 1970 г. в период первой волны пандемии и были связаны с завозом возбудителя в Астраханскую область из Ирана и дальнейшим распространением инфекции в других населенных пунктах Поволжья [3]. Кроме того, небольшие вспышки и единичные случаи холеры регистрировались и в других регионах РФ (Украина, Азербайджан, Грузия, Башкирия, Ставрополь) [1, 5]. Исследование ряда клинических изолятов показало, что они относились к типичным штаммам, содержащим в составе оперона ctxAB аллель ctxB3. Однако в дальнейшем во время двух других волн пандемии все известные случаи холеры в РФ были связаны с другими вариантами [4, 6, 18].
Впервые генетически измененные штаммы с ctxB1 были завезены в различные регионы РФ в 1993–2001 гг., став причиной эпидемических вспышек, либо спорадических случаев холеры в разных регионах страны [9, 10, 18]. Однако вскоре, начиная с 2004 г., на территорию России были завезены другие варианты возбудителя c дополнительными мутациями в эпидемически важных генах. Мутациями были затронуты гены патогенности (ctxB1, tcpAElTor, rtxA1) и лекарственной устойчивости [4, 11, 18]. При этом различные штаммы вариантов имели разный набор мутантных генов, что определяло их неодинаковый патогенный и эпидемический потенциалы.
Высокая скорость эволюции и адаптации возбудителя холеры к внешней среде будет и в дальнейшем приводить к формированию новых вариантов и их заносу в РФ. Это обстоятельство указывает на необходимость проведения геномного надзора за патогеном c целью мониторинга генетических изменений штаммов, как занесенных в Россию, так и циркулирующих в эндемичных регионах, для своевременного создания адекватных средств диагностики и профилактики холеры. Несмотря на большой интерес многих исследователей к генетическому анализу различных вариантов возбудителя [2, 4, 8, 9, 11, 18], получение системных данных об изменении эпидемически важных свойств штаммов V. choleraе Эль Тор за последние 50 лет (1970–2023 гг.) остается актуальной задачей, решение которой позволит повысить оперативность и качество общей системы эпидемиологического надзора.
Цель работы — анализ динамики изменения генов патогенности, эпидемичности и лекарственной устойчивости токсигенных штаммов V. choleraе Эль Тор из Российской Федерации и эндемичных регионов, выделенных в период трех волн текущей пандемии, и их филогенетический анализ.
Материалы и методы
Использовали нуклеотидные последовательности полных геномов 155 токсигенных штаммов V. cholerae О1 биовара Эль Тор, выделенных в разные периоды текущей пандемии в России и эндемичных регионах (табл. 1). Нуклеотидные последовательности штаммов были получены нами (42 штамма) или взяты из NCBI GenBank (113 штаммов).
Таблица. Генетические свойства штаммов V. cholerae О1 Эль Тор из России и эндемичных по холере стран
Table. Genetic features of V. cholerae O1 El Tor strains isolated in Russia and cholera-endemic countries
Штаммы, годы выделения Strains, years of isolation | Аллель гена ctxB ctxB gene allele | Аллель гена tcpA tcpA gene allele | Аллель гена rtxA rtxA gene allele | VSP-II | gyrA | parC | carR |
Штаммы из РФ Strains isolated in Russian Federation | |||||||
1970–1990 гг. M888, M893, M1062, M818, M1011, M1067, M1020, P8194, M671, M642, M1261, C402 | ctxB3 | tcpAElTor | rtxA1 | VSP-II | gyrA | parC | carR |
1993–2001 гг. 1275, M1270, M1293, I1181*, 28, 155, M1327, I1344*, I1300*, I1298*, I1187*, M1266, M1268, P17644, M1344 | ctxB1 | tcpAElTor | rtxA1 | VSP-II | gyrA | parC | carR |
2001–2014 гг. M1429, M1430, P18899, 81 | ctxB1 | tcpACIRS101 | rtxA4 | VSP-IIΔ | gyrA(G248T) | parC(C254T) | carR |
L3226, RND19187, L4150, RND13188, 76, 153, 39, 186 | ctxB7 | tcpACIRS101 | rtxA4 | VSP-IIΔ | gyrA(G248T) | parC(C254T) | carR |
1509, 3265/80 | ctxB7 | tcpACIRS101 | rtxA4 | VSP-IIΔ | gyrA(G248T) | parC(C254T) | carR(G265A) |
89, 147 | ctxB1 | tcpAElTor | rtxA1 | VSP-II | gyrA | parC | carR |
2015–2023 гг. M3208, М3213 | ctxB7 | tcpACIRS101 | rtxA4 | VSP-IIΔ | gyrA(G248T) | parC(C254T) | carR(G265A) |
M3210 | ctxB1 | tcpAElTor | rtxA1 | VSP-II | gyrA | parC | carR |
Штаммы из эндемичных стран Азии и Африки Strains from endemic Asian and African countries | |||||||
1970–1990 гг.* CNRVC960629, CNRVC960959, A19, N16961, A18, A10, GP145, GP160, CNRVC930171, PRL18, A131, V109, A155, A154, V212-1, VC51, A330, CNRVC940103, CNRVC940190, MJ-1236, CNRVC960254, CNRVC960218, F3835, 4679, 4672, 1944_CDC, 956_CDC, 4662 | ctxB1 | tcpAElTor | rtxA1 | VSP-II | gyrA | parC | carR |
1991–2001 гг.* A155, CNRVC940190, CNRVC960218, F3835, A154 | ctxB3 | tcpAElTor | rtxA1 | VSP-II | gyrA | parC | carR |
V212-1, VC51, A330, CNRVC940103, MJ-1236, CNRVC960254, 4672, 4679, 956_CDC | ctxB1 | tcpAElTor | rtxA1 | VSP-II | gyrA | parC | carR |
4662 | ctxB1 | tcpACIRS101 | rtxA4 | VSP-IIΔ | gyrA | parC | carR |
2002–2014 гг.* B33, 1362 | ctxB1 | tcpAElTor | rtxA1 | VSP-II | gyrA | parC | carR |
4488, 4656, 4623, 4551, VN243P_07, VC-8, BGD119, BGD122, BGD095 | ctxB1 | tcpACIRS101 | rtxA1 | VSP-IIΔ | gyrA (G248T) | parC (C254T) | carR |
CIRS101, 4646, CISM1020229.6, CISM1020231.9 | ctxB1 | tcpACIRS101 | rtxA4 | VSP-IIΔ | gyrA(G248T) | parC(C254T) | carR |
4519, IND033, IND041, VC-18, IND051, IDH-04808 | ctxB7 | tcpACIRS101 | rtxA4 | VSP-IIΔ | gyrA (G248T) | parC (C254T) | carR |
IND071, IDH-05298, IND082, IND090 | ctxB7 | tcpACIRS101 | rtxA4 | VSP-IIΔ | gyrA (G248T) | parC (C254T) | carR(G265A) |
2015–2023 гг.* BGD128, BGD143, NALMLE36, NALMLE05, KDCP183 | ctxB1 | tcpACIRS101 | rtxA1 | VSP-IIΔ | gyrA (G248T) | parC (C254T) | carR |
CMR33, NER211, NGA002, NGA016, NGA001, NGA236, CMR57, CMR56, CMR50, CMR44 | ctxB7 | tcpACIRS101 | rtxA4 | VSP-IIΔ | gyrA (G248T) | parC (C254T) | carR |
IND220, IND231, CNRVC170168, CNRVC170175, UG020, UG010, 4621STDY6714780, THSTI56695, THSTI56712, CNRVC170179, CNRVC170208, KDCP136, KDCP208, KDCP245, DMAVC-20, DMAVC-1, DMAVC-16, DMAVC-19, DMAVC-4, DMAVC-11, DMAVC-18, DMAVC-21, N1252, Q4233, 622, 619, K19, K15 | ctxB7 | tcpACIRS101 | rtxA4 | VSP-IIΔ | gyrA (G248T) | parC (C254T) | carR(G265A) |
K054646, K054662, K054666, K054671, K054681, K054685, K054684, K054659, K054670, K054682 | ctxB7 | tcpACIRS101 | rtxA4a | VSP-IIΔ | gyrA (G248T) | parC (C254T) | carR(G265A) |
Примечание. VSP-IIΔ — делеция vc0495-vc0512. *Полногеномные нуклеотидные последовательности штаммов взяты из базы данных NCBI GenBank.
Note. VSP-IIΔ — vc0495-vc0512 deletion. *Whole genome nucleotide strain sequences are retrieved from the NCBI GenBank database.
Бактерии культивировали в бульоне и агаре LB при 37°С. Чувствительность к антибактериальным препаратам определяли диско-диффузионным методом с использованием препаратов полимиксина B (300 мкг) и налидиксовой кислоты (30 мкг) фирмы «HiMedia Laboratories Pvt. Limited» (Индия).
Секвенирование проводили на платформе «Ion PGM» (Ion Torrent, США). Подготовку геномной ДНК выполняли согласно протоколу производителя из обработанной мертиолятом натрия бактериальной суспензии с использование коммерческого набора «Axy Prep Bacterial Genomic DNA Miniprep Kit». Подготовку ДНК библиотек проводили по стандартному протоколу в соответствии с рекомендациями производителя. Для сборки геномов применяли программное обеспечение Ion Torrent Suite Software v. 5.4 и Newbler GS Assembler v. 2.6. Средняя глубина прочтений секвенированных штаммов составила 50.
Анализ полногеномных последовательностей исследуемых штаммов проводили относительно последовательности генома референсного штамма V. cholerae N16961 с помощью программы UGEN v.45.1.
Для обнаружения SNP и построения филогенетического дерева использовали Байесовский филогенетический анализ с применением программы MrBayes v.3.2.7a. на основе SNP-матрицы, полученной с помощью программы Snippy 4.6.0. Визуализацию полученных результатов осуществляли в программе iTOL v.6.
Результаты
Филогенетический анализ токсигенных штаммов V. cholerae Эль Тор из России и эндемичных регионов, выделенных в разные временные периоды седьмой пандемии. Для выяснения генетических связей различных штаммов из России с другими штаммами возбудителя, изолированными в разные годы на различных эндемичных территориях (табл.), мы провели их филогенетический анализ. На рис. 1 изображено филогенетическое дерево, построенное на основании анализа 1950 коровых SNPs полногеномных последовательностей 119 штаммов, из которых 47 было занесено на территорию Российской Федерации. Установлено четкое деление взятых штаммов на три основных кластера. Типичные штаммы, выделенные в период первой волны пандемии (1970–1991 гг.), образовали отдельный кластер I, включающий 23 штамма из России (12 изолятов) и эндемичных регионов Азии (Индия, Бангладеш) и Африки (Мозамбик, Гвинея). Все штаммы, независимо от места и времени выделения, имели одинаковый генотип — ctxB3tcpAEltorrtxA1VSP-II, идентичный таковому референсного штамма N16961, были чувствительны к налидиксовой кислоте (NalS), резистентны к полимиксину B (PolR) и не содержали в геноме ICE. Кластер II (22 изолята) включал штаммы из России (19 изолятов), изолированных во вторую волну пандемии (1993–2001 гг.), а также три штамма из эндемичных стран, на территории которых в это время были зарегистрированы вспышки холеры (рис. 1). Обособление этих штаммов от изолятов из кластера I четко коррелировало с приобретением ими новых участков ДНК — гена ctxB1 (в составе профага CTXφ) от холерных классических вибрионов и разных типов мобильного элемента ICE от неизвестных доноров. В результате эти первые варианты возбудителя имели генотип ctxB1tcpAEltorrtxA1VSP-II ICE, отличный от такового референсного штамма N16961. Различия между штаммами из кластеров I, II и референсным N16961 составляли в среднем 83 и 114 SNPs соответственно. Что касается 74 других исследуемых штаммов, выделенных как в России (16 изолятов), так и в эндемичных регионах Азии и Африки (58 изолятов), то все они относились к разным геновариантам, возникшим в период третьей волны пандемии (2022–2023 гг.), которые образовали кластер III, различаясь от референсного штамма по 137 SNPs (рис. 1). Эти варианты возбудителя отличались от измененных штаммов из второй волны разного типа дополнительными мутациями — однонуклеотидными заменами в ключевых (ctxA, tcpA) и дополнительных (rtxA) генах патогенности и лекарственной устойчивости (gyrA, parC, carA), делецией генов в VSP-II и разными типами ICE, включая ICEVchInd5Δ, утративший 4 гена (floRstrABsul2). Вследствие разного сочетания мутаций штаммы кластера III были генетически неоднородны, образовав шесть отдельных ветвей с разными генотипами:
- “a” ctxB1tcpACIRS101rtxA1gyrA(G248T)parC (C254T)carRVSP-IIΔSXTTET(tetARstrABsul2 dfrA1) или ICEVchInd5(floRstrABsul2dfrA1);
- “b” ctxB1tcpACIRS101rtxA4 gyrA(G248T)parC (C254T)carRVSP-IIΔICEVchInd5;
- “c“ ctxB7tcpACIRS101rtxA4gyrA(G248T)parC (C254T)carRVSP-IIΔICEVchInd5;
- “d“ ctxB7tcpACIRS101rtxA4gyrA(G248T)parC (C254T)carR(G265A)VSP-IIΔICEVchInd5;
- “e“ ctxB7tcpACIRS101rtxA4gyrA(G248T)parC (C254T)carR(G265A)VSP-IIΔICEVchInd5Δ;
- “f”ctxB7tcpACIRS101rtxA4-аgyrA(G248T)parC (C254T)carR(G265A)VSP-IIΔICEVchInd5Δ.
Рисунок 1. Филогенетический анализ токсигенных штаммов V. cholerae O1 Эль Тор, выделенных в 1970–2023 гг. в Российской Федерации и эндемичных по холере странах Азии и Африки. Примечание. Анализ проведен по данным полногеномного секвенирования на основе байесовского анализа (выполненного в приложении Mr.Bayes 3.2.7) коровых SNP, полученных с помощью программного пакета Snippy 4.6. Дендрограмма, укорененная на референсный штамм V. cholerae N16961, визуализирована с помощью online приложения iTOL v6 (https://itol.embl.de).
Обособление кластера III было связано с формированием геновариантов не только c усиленной вирулентностью, высоким эпидемическим потенциалом и разным спектром резистентности к антибиотикам, но также с утратой PolR — специфического маркера вибрионов Эль Тор. Таким образом, показано, что деление исследуемых штаммов на три филогенетические группы, различающиеся между собой по структуре генома, совпадает с временным периодом треx волн глобального распространения возбудителя в мире из первичного очага. Присутствие в каждом кластере эпидемически опасных штаммов как из России, так и из эндемичных стран указывает на их генетическую близость. Очевидное большое геномное разнообразие штаммов возбудителя, изолированных на протяжении более 50 лет (1970–2023 гг.), обусловлено горизонтальным переносом разных участков ДНК и различного типа мутациями в генах, входящих в состав мобильных элементов и коровой части хромосом.
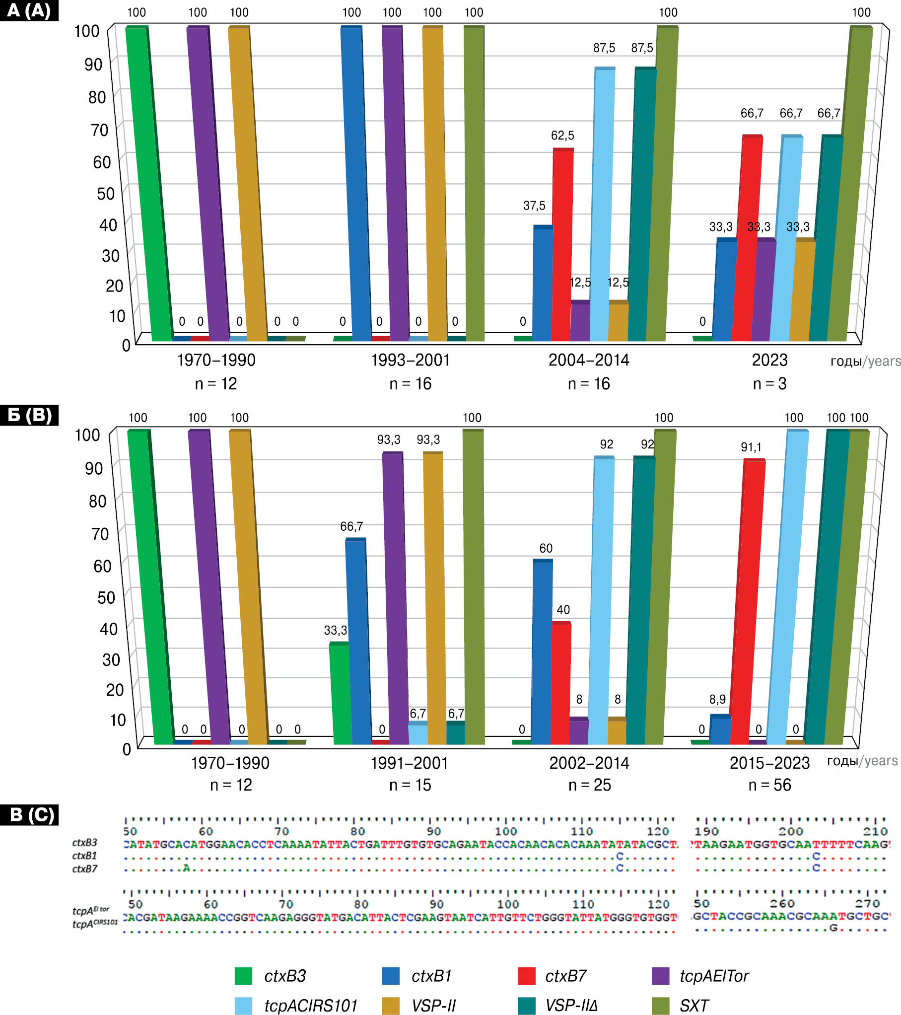
Распространенность измененных генов патогенности, эпидемичности и лекарственной устойчивости среди различных штаммов возбудителя холеры, занесенных в Россию. Анализ 47 секвенированных геномов показал различия в распространенности измененных ключевых генов патогенности и эпидемичности между штаммами, занесенными в Россию из различных эндемичных очагов холеры в разные годы текущей пандемии. Как и ожидалось, все исследуемые штаммы из первой волны пандемии (12 изолятов; 1970–1990 гг.) относились к типичным, имели характерные для них гены патогенности и пандемичности (ctxB3, tcpAEltorVSP-II) и были лишены ICE (рис. 2А). Вместе с тем в последующее десятилетие (1993–2001 гг.) на территории России были обнаружены генетические варианты возбудителя c измененным геном вирулентности ctxB1 и приобретенными генами резистентности к антибиотикам в составе ICE. Появление таких штаммов в России полностью совпало с периодом второй волны (рис. 2А). В то же время в третью волну пандемии в 2004–2014 гг. были выявлены разные типы геновариантов. Наряду с сохранившимися вариантами с генотипом ctxB1tcpAElTorVSP-II (12,5%) появились другие варианты с генотипами ctxB1tcpACIRS101VSP-IIΔ(vc0495–vc0512) и ctxB7 tcpACIRS101VSP-IIΔ(vc0495–vc0512). При этом более 60,0% из них относились к недавно возникшим вариантам, несущим измененный ген ctxB7, являющийся генетическим маркером штаммов с повышенным патогенным потенциалом (рис. 2А, Б). Особый интерес, на наш взгляд, представляли штаммы, занесенные в Россию в 2023 г. после восьмилетнего периода эпидемического благополучия [8]. Обращает на себя внимание тот факт, что они относились к разным типам геновариантов, имеющих различные мутации в ключевых генах, связанных с патогенностью и способностью к эпидемическому распространению. Два клинических изолята (М3208 и М3213) имели полный набор измененных генов вирулентности (ctxB7, tcpACIRS101) и эпидемичности (VSP-IIΔ(vc0495–vc0512), характерный для штаммов с высоким патогенным потенциалом. В то же время штамм, выделенный из воды (М3210), имел лишь один измененный ген (ctxB1) и относился к первым по времени выделения геновариантам c более низкой вирулентностью (табл., рис. 2А). Таким образом, геномы штаммов возбудителя холеры, занесенных в Россию в период разных волн пандемии, четко различались между собой набором мутаций в ключевых генах патогенности и эпидемичности, входящих в состав мобильных элементов (CTXφ, VPI-1 и VSP-II), что указывает на их разный патогенный потенциал.
Рисунок 2. Динамика изменения распространенности мутантных генов вирулентности ctxB и tcpA, делетированного острова пандемичности VSP-II и ICE SXT элемента среди токсигенных штаммов V. cholerae O1 Эль Тор, выделенных на территории Российской Федерации (А) и эндемичных по холере стран Азии и Африки (Б). Нуклеотидные последовательности аллелей генов ctxB и tcpA (В)
Другим не менее важным был вопрос об изменении резистентности к антибиотикам, поскольку возникновение устойчивости возбудителя холеры к лекарственным препаратам является большой проблемой современности. Прежде всего, как отмечалось выше, изменение резистентности было связано с появлением в геноме первых вариантов разных типов ICE. Следствием таких событий стал занос в Россию штаммов в 1993–2001 г. с двумя типами ICE: ICEVchInd5(floR, strAB, sul2, dfrA1) и ICEVchBan9(floR, strAB, sul2, tetAR, dfrA1), различающимися набором генов резистентности (рис. 3А). Дальнейшие изменения устойчивости к антибиотикам были обусловлены появлением у геновариантов с ICE мутаций в различных коровых генах. В результате штаммы, изолированные в России в третью волну пандемии (2004–2014 гг.), стали устойчивыми к новым антибиотикам и по профилю резистенности были более разнообразными по сравнению с изолятами из предыдущего десятилетия. У 87,5% штаммов была выявлена резистентность к налидиксовой кислоте (NalR), возникшая за счет двух точечных мутаций в коровых генах gyrA (G248T) и parC (C254T), кодирующих топоизомеразу II (ДНК-гиразу) и топоизомеразу IV. Лишь небольшое число штаммов (12,5%) оставалось NalS. Более того оказалось, что в 12,5% случаях NalR штаммы утратили устойчивость к полимиксину B (PolS) в результате точечной мутации в гене carR(G265A) (рис. 3А, В). Поскольку резистентность к полимиксину B используется в качестве ключевого маркера для дифференциации вибрионов биовара Эль Тор от холерных вибрионов классического биовара, то утрата возбудителем этого свойства может создавать определенные трудности при диагностике выделяемых штаммов. Что касается штаммов, обнаруженных в 2023 г., то все клинические изоляты были NalRPolS, что подтверждает широкое распространение таких штаммов в эндемичных очагах (рис. 3А). Кроме того, впервые обнаружен занос в Россию штаммов, несущих в ICEVchInd5 делецию (около 10 тыс. п.н.), затронувшую четыре гена, кодирующих резистентность к хлорамфениколу (floR), стрептомицину (strA, strB) и сульфаниламиду (sul2). Сохранился лишь ген dfrA1, кодирующий устойчивость к триметоприму (рис. 3А). Таким образом, резистентность к антибиотикам занесенных в Россию штаммов за 30 лет (1993–2023 гг.) претерпела существенные изменения. При этом изменение резистентности геновариантов четко коррелировало с возникновением в их геноме мутаций в различных генах патогенности (рис. 2А, 3А), что привело к изменению многих важнейших свойств патогена, включая его вирулентность, чувствительность к антибактериальным препаратам и утрату одного из диагностически значимых признаков.
Рисунок 3. Динамика изменения распространенности генов лекарственной устойчивости среди различных вариантов возбудителя холеры, изолированных в Российской Федерации (А) и эндемичных странах Азии и Африки (Б) в период второй и третьей волны текущей пандемии холеры. Чувствительность к полимиксину B (PolS) и резистентность к налидиксовой кислоте (NalR) изученных изолятов: М3208 и М1509 — штаммы геновариантов с мутациями в генах gyrA, parC и carR; М671 — типичный штамм с интактными генами gyrA, parC и carR, взятый в качестве контроля (В)
Сравнительный анализ геномов токсигенных штаммов V. cholerae Эль Тор, выделенных в эндемичных очагах холеры на разных этапах текущей пандемии. Появление различных вариантов возбудителя в России, занесенных из различных эндемичных очагов, ставит вопрос об их распространенности на этих территориях. В этой связи мы сопоставили геномы 108 штаммов, изолированных в 17 странах Азии (Индия, Бангладеш, Йемен, Пакистан, Вьетнам, Непал) и Африки (Конго, Мозамбик, Кот-д'Ивуар, Нигерия, Камерун, Гвинея, Малави, Нигер, Танзания, Уганда, Кения) в 1970–2023 гг. Анализ секвенированных участков генома, содержащих мобильные элементы CTXφ, VPI-1 и VSP-II с ключевыми генами патогенности и эпидемичности, выявил заметные изменения их структуры у штаммов, изолированных в последние 30 лет (1991–2023 гг.) по сравнению с типичными штаммами из более раннего этапа пандемии (1970–1990 гг.) (рис. 2Б). Одно из важнейших изменений в период второй волны пандемии (1991–2001 гг.) — появление большого количества изолятов (66,7%) c аллелем ctxB1, среди которых 6,7% штаммов одновременно несли мутантный ген tcpACIRS101, а также протяженную делецию в VSP-II (VSP-IIΔ(vc0495–vc0512). К тому же в хромосоме большинства штаммов присутствовали разные типы ICE (рис. 2Б, 3Б). Вначале третьей волны пандемии (2002–2014 гг.), наряду со штаммами с генотипом, характерным для второй волны, были выявлены штаммы (в 40,0% от числа изученных) с новым аллелем ctxB7, несущими и другие измененные гены — tcpACIRS101 и VSP-IIΔ(vc0495–vc0512).
Кроме того, более 90,0% исследуемых штаммов оказались NalR за счет указанных выше мутаций в генах gyrA и parC. Что касается последнего десятилетия (2015–2023 гг.), то при незначительном количестве вариантов с геном ctxB1 (8,5%), более 90,0% изолятов относились к новым вариантам с набором мутантных генов ctxB7, tcpACIRS101, gyrA(G248T), parC(C254T), VSP-IIΔ(vc0495–vc0512), которые обусловили повышение продукции ключевых факторов патогенности и усиление устойчивости к антибиотикам. Более того, вследствие мутации еще в одном гене — carR, более 75,0% изученных штаммов утратили PolR — диагностический признак вибрионов Эль Тор (рис. 2Б, 3Б). Таким образом, приведенные данные свидетельствует о большом геномном разнообразии штаммов в эндемичных регионах, где на протяжении двух последних волн пандемии происходило довольно быстрое изменение генома возбудителя, что привело к появлению его различных вариантов. К наиболее распространенным в последние годы следует отнести штаммы, сочетающие мутации в генах патогенности, эпидемичности и лекарственной устойчивости, что связано с усилением вирулентности патогена, изменением его резистентности к антибиотикам и утратой диагностически значимого свойства.
Обсуждение
Изменчивость генома возбудителя холеры Эль Тор — одна из основных проблем молекулярной микробиологии этого патогена, поскольку ее решение открывает новые возможности в расшифровке причин формирования в природных популяциях атипичных по вирулентным и диагностически значимым свойствам штаммов. Возрастающая значимость холеры для здравоохранения России и других стран может быть связана с возникновением в последние десятилетия различных генетических вариантов возбудителя, распространение которых быстро приобрело глобальные масштабы. При проведении полногеномного SNP-анализа показано, что деление исследуемых штаммов на три филогенетические группы, различающиеся между собой по структуре генома, совпадает с временным периодом трех волн глобального распространения возбудителя в мире из первичного очага. Присутствие в каждой группе токсигенных изолятов как из России, так и из эндемичных стран указывает на их генетическое сходство. Очевидное изменение генома возбудителя на протяжении более 50 лет (1970–2023 гг.) связано с такими молекулярными событиями, как горизонтальный перенос генетической информации и возникновение мутаций (однонуклеотидные замены, делеции) в нуклеотидной последовательности генов, кодирующих различные белки. При этом такие мутации приводят к изменению важнейших свойств возбудителя, включая его вирулентность и способность к эпидемическому распространению. Эти результаты полностью совпадают с данными других исследователей и подтверждают общую тенденцию последних лет — возрастание уровня генетической изменчивости этого патогена.
Cравнение геномов 155 штаммов возбудителя холеры, выделенных в России и эндемичных очагах в 1970–2023 гг., показало, что изоляты из разных волн пандемии четко различались между собой набором мутаций в ключевых генах патогенности и эпидемичности, входящих в состав мобильных элементов (CTXφ, VPI-1 и VSP-II), что указывает на их разный патогенный потенциал. Геномное разнообразие штаммов значительно возросло в период третьей волны пандемии за счет возникновения различных мутаций в генах, кодирующих факторы вирулентности и лекарственной устойчивости, что привело к появлению новых геновариантов с повышенным патогенным и эпидемическим потенциалом. Установлено, что исследуемые штаммы, различающиеся между собой набором мутантных генов, принадлежали к шести разным генотипам. Анализ динамики изменения генома показал, что если вначале третьей волны пандемии (2002–2014 гг.) лишь 40,0% штаммов из эндемичных регионов относились к недавно возникшим вариантам, несущим измененный ген ctxB7, являющийся генетическим маркером штаммов с повышенным патогенным потенциалом, то в последнее десятилетие (2015–2023 гг.) этот показатель превысил 90,0%. Вследствие таких генетических изменений возбудителя в эндемичных странах, занесенные в Россию штаммы в третью волну пандемии преимущественно также относились к новым геновариантам (в 62,5% и 66,7% случаях в зависимости времени выделения штаммов).
Отдельным был вопрос о динамике изменения устойчивости штаммов к лекарственным препаратам. Оказалось, что резистентность к антибиотикам исследуемых штаммов за 30 лет также претерпела существенные изменения. Такое событие в первую очередь было связано с появлением в геноме первых вариантов из второй волны пандемии (1991–2001 гг.) разных типов ICE, различающихся набором генов резистентности. Тем не менее в период третьей волны пандемии (2002–2023 гг.) у геновариантов с ICE произошли дальнейшие изменения устойчивости к антибиотикам. Точечные мутации в коровых генах gyrA (G248T) и parC (C254T) привели к появлению штаммов, резистентных к налидиксовой кислоте. В эндемичных странах и занесенных в Россию штаммы NalR составляли 90,0% и 87,5% соответственно. Другим важным событием стала утрата штаммами устойчивости к полимиксину B, используемой в качестве ключевого маркера для дифференциации вибрионов биовара Эль Тор от холерных вибрионов классического биовара. Причиной потери штаммами одного из диагностических свойств вибрионов Эль Тор стала точечная мутации в регуляторном гене carR(G265A). При этом происходил быстрый рост числа штаммов с такой мутацией. Если вначале третьей волны штаммы PolS из эндемичных регионов составляли лишь 16,0%, то через десять лет их число достигло более 80,0%. Изменение таких свойств геновариантов может создавать определенные трудности при диагностике штаммов возбудителя холеры, заносимых в Россию. Таким образом, изменение резистентности геновариантов четко коррелировало с возникновением в их геноме мутаций в различных генах патогенности, что привело к появлению и широкому распространению штаммов с усиленной вирулентностью, измененной лекарственной устойчивостью и утраченным диагностически значимым свойством. Совместное присутствие таких мутаций в геноме новых вариантов обусловило, видимо, селективные преимущества, следствием которых стало их широкое распространение.
Заключение
Установлено, что геномное разнообразие токсигенных штаммов значительно возросло в период третьей волны пандемии за счет различных мутаций, что привело к появлению новых геновариантов с повышенным патогенным и эпидемическим потенциалом. Показана довольно быстрая смена вариантов возбудителя, что является, видимо, следствием высокой скорости эволюции генома и адаптации возбудителя к человеческой популяции и меняющимся условиям внешней среды. Из известных вариантов особую обеспокоенность вызывают штаммы, сочетающие генетические маркеры гипервирулентности, множественной лекарственной устойчивости и утраченного диагностически значимого признака. Появление таких генетических вариантов возбудителя на территории России в результате заноса указывает на необходимость проведения постоянного геномного надзора за патогеном для понимания направления и скорости изменения генома в процессе эволюции и своевременного распознавания доминирующего геноварианта. Полученные нами сведения о генетических свойствах широко распространенных вариантов возбудителя из России и эндемичных регионов могут быть востребованы при создании новых средств их лабораторной диагностики, основанной на идентификации генетических маркеров гипервирулентности. При оценке фенотипических и генетических свойств выделяемых штаммов следует также учитывать возможную утрату генетическими вариантами устойчивости к полимиксину B — диагностически значимого свойства, а также вариабельность их резистентности к лекарственным препаратам.
Дополнительная информация
Конфликт интересов. Авторы подтверждают отсутствие конфликта финансовых/нефинансовых интересов, связанных с написанием статьи.
Финансирование. Авторы заявляют об отсутствии дополнительного финансирования при проведении данного исследования.
About the authors
Nina I. Smirnova
Russian Anti-Plague Institute “Microbe” of Rospotrebnadzor
Author for correspondence.
Email: rusrapi@microbe.ru
DSc (Biology), Professor, Head Researcher, Laboratory of Pathogenic Vibrios
Russian Federation, SaratovD. A. Rybal’chenko
Russian Anti-Plague Institute “Microbe” of Rospotrebnadzor
Email: rusrapi@microbe.ru
Researcher, Laboratory of Pathogenic Vibrios, Department of Microbiology
Russian Federation, SaratovYu. V. Lozovsky
Russian Anti-Plague Institute “Microbe” of Rospotrebnadzor
Email: rusrapi@microbe.ru
PhD (Medicine), Junior Researcher, Laboratory of Pathogenic Vibrios, Department of Microbiology
Russian Federation, SaratovYa. M. Krasnov
Russian Anti-Plague Institute “Microbe” of Rospotrebnadzor
Email: rusrapi@microbe.ru
PhD (Chemistry), Head of the Genomic and Proteomic Analysis Laboratory, Department of Microbiology
Russian Federation, SaratovE. Yu. Shchelkanova
Russian Anti-Plague Institute “Microbe” of Rospotrebnadzor
Email: rusrapi@microbe.ru
PhD (Biology), Senior Researcher, Department “State Collection of Pathogenic Bacteria”
Russian Federation, SaratovA. V. Fedorov
Russian Anti-Plague Institute “Microbe” of Rospotrebnadzor
Email: rusrapi@microbe.ru
Junior Researcher, Genomic and Proteomic Analysis Laboratory, Department of Microbiology
Russian Federation, SaratovV. V. Kutyrev
Russian Anti-Plague Institute “Microbe” of Rospotrebnadzor
Email: rusrapi@microbe.ru
RAS Full Member, DSc (Medicine), Professor, Director
Russian Federation, SaratovReferences
- Бароян О.В. Холера Эль-Тор. М.: Медицина, 1971. 256 с. [Baroyan O.V. Cholera Biovar El Tor. Moscow: Meditsina, 1971. 256 p. (In Russ.)]
- Водопьянов С.О., Водопьянов А.С., Олейников И.П., Титова С.В. Распространенность ICE элементов различных типов у V. cholerae // Здоровье населения и среда обитания — ЗНиСО. 2018. № 1. C. 33–35. [Vodop’yanov S.O., Vodop’yanov A.S., Oleynikov I.P., Titova S.V. Prevalence of ice elements of different types in V. cholerae. Zdorov’e naseleniya i sreda obitaniya — ZNiSO = Public Health and Life Environment — PH&LE, 2018, no. 1, pp. 33–35. (In Russ.)]
- Кологоров А.И., Кедрова О.В., Пахомов Д.А., Пискунова Н.В., Ковтунов А.И., Васенин А.С., Кабин В.В., Илюхин А.А., Грачева И.В., Раздорский А.С., Сафронов В.А. Закономерности распространения холеры в бассейне Волги в 1970–1973 гг. // Проблемы особо опасных инфекций. 2010. № 104. C. 22–27. [Kologorov A.I., Kedrova O.V., Pakhomov D.A., Piskunova N.V., Kovtunov A.I., Vasenin A.S., Kabin V.V., Ilyukhin A.A., Gracheva I.V., Razdorskiy A.S., Safronov V.A. Regularities of Cholera Spread in the Volga Basin in 1970-1973. Problemy osobo opasnykh infektsiy = Problems of Particularly Dangerous Infections, 2010, no. 104, pp. 22–27. (In Russ.)] doi: 10.21055/0370-1069-2010-2(104)-22-27
- Монахова Е.В., Ghosh A., Mutreja A., Weill F., Ramamurthy T. Эндемичная холера в Индии и завозная холера в России: что общего? // Проблемы особо опасных инфекций. 2020. № 3. C. 17–26. [Monakhova E.V., Ghosh A., Mutreja A., Weill F., Ramamurthy T. Endemic cholera in india and imported cholera in Russia: what is common? Problemy osobo opasnykh infektsiy = Problems of Particularly Dangerous Infections, 2020, no. 3, pp. 17–26. (In Russ.)] doi: 10.21055/0370-1069-2020-3-17-26
- Онищенко Г.Г., Москвитина Э.А., Кругликов В.Д., Титова С.В., Адаменко О.Л., Водопьянов А.С., Водопьянов С.О. Эпидемиологический надзор за холерой в России в период седьмой пандемии // Вестник Российской академии медицинских наук. 2015. Т. 70, № 2. C. 249–256. [Onishchenko G.G., Moskvitina E.A., Kruglikov V.D., Titov S.V., Adamenko O.L., Vodop’yanov A.S., Vodop’yanov S.O. Surveillance of cholera In Russia during the seventh pandemic. Vestnik Rossiiskoi akademii meditsinskikh nauk = Herald of the Russian Academy of Sciences, 2015, vol. 70, no. 2, pp. 249–256. (In Russ.)] doi: 10.15690/vramn.v70i2.1320.
- Попова А.Ю., Носков А.К., Ежлова Е.Б., Кругликов В.Д., Монахова Е.В., Чемисова О.С., Лопатин А.А., Иванова С.М., Подойницына О.А., Водопьянов А.С., Левченко Д.А., Савина И.В. Эпидемиологическая ситуация по холере в Российской Федерации в 2023 г. и прогноз на 2024 г. // Проблемы особо опасных инфекций. 2024. № 1. C. 76–88. [Popova A.Yu., Noskov A.K., Ezhlova E.B., Kruglikov V.D., Monakhova E.V., Chemisova O.S., Lopatin A.A., Ivanova S.M., Podoynitsyna O.A., Vodop’yanov A.S., Levchenko D.A., Savina I.V. Epidemiological situation on cholera in the Russian Federation in 2023 and forecast for 2024. Problemy osobo opasnykh infektsiy = Problems of Particularly Dangerous Infections, 2024, no. 1, pp. 76–88. (In Russ.)] doi: 10.21055/0370-1069-2024-1-76-88
- Рыбальченко Д.А., Щелканова Е.Ю., Лозовский Ю.В., Федоров А.В., Смирнова Н.И. Распространенность разных типов интегративного конъюгативного элемента SXT/R391, кодирующего множественную резистентность к антибиотикам, среди клинических штаммов возбудителя холеры // Проблемы особо опасных инфекций. 2022. № 1. C. 137–147. [Rybal’chenko D.A., Shchelkanova E.Yu., Lozovsky Yu.V., Fedorov A.V., Smirnova N.I. Prevalence of different types of integrative conjugative element SXT/R391 encoding multiple antibiotic resistance among clinical strains of cholera agent. Problemy osobo opasnykh infektsiy = Problems of Particularly Dangerous Infections, 2022, no. 1, pp. 137–147. (In Russ.)] doi: 10.21055/0370-1069-2022-1-137-147
- Рыбальченко Д.А., Лозовский Ю.В., Краснов Я.М., Щелканова Е.Ю., Смирнова Н.И. Молекулярно-генетический анализ штаммов Vibrio cholerae O1 Эль-Тор, выявленных на территории России в 2023 г. // Молекулярная генетика, микробиология и вирусология. 2024. Т. 42, № 1. C. 34–42. [Rybal’chenko D.A., Lozovsky Yu.V., Krasnov Ya.M., Shchelkanova E.Yu., Smirnova N.I. Molecular-Genetic Analysis of Vibrio cholerae O1 El Tor Strains Identified In Russia in 2023. Molekulyarnaya genetika, mikrobiologiya i virusologiya = Molecular Genetics, Microbiology and Virology, 2024, vol. 42, no. 1, pp. 34–42. (In Russ.)] doi: 10.17116/molgen20244201134.
- Савельев В.Н., Савельева И.В., Васильева О.В., Бабенышев Б.В., Ковалев Д.А., Грижебовский Г.М., Антоненко А.Д., Курбанов Ш.Х., Бутаев Т.М., Куличенко А.Н. Эволюция Vibrio cholerae eltor и обнаружение их генотипических вариантов на Кавказе // Проблемы особо опасных инфекций. 2012. Т. 4, № 114. C. 58–60. [Savel’ev V.N., Savel’eva I.V., Vasil’eva O.V., Babenyshev B.V., Kovalev D.A., Grizhebovsky G.M., Antonenko A.D., Kurbanov Sh.Kh., Butaev T.M., Kulichenko A.N. Evolution of Vibrio cholerae El Tor and detection of their gene-variants in the Caucasus. Problemy osobo opasnykh infektsiy = Problems of Particularly Dangerous Infections, 2012, vol. 4, no. 114, pp. 58–60. (In Russ.)] doi: 10.21055/0370-1069-2012-4-58-60
- Смирнова Н.И., Заднова С.П., Шашкова А.В., Кутырев В.В. Вариабельность генома измененных вариантов Vibrio cholerae биовара Эль Тор, завезенных на территорию России в современный период // Молекулярная генетика, микробиология и вирусология. 2011. Т. 26, № 3. C. 102–110. [Smirnova N.I., Zadnova S.P., Shashkova A.V., Kutyrev V.V. Genome variability in the altered variants of Vibrio cholerae biovar El Tor isolated In Russia. Molekulyarnaya genetika, mikrobiologiya i virusologiya = Molecular Genetics, Microbiology and Virology, 2011, vol. 26, no. 3, pp. 102–110. (In Russ.)] doi: 10.3103/S0891416811030062
- Смирнова Н.И., Рыбальченко Д.А., Плеханов Н.А., Лозовский Ю.В., Федоров А.В., Кутырев В.В. Новые генетические варианты возбудителя холеры и их распространение в эндемичных странах и России // Молекулярная генетика, микробиология и вирусология. 2023. Т. 41, № 1. C. 10–17. [Smirnova N.I., Rybal’chenko D.A., Plekhanov N.A., Lozovsky Yu.V., Fedorov A.V., Kutyrev V.V. New genetic variants of cholera agent and their distribution in epidemic countries and Russia. Molekulyarnaya genetika, mikrobiologiya i virusologiya = Molecular Genetics, Microbiology and Virology, 2023, vol. 41, no. 1, pp. 10–17. (In Russ.)] doi: 10.17116/molgen20234101110
- Bhandari M., Jennison A.V., Rathnayake I.U., Huygens F. Evolution, distribution and genetics of atypical Vibrio cholerae — a review. Infect. Genet. Evol., 2021, vol. 89: 104726. doi: 10.1016/j.meegid.2021.104726
- Chaguza C., Chibwe I., Chaima D., Musicha P., Ndeketa L., Kasambara W., Mhango C., Mseka U.L., Bitilinyu-Bangoh J., Mvula B., Kipandula W., Bonongwe P., Munthali R.J., Ngwira S., Mwendera C.A., Kalizang’oma A., Jambo K.C., Kambalame D., Kamng’ona A.W., Steele D., Chauma-Mwale A., Hungerford D., Kagoli M., Nyaga M.M., Dube Q., French N., Msefula C.L., Cunliffe N.A., Jere K.C. Genomic insights into the 2022–2023 Vibrio cholerae outbreak in Malawi. Nat. Commun., 2024, vol. 15, no. 1: 6291. doi: 10.1038/s41467-024-50484-w
- Dolores J., Satchell K.J. Analysis of Vibrio cholerae genome sequences reveals unique rtxA variants in environmental strains and an rtxA-null mutation in recent altered El Tor isolates. mBio, 2013, vol. 4, no. 2, pp. 1–9. doi: 10.1128/mBio.00624-12
- Dziejman M., Balon E., Boyd D., Fraser C.M., Heidelberg J.F., Mekalanos J.J. Comparative genomic analysis of Vibrio cholerae: genes that correlate with cholera endemic and pandemic disease. Proc. Natl Acad. Sci. USA, 2002, vol. 9, no. 3, pp. 1556–1561. doi: 10.3410/f.1004686.53905
- Gladkikh A.S., Feranchuk S.I., Ponomareva A.S., Bochalgin N.O., Mironova L.V. Antibiotic resistance in Vibrio cholerae El Tor strains isolated during cholera complications in Siberia and the Far East of Russia. Infect. Genet. Evol., 2020, vol. 78: 104096. doi: 10.1016/j.meegid.2019.104096
- Kim H.B., Wang M., Ahmed S., Park C.H., LaRocque C.R., Faruque A.S., Salam M.A., Khan W.A., Qadri F., Calderwood S.B., Jacoby G.A., Hooper D.C. Transferable Quinolone Resistance in Vibrio cholerae. Antimicrob. Agents Chemother., 2010, vol. 54, pp. 799–803. doi: 10.1128/AAC.01045-09
- Mironova L.V., Gladkikh A.S., Ponomareva A.S., Feranchuk S.I., Bochalgin N.О., Basov E.A., Khunkheeva Yu.Z., Balakhonov S.V. Comparative genomics of Vibrio cholerae El Tor strains isolated at epidemic complications in Siberia and at the Far East. Infect. Genet. Evol., 2018, vol. 60, pp. 80–88. doi: 10.1016/j.meegid.2018.02.023
- Mutreja A., Kim D.W., Thomson N., Connor T.R., Lee J.H., Kariuki S., Croucher N.J., Choi S.Y., Harris S.R., Lebens M., Niyogi S.K., Kim E.J., Ramamurthy T., Chun J., Wood J.L., Clemens J.D., Czerkinsky C., Nair G.B., Holmgren J., Parkhill J., Dougan G. Evidence for multiple waves of global transmission within the seventh cholera pandemic. Nature, 2011, vol. 477, pp. 462–465. doi: 10.1038/nature10392
- Nair G.B., Faruque S.M., Bhuiyan N.A., Kamruzzaman M., Siddique A.K., Sack D.A. New variants of Vibrio cholerae O1 biotype El Tor with attributes of the classical biotype from hospitalized patients with acute diarrhea in Bangladesh. J. Clin. Microbiol., 2002, vol. 40, no. 9, pp. 3296–3299. doi: 10.1128/JCM.40.9.3296-3299.2002
- Pant A., Das B., Bhadra R.K. CTX phage of Vibrio cholerae: genomics and applications. Vaccine, 2020, vol. 29, no. 38, suppl. 1: A7-A12. doi: 10.1016/j.vaccine.2019.06.034
- Reimer A.R., Domselaar G.V., Stroika S., Walker M., Kent H., Tarr C., Talkington D., Rowe L., Olsen-Rasmussen M., Frace M., Sammons S., Dahourou G.A., Boncy J., Smith A.M., Mabon P., Petkau A., Graham M., Gilmour M.W., Gerner-Smidt P. Comparative Genomics of Vibrio cholerae from Haiti, Asia, and Africa. Emerg. Infect. Dis., 2011, vol. 17, no. 11, pp. 2113–2121. doi: 10.3201/eid1711.110794
- Safa A., Nair G.B., Kong R.Y. Evolution of new variants of Vibrio cholerae O1. Trends Microbiol., 2010, vol. 18, pp. 46–54. doi: 10.1016/j.tim.2009.10.003
- Samanta P., Mandal R.S., Saha R.N. Shaw S., Ghosh P., Dutta S., Ghosh A., Imamura D., Morita M., Ohnishi M., Ramamurthy T., Mukhopadhyay A.K. A point mutation in carR is involved in the emergence of polymyxin B-sensitive Vibrio cholerae O1 El Tor biotype by influencing gene transcription. Infect. Immun., 2020, vol. 88, no. 5: e00080-20. doi: 10.1128/IAI.00080-20
- Spagnoletti M., Ceccarelli D., Rieux A., Fondi M., Taviani E., Fani R., Colombo M.M., Colwell R.R., Balloux F. Acquisition and evolution of SXT-R391 integrative conjugative elements in the seventh-pandemic Vibrio cholerae lineage. mBio, 2014, vol. 5, no. 4: e01356-14. doi: 10.1128/mBio.01356-14
- Talkington D., Bopp C., Tarr C., Parsons M.B., Dahour G., Freeman M., Joyce K., Turnsek M., Garrett N., Humphrys M., Gomez G., Stroika S., Boncy J., Ochieng B., Oundo J., Klena J., Smith A., Keddy K., Gerner-Smidt P. Characterization of toxigenic Vibrio cholerae from Haiti, 2010—2011. Emerg. Infect. Dis., 2011, vol. 17, no. 11, pp. 2122–2129. doi: 10.3201/eid1711.110805
- Taviani E., Grim C.J., Choi J., Chun J., Haley B., Hasan N.A., Huq A., Colwell R.R. Discovery of novel Vibrio cholerae VSP-II genomic islands using comparative genomic analysis. FEMS Microbiol. Lett., 2010, vol. 308, pp. 130–137. doi: 10.1111/j.1574-6968.2010.02008.x
- Weill F.X., Domman D., Njamkepo E., Tarr C., Rauzier J., Fawal N., Keddy K.H., Salje H., Moore S., Mukhopadhyay A.K., Bercion R., Luquero F.J., Ngandjio A., Dosso M., Monakhova E., Garin B., Bouchier C., Pazzani C., Mutreja A., Grunow R., Sidikou F., Bonte L., Breurec S., Damian M., Njanpop-Lafourcade B.M., Sapriel G., Page A.L., Hamze M., Henkens M., Chowdhury G., Mengel M., Koeck J.L., Fournier J.M., Dougan G., Grimont P.A.D., Parkhill J., Holt K.E., Piarroux R., Ramamurthy T., Quilici M.L., Thomson N.R. Genomic history of the seventh pandemic of cholera in Africa. Science, 2017, vol. 358, no. 6364, pp. 785–789. doi: 10.1126/science.aad5901
Supplementary files






