Changes in number, morphology and volume of platelets during neonatal sepsis
- Authors: Zakerihamidi M.1, Boskabadi H.2, Nayeri M.2, Badiee Z.2, Bagheri F.1, Amirkhani S.1
-
Affiliations:
- Islamic Azad University
- Mashhad University of Medical Sciences
- Issue: Vol 15, No 1 (2025)
- Pages: 152-160
- Section: ORIGINAL ARTICLES
- Submitted: 06.06.2024
- Accepted: 16.08.2024
- Published: 30.04.2025
- URL: https://iimmun.ru/iimm/article/view/17684
- DOI: https://doi.org/10.15789/2220-7619-CIN-17684
- ID: 17684
Cite item
Full Text
Abstract
Introduction. Thrombocytopenia is considered as one of the signs of sepsis but, Changes in number, morphology and volume of platelets is not widely researched upon in this matter. Therefore, the current study is aiming to analyze the changes in number, morphology and volume of platelets during neonatal sepsis. Materials and methods. This cross-sectional study has been carried out on 807 premature neonates suspected to have infection in Ghaem hospital Mashhad from 2015–2023 by using available sampling method. The data collection tool, researcher-made checklist included laboratory evaluations by which platelet indicators [Platelet count, Platelet distribution width (PDW) and mean platelet volume (MPV)] were measured and compared before, during infection and after recovery. Afterwards, platelet characteristics in septic neonates (Case group) were compared to neonates without definite signs of infection (Control group). Results. Two hundred ninety-five neonates (35.5%) had definitive sepsis. In the case group the number of platelets was less and the amount of MPV and PDW were higher than control group. The number of platelets decreases during infection, but this numbers increase after recovery. PDW increases during infection and after recovery. Fifty four percent of infected neonates had thrombocytopenia. Thrombocytopenia in 78% of neonates with sepsis caused by Klebsiella pneumoniae and in 58% of the cases caused Enterobacter aerogenes was seen. The optimal cutoff value of platelet to differentiate case from those of control group was lower than 100 000/mcL, with a sensitivity of 73%, specificity 12.2% (AUC = 0.427), MPV more than 9.8(fl), with a sensitivity of 80%, specificity 47% (AUC = 0.618), PDW more than 11.2(fl), with a sensitivity of 90%, specificity 28.4% (AUC = 0.763). Conclusion. During infection the number of platelets decreases, but MPV and PDW increase. Thrombocytopenia was seen more in gram-negative bacteria rather than gram-positive. During infection the number of platelets decreases but after recovery the number of platelets, MPV and PDW increases. Platelet indices have good sensitivity but low specificity in diagnosing definitive infection.
Full Text
Introduction
Sepsis is one of the most common infectious diseases in neonates which most often appears in premature and low birth weight neonates [47] and in developing countries it is considered as one of the main reasons for neonatal death [34]. In general, sepsis is described as a systemic inflammatory reaction against infections [1]. Mostly, positive blood culture with the addition of clinical and laboratory signs of infection is considered as definitive sepsis [18]. Early diagnosis and treatment of sepsis is a necessity to reduce morbidity and mortality due to infection [10]. Therefore, different parameters must be used. Due to the fact that blood culture is time-consuming and needs at least 48 to 72 hours, in order to diagnose and treat sepsis on time, we can rely on hematologic findings such as platelet indicators {the number of platelets,
Platelet distribution width (PDW) and mean platelet volume (MPV) [2, 6, 27]. Since platelet indicators are biomarkers of platelet activation, during sepsis, these indicators also change [9].
Platelets are one of the blood components and are involved in different physiological and pathological processes such as homeostasis, thrombosis, bleeding, inflammation and immune regulation.
The number of platelets is considered as a nonspecific biomarker in diagnosing sepsis or other diseases. Platelet count is quite important and thrombocytopenia is one of the initial findings in neonatal sepsis. In Oh et al. study, platelet count of less than 80 000/μl in 40% of patients with severe sepsis was reported [38]. Thrombocytopenia happens when the number of platelets is less than 150 000/μl [23]. In septic patients, thrombocytopenia mostly follows with irregular responses from the host [52]. The pathogenesis of thrombocytopenia in neonatal sepsis is not fully understood yet. It is plausible that during neonatal sepsis, endothelial damage activates platelet harvesting by the reticuloendothelial system (RES), and possibly, platelet production decreases relative to its consumption during infection [32].
MPV in physiologic situations has an opposite relation with the number of platelets [40]. MPV is used in diagnosing, predicting and monitoring the severity of neonatal sepsis [39]. Increase in MPV levels is an indicator of increase in platelet production in bone marrow which happens in conditions such as septicemia, thrombosis or inflammations [28]. Significant increase in MPV levels compared to base amounts in neonatal sepsis was reported by Guida et al. A combination of increase in platelet destruction and insufficient platelet production during thrombocytopenia caused by sepsis in neonates can cause the release of immature platelets into the bloodstream. The increase in immature platelet levels in blood can raise MPV levels [20].
PDW is an indicator of changes in platelet volume in size and shows heterogeneity in platelet morphology. In case of platelet anisocytosis, PDW increases. PDW reference value ranges from 8.3% to 56.6%. Under physiologic circumstances, there is a direct link between MPV and PDW and they both usually change in one direction [9]. Tayman et al. have reported higher levels of PDW followed by an increase in MPV levels during sepsis in consecutive days among premature neonates which ultimately died [50].
As noted in limited studies, the size and the morphology of a platelet changes during the infection. However, the studies have been carried out, using low sample sizes and they occasionally had inconsistent outcomes. Considering the fact that the number and morphology of platelets is easily accessible for the physician, if these factors help evaluate the possibility of infection, early treatment would be started for the neonate which can lead to improve patient’s survival. Therefore, the current study is done aiming to analyze the changes in number, morphology and volume of platelets before, during infection and after recovering from neonatal sepsis and comparing it with neonates without infection.
Materials and methods
This cross-sectional study has been performed on 807 premature neonates suspected to have infection in Ghaem hospital, Mashhad, from 2015 to 2023 by using available sampling method. This study was approved by the ethics committee of Mashhad University of Medical Sciences (IR.MUMS.fm.REC.1401.658) and samples were taken after obtaining the consent of parents. A sample containing 1 cc of blood was collected in order to evaluate PLT, MPV and PDW. Inclusion criteria were as follows: having at least one of the symptoms such as poor feeding, listlessness and lethargy, hypotonia, respiratory distress, hypo- or hyperthermia, apnea, seizure, direct jaundice, diarrhea and vomiting, loss of consciousness, bradycardia, showing signs of local infections, abdominal distension [11]. Laboratory symptoms confirming sepsis included leukocytosis (WBC more than 15 000) and leukopenia (WBC less than 5000), thrombocytopenia (PLT ≤ 150 000) and CRP positive (more or equal to 6 mg per deciliters).
Neonates with positive blood culture in addition to having at least one of the clinical signs of infection and one of the laboratory signs of infection were considered to have definitive sepsis (Case group). Neonates with positive blood culture during the first three days of hospitalization were considered to have early onset sepsis (EOS) and neonates who showed signs of infection after 3 days were considered to have late onset sepsis (LOS). Neonates without definite signs of infection and negative blood culture were considered as the control group. Neonates with congenital infections and congenital anomaly were excluded from the study.
After obtaining the blood culture results, understudy units were deliberated in terms of the number of platelets, PDW and MPV and a comparison was made between case and control group. Also, the number of platelets, PDW, and MPV were compared before, during, and after infection recovery. Data collection tool was researcher made checklist including the neonates’ laboratory specifications (PLT, MPV and PDW).
After collecting and coding the data, they were analyzed using SPSS (version 26). In the data analysis stage, first a general description of data was obtained with statistical tables and charts, and then, by using the T-test, we compared platelet indices in non-infected and infected neonates. The ROC curve analyses have been performed to evaluate if platelet count could be a biomarker for distinguishing definitive infection from those without infection. The significance level in all cases is p ≤ 0.05.
Results
807 neonates suspected of infection have been enrolled in this study. 512 neonates (66%) did not have infection and 295 neonates (35.5%) had infection. The number of platelets, MPV and PDW in two groups had statistically significant difference. In the group with definitive infection, the number of platelets was lower and the amount of MPV and RDW were higher (Table 1).
Table 1. Comparing the mean amount of laboratory variables of neonates in two groups of neonates without infection and those with infection
Variable | Case group N = 295 (34%) | Control group N = 512 (66%) | P-value (T-Test) |
PLT | 164.00±129.00 | 204.00±116.00 | 0.005 |
MPV | 11.88±5.05 | 9.31±1.28 | 0.000 |
PDW | 13.00±2.00 | 12.62±2.05 | 0.000 |
The results of the study depicted that the number of platelets decreases during infection, but this number increases after recovery (Fig. 1).
Figure 1. Changes of platelet before, during infection and after treatment
PDW increases during infection and after recovery (Fig. 2).
Figure 2. Changes in PDW before, during and after treatment
In this study, 54.5% of infected neonates and 32.7% non-infected neonates had thrombocytopenia. Forty percent of neonates with EOS and 57% of neonates with LOS, had thrombocytopenia (p = 0.000). Thrombocytopenia in LOS was 1.5 times more than EOS. Thrombocytopenia can be observed in more than 50% of neonates with sepsis Klebsiella pneumoniae and Enterobacter aerogenes (Fig. 3).
Figure 3. The percentage of thrombocytopenia in neonates with infection
As can be seen in Table 2, PDW higher than 11.5 fl is observed in 88.2% of neonates with definitive infection.
As seen in Table 3, MPW higher than 11 fl is observed in 47% of neonates with infection, while it is reported in less than 8% of non-infected neonates.
Table 3. Comparing the PDW of neonates in two groups of neonates without infection and those with infection
Variable: PDW | Control group (%) | Case group (%) | P-value (chi-square) |
Normal (7.5–11) | 32.2 | 11.8 | 0.001 |
Abnormal (> 11.5) | 64.8 | 88.2 |
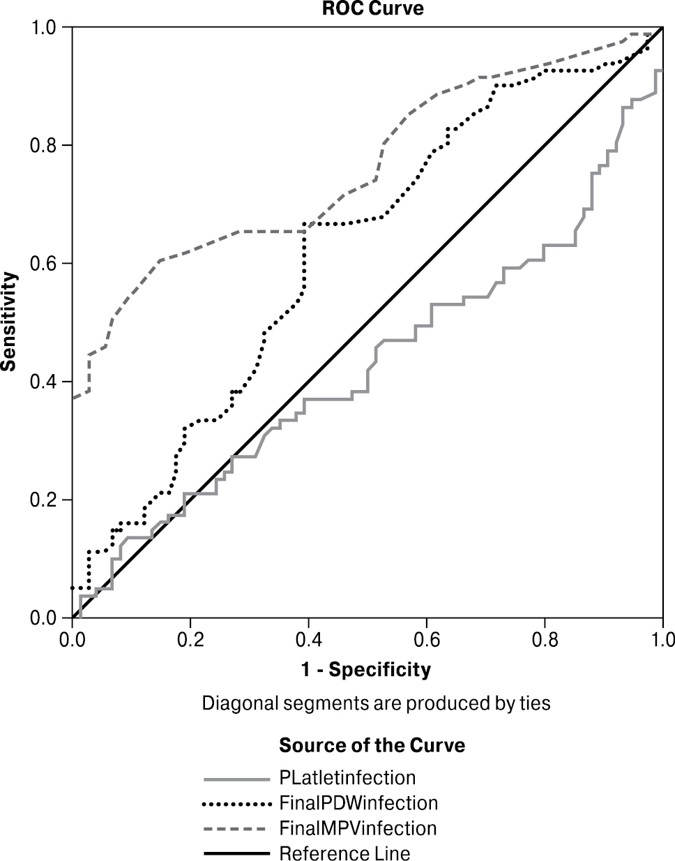
Platelet count less than 100 000 per microliter has a sensitivity of 73% and a specificity of 12.2% in diagnosis of neonatal sepsis (AUC = 0.427). MPV more than 9.8 fl has 80% sensitivity and 47% specificity in neonatal sepsis diagnosis (AUC = 0.618). PDW greater than 11.2 fl has a sensitivity of 90.1% and a specificity of 28.4% in diagnosis of neonatal sepsis (AUC = 0.763) (Fig. 4).
Figure 4. Sensitivity and specificity of PLT, PDW and MPV in diagnosis of neonatal sepsis
The comparison of platelet indices between gram-positive and gram-negative bacteria shows that the number of platelets decreases more and MPV significantly increases in sepsis caused by gram-negative bacteria compared to gram-positive bacteria (Table 4).
Table 4. Comparing the MPV of neonates in two groups of neonates without infection and those with infection
Variable: MPV | Without infection (%) | Definitive infection (%) | The significance level* (chi-square) |
Normal (< 11) | 92.3 | 52.6 | 0.001 |
Abnormal (> 11) | 7.7 | 47.4 |
Note. *P-value of less than 0.05 was regarded as statistically significant.
Table 5. Comparing the mean amount of laboratory variables of neonates in two groups of gram-negative and gram-positive micro-organisms
Variable | Gram negative Mean±SD | Gram positive Mean±SD | The significance level* (T-Test) |
PLT | 153.58±113.93 | 188.71±162.15 | 0.001 |
MPV | 11.92±3.04 | 10.80±2.33 | 0.047 |
PDW | 13.98±2.47 | 13.54±2.97 | 0.490 |
Note. *P-value of less than 0.05 was regarded as statistically significant.
The highest amount of platelets was reported in sepsis with Enterobacter agent and the least amount of platelets, in sepsis with Enterococcus agent (Fig. 5).
Figure 5. Mean amount of platelet in sepsis common germs among neonates with infection
Discussion
According to the results of this study, in infants with definite infection compared to infants without definite infection the number of platelets is reduced, and this decrease is seen more in infections caused by gram-negative bacteria. Although the reduction of platelets has an acceptable sensitivity for diagnosis of definitive infection, it has very little specificity. In this study, Thrombocytopenia in the group with infection was 1.5 times more than the group without infection (54% compared to 34%). The incidence of thrombocytopenia in sepsis has been reported to be 20 to 81% [5, 35, 36, 43]. Ahmad et al. introduced thrombocytopenia as a predictor of neonatal sepsis. They observed a higher mortality rate in infants with thrombocytopenia [2]. Thrombocytopenia in septic neonates is multi factorial and can be divided into several general categories such as increased platelet destruction, reduce in platelet production, various reasons and unknown reasons [4]. Physicians, who are faced with this homeostatic disorder or significant decrease in the number of platelets, should actively identify the underlying causes and try to rectify it. Detailed patient history and precise physical exam are the keys to a correct diagnosis, which should be approved by laboratory test results along with data analysis in clinical context [53]. Thrombocytes have a complicated role in sepsis. During sepsis and stimulation of pathogens, coagulation cascades, inflammatory responses along with endothelial tissue damage continuously cause activation of platelets [14] and platelets’ surface proteins can connect to bacteria [21]. Platelet consumption by platelet activation with intermediate thrombose is the most common mechanism. In severe sepsis diffuse intravascular coagulation can happen which can lead to intravascular fibrin formation and thrombotic vascular occlusion. Consumption of platelets and its subsequent thrombocytopenia and reduction of coagulation factors simultaneously, caused by continues coagulation, can cause excessive bleeding [53]. According to the fact that thrombocytopenia occurs in half of the neonates with sepsis, we can use it as a marker for neonatal sepsis diagnosis, since this blood marker can be quickly accessed by the physician.
The probable pathophysiology is neonatal sepsis-induced endothelial damage and the formation of microthrombi, which can lead to the consumption of platelets. The imbalance between the production from the bone marrow and consumption leads to low platelet count in neonatal sepsis [42].
In this study thrombocytopenia in LOS was 1.5 times more than EOS (57% compared to 40%). In Khasswanhe et al. study, higher rates of thrombocytopenia in neonates with LOS was reported, approximately three times higher than EOS (59.3% compared to 24%) [26]. In Sangsari et al. study, 33.3% of neonates with EOS, 40% of neonates with LOS and 50% of neonates with clinical infections had thrombocytopenia [35]. In Mittal and Guida studies, prevalence of thrombocytopenia in LOS was significantly higher than EOS [20, 36].
According to our study the number of platelets decreases more and MPV significantly increases in gram-negative bacteria caused infection compared to infections caused by gram-positive. In Guida et al. study the duration of thrombocytopenia related to sepsis was different depending on the microorganisms causing it. Gram-negative and fungal infections had a longer period of thrombocytopenia compared to the gram-positive infections [20]. According to studies, platelet levels in sepsis cases caused by gram-negative microorganisms in comparison with gram positive cases was less [3, 5, 8, 29].
In 69% of the cases with sepsis Klebsiella pneumoniae and 57% with Enterobacter aerogenes agent thrombocytopenia was observed. Although thrombocytopenia can be seen in various microbial causes of neonatal infection, but according to Ghanghoriya study, in infections caused by gram-negative microbes specially in Klebsiella [17] and according to Torkaman study, in infections caused by Enterobacter it was more common [51]. In Karne study, Pseudomonas aeruginosa was the most common organism causing neonatal sepsis accompanying severe thrombocytopenia (64.7%) than mild or moderate thrombocytopenia [25]. This may be due to more endotoxin produced by the gram-negative bacteria. Bacterial endotoxin inhibits platelet production by obstructing the bone marrow megakaryocytes in patients [16]. Whereas, In Sangsari et al. study, thrombocytopenia was observed in 28.5% of neonatal sepsis with gram-positive and 16.6% with gram-negative [35]. In Shane et al. study, thrombocytopenia was diagnosed in 25% of neonates with sepsis, but there wasn’t a significant difference between gram-positive and gram-negative caused infections [48]. Since the outbreak of thrombocytopenia in cases of sepsis due to gram-negative microorganisms is more common, therefore in cases of thrombocytopenia in neonatal sepsis, initially a suitable treatment for gram negatives should be considered.
In our study, moderate thrombocytopenia (PLT < 100 000/μl) has a sensitivity of 73% and a specificity of 12.2% in diagnosis of neonatal sepsis (AUC = 0.427). Thrombocytopenia (platelet count < 150 000/μl) had the highest sensitivity to detect sepsis (87.91%) followed by MPV and PDW with a sensitivity of 84.9% and 79.12%, respectively (Majumdar et al., 2021). The sensitivity and specificity of thrombocytopenia in detecting neonatal sepsis was found to be 83.08% and 20.33%, respectively [2].
According to the results of this study, MPV increases in infants with definitive infection compared to those without infection and this increase is significantly higher in gram-negative bacteria caused sepsis. In neonates with definitive infection high MPV (more than 11 fl) has been reported 6 times more than uninfected neonates. Choudhary et al. reported that high levels of MPV and PDW, and thrombocytopenia is more common in LOS than EOS [13]. In Mittal study, a significantly higher MPV in the LOS group was reported [36]. MPV, due to its sensitivity can be used as a marker for platelet morphology. Any rise in MPV level indicates a raise in platelet production by the bone marrow as a reciprocation to its destruction or consumption elsewhere. In general, platelets reduce in size due to aging, as a result MPV decreases. Moreover, it is depicted that platelets that have increased volume are more active, hypersensitive, and have a faster respond during the aggregation process while demanding minimum stimulus. These platelets are more adhesive in nature and in order to aid blood stasis they become more inert. These traits are believed to be due to the presence of excess of dense granules and thromboxane in the cytoplasm of larger platelets [7]. MPV is used as a potential marker for early diagnosis of severe sepsis and predicting the outcomes [24, 25]. The results of Cai et al. study depicted that MPV can be an independent predictor of neonatal sepsis prognosis, and can help predict the prognosis of premature neonates with LOS in early stages [12]. In Mittal study, MPV increased in 70.7% of neonatal sepsis [36]. The difference between baseline MPV level of neonates with culture-proven sepsis was comparatively higher than control group and this difference was found to be statistically significant. Hence, MPV can be used as a simple, economical, and specific factor to predict neonatal sepsis [22]. In Sangsari et al. study, increase in MPV levels in 25.6% of septic neonates was observed [45]. According to the results of Cai et al. study, increase in MPV levels in premature neonates can be caused by increase in blood coagulation, increased inflammatory response and oxidative stress. Which amongst all these reasons, the most common cause of relation between MPV and mortality is inflammatory responses [12]. Elevated MPV may indicate endothelial damage as well as platelet activation, and is an easily accessible hematological parameter [49]. According to results of Shaaban study MPV levels on third day after birth can be used as an alternate marker for predicting EOS and mortality related to it in premature neonates [46]. Therefore, given that the MPV increases during inflammation, it can be considered as a predicting marker in premature neonates with sepsis. However, the exact pathophysiologic mechanisms are still unknown [54].
In our study, increase in MPV greater than 9.8 fl has a sensitivity of 80% and a specificity of 47% in diagnosing the infection. In Tayman study, the MPV value of 10.35 fl was considered as the cut off value in patients probably resulting in sepsis with a sensitivity of 97.8% and specificity of 78.7% (AUC = 0.949; p < 0.001) [50]. In Milas study, MPV levels in infected neonates were found significantly higher compared to healthy neonates. In sepsis diagnosis, sensitivity and specificity of MPV was proven to be 0.675 (95% CI: 0.536–0.790) and 0.733 (95% CI: 0.589–0.840), respectively, at an optimal cut-off point of 9.28fL [35]. In Sagheb study, there were statistically significant differences between MPV (Mean Difference: 0.56, 95% CI: 0.25 to 0.86, p < 0.001) in neonatal sepsis compared to healthy neonates. Diagnostic cut-off levels with sensitivity of (80.56%) and specificity of (52%) were found to be MPV > 9.2 fl [44]. The sensitivity and specificity values of MPV (cut-off > 9 fl) were 63.40% and 53.8% respectively. The area under the curve (AUC) values for MPV, in the ROC analysis were 0.641 [42]. In Pamudji study, MPV with a cut-off point of 7.44 fl can be used for neonatal sepsis diagnosis with a sensitivity of 80% and 84.2% specificity [41]. The mechanism of changing platelet function in sepsis is still unclear. During activation, platelet morphology changes from discoid to spherical with pseudopodia. MPV reflects the average size of platelets. Old platelets are smaller in size in comparison with young platelets. An increase in number of young platelets indicates a raise in platelet production due to overconsumption induced by inflammation. Larger platelets are believed to be metabolically, functionally, and enzymatically more active than smaller platelets.
According to the results of this study, PDW has a definitive increase in neonates with infection compared to those without infection, which this increase is insignificantly higher in gram-negative bacteria caused sepsis. Increase in PDW greater than 11.2 has a sensitivity of 90% and a specificity of 28% for the diagnosis of definitive infection. In Sangsari et al. study, increase in PDW levels was observed in 24.3% of septic neonates [45]. In 67% of cases (n = 188) PDW was found to increase compared to the control group (36.2%) (p < 0.0001) [36]. Guclu et al. reported that septic patients with PDW levels higher than 18%, had worse outcomes [19]. The results of Meabed study depicted that the average amount of platelets and PDW among septic neonates was less than the control group. Meanwhile, PDW level in septic patients was significantly higher than control group. PDW increases during infection [33]. In Karne study, platelet indices, MPV and PDW values were increased in newborns with sepsis. 43.69% of proven and probable sepsis showed increased PDW value [25]. Therefore, platelet function can be an important diagnostic marker in neonatal sepsis [33]. In Tayman et al. study, there were no statistically significant difference in PDW levels between the group of neonates with sepsis and the control group [50]. Catal et al. study reported higher levels of PDW along with higher MPV levels during sepsis episodes on consecutive days among non-survivors [50]. According to Choudhar study, 65.81% of the neonates in case group and 34.69% in control group had PDW higher than 19.1 fl and which this difference between the two groups was statistically significant (p = 0.0001) [36]. PDW is an indicator of volume variability in platelets size and depicts the heterogeneity in platelet morphology [15]. It increases when there is platelet anisocytosis. Under physiological conditions, there is a direct connection between MPV and PDW; both usually change in the same direction [9]. A high PDW may result from platelet swelling in the circulation and platelet immaturity, which can indicate platelet heterogeneity [31]. In order to predict outcomes in pediatric and neonatal sepsis, metrics such as PDW, which is an indicator of platelet size, have been used. Changes in these parameters during sepsis can help us gain a plain insight into the multiple roles played by platelets in sepsis pathophysiology [37].
The main limitation of our study is its retrospective nature. Therefore, it is recommended to carry out detailed prospective studies on this subject.
Conclusion
Sepsis in premature neonates can lead to thrombocytopenia and changes in platelet indicators (PDW, MPV and PLT) and all these indicators are easily accessible and cost-effective and can be obtained during usual blood count. During infection the number of platelets decreases, but MPV and PDW increase. Before and during infection the number of platelets and MPV decrease but after recovery the number of platelets, MPV and PDW increase. Thrombocytopenia in LOS was 1.5 times more than EOS, and thrombocytopenia in sepsis caused by gram-negative microorganisms was more common than gram-positive. Increase MPV and PDW in sepsis caused by gram-negative microorganisms was more common than gram-positive. Platelet indices have good sensitivity but low specificity in diagnosing definitive infection
Acknowledgements
The current study is the result of the project approved by Mashhad University of medical science (4011568). Hereby the authors of this article express their gratitude to the (research assistant of the university), the director of research department and other officials or authorities.
And they are grateful to all the people who assisted this project.
About the authors
M. Zakerihamidi
Islamic Azad University
Email: boskabadih@mums.ac.ir
Associate Professor of Reproductive Health, Department of Midwifery, School of Medical Sciences
Иран, TonekabonH. Boskabadi
Mashhad University of Medical Sciences
Author for correspondence.
Email: boskabadih@mums.ac.ir
Professor, Department of Pediatrics, Faculty of Medicine
Иран, MashhadM. Nayeri
Mashhad University of Medical Sciences
Email: boskabadih@mums.ac.ir
Neonatologist, Department of Pediatrics, Faculty of Medicine
Иран, MashhadZ. Badiee
Mashhad University of Medical Sciences
Email: boskabadih@mums.ac.ir
iatrics Hematologist, Department of Pediatrics, Faculty of Medicine
Иран, MashhadF. Bagheri
Islamic Azad University
Email: boskabadih@mums.ac.ir
PhD Candidate in Nursing, Department of Nursing, Faculty of Nursing and Midwifery
Иран, MashhadS. Amirkhani
Islamic Azad University
Email: boskabadih@mums.ac.ir
Student of Midwifery, Department of Midwifery, School of Medical Sciences
Иран, TonekabonReferences
- Acikgoz S., Akduman D., Eskici Z.M., Can M., Mungan G., Guven B., Comert F., Sumbuloglu V. Thrombocyte and erythrocyte indices in sepsis and disseminated intravascular coagulation. J. Med. Biochem., 2012, vol. 31, no. 1, pp. 60–64. doi: 10.2478/v10011-011-0043-1
- Ahmad M.S., Waheed A. Platelet counts, MPV and PDW in culture proven and probable neonatal sepsis and association of platelet counts with mortality rate. J. Coll. Physicians. Surg. Pak., 2014, vol. 24, no. 5, pp. 340–344.
- Ahmed F., Raj A.Y., Begum L.N. Thrombocytopenia in late onset neonatal sepsis and its relationship with specific organism in a tertiary care hospital. Mymensingh. Med. J., 2017, vol. 26, no. 4, pp. 900–905
- Aird W.C. The hematologic system as a marker of organ dysfunction in sepsis. Mayo Clinic Proceedings, 2003, vol. 78, iss. 7, pp. 869–881.
- Arabdin M., Khan A., Zia S., Khan S., Khan G.S., Shahid M. Frequency and severity of thrombocytopenia in neonatal sepsis. Cureus, 2022, vol. 14, no. 2: e22665. doi: 10.7759/cureus.22665
- Aydın B., Dilli D., Zenciroğlu A., Karadağ N., Beken S., Okumuş N. Mean platelet volume and uric acid levels in neonatal sepsis. Indian. J. Pediatr., 2014, vol. 81, no. 12, pp. 1342–1346. doi: 10.1007/s12098-014-1417-4
- Becchi C., Al Malyan M., Fabbri L.P., Marsili M., Boddi V., Boncinelli S. Mean platelet volume trend in sepsis: is it a useful parameter? Minerva Anestesiol., 2006, vol. 72, no. 9, pp. 749–756. English, Italian
- Bhat M.A., Bhat J.I., Kawoosa M.S., Ahmad S.M., Ali S.W. Organism-specific platelet response and factors affecting survival in thrombocytopenic very low birth weight babies with sepsis. J. Perinatol., 2009, vol. 29, no. 10, pp. 702–708. doi: 10.1038/jp.2009.72
- Bhat R. Platelet indices in neonatal sepsis: a review. World J. Clin. Infect. Dis., 2017, vol. 7, no. 1, pp. 6–10. doi: 10.5495/wjcid.v7.i1.6
- Boskabadi H., Maamouri G., Afshari J.T., Ghayour-Mobarhan M., Shakeri M.T. Serum interleukin 8 level as a diagnostic marker in late neonatal sepsis. Iran. J. Pediatr., 2010, vol. 20, no. 1, pp. 41–47.
- Boskabadi H., Zakerihamidi M. Evaluate the diagnosis of neonatal sepsis by measuring interleukins: a systematic review. Pediatr. Neonatol., 2018, vol. 59, no. 4, pp. 329–338. doi: 10.1016/j.pedneo.2017.10.004
- Cai N., Chen Z.Q., Tao M., Fan W.T., Liao W. Mean platelet volume and red blood cell distribution width is associated with prognosis in premature neonates with sepsis. Open Med. (Wars), 2021, vol. 16, no. 1, pp. 1175–1181. doi: 10.1515/med-2021-0323
- Choudhary R.R., Makwana M., Mourya H.K., Dabi J., Gulati K. Evaluation of platelet and its indices as a marker of neonatal sepsis: a prospective case control study. International Journal of Contemporary Pediatrics, 2018, vol. 5, no. 5, pp. 1898–1903. doi: 10.18203/2349-3291.ijcp20183527
- De Stoppelaar S.F., van ‘t Veer C., van der Poll T. The role of platelets in sepsis. Thromb. Haemost., 2014, vol. 112, no. 4, pp. 666–677. doi: 10.1160/TH14-02-0126
- Demirin H., Ozhan H., Ucgun T., Celer A., Bulur S., Cil H., Gunes C., Yildirim H.A. Normal range of mean platelet volume in healthy subjects: Insight from a large epidemiologic study. Thromb. Res., 2011, vol. 128, no. 4, pp. 358–360. doi: 10.1016/j.thromres.2011.05.007
- François B., Trimoreau F., Vignon P., Fixe P., Praloran V., Gastinne H. Thrombocytopenia in the sepsis syndrome: role of hemophagocytosis and macrophage colony-stimulating factor. Am. J. Med., 1997, vol. 103, no. 2, pp. 114–120. doi: 10.1016/s0002-9343(97)00136-8
- Ghanghoriya P., Gedam D.S. Neonatal septicemia and thrombocytopenia. Int. J. Med. Res. Rev., 2015, vol. 3, no. 2, pp. 139–140. URL: https://ijmrr.medresearch.in/index.php/ijmrr/article/view/200
- Ghazvini K., Rashed T., Boskabadi H., Yazdan Panah M., Khakzadan F., Safaee H., Mohamadpor L. Neonatal intensive care unit nosocomial bacterial infections. Tehran. Univ. Med. J., 2008, vol. 66, no. 5, pp. 349–354. URL: http://tumj.tums.ac.ir/article-1-602-en.html
- Guclu E., Durmaz Y., Karabay O. Effect of severe sepsis on platelet count and their indices. Afr. Health. Sci., 2013, vol. 13, no. 2, pp. 333–338. doi: 10.4314/ahs.v13i2.19
- Guida J.D., Kunig A.M., Leef K.H., McKenzie S.E., Paul D.A. Platelet count and sepsis in very low birth weight neonates: is there an organism-specific response? Pediatrics, 2003, vol. 111, no. 6, pt 1, pp. 1411–1415. doi: 10.1542/peds.111.6.1411
- Hamzeh-Cognasse H., Damien P., Chabert A., Pozzetto B., Cognasse F., Garraud O. Platelets and infections — complex interactions with bacteria. Front. Immunol., 2015, vol. 6: 82. doi: 10.3389/fimmu.2015.00082
- Hanaganahalli S.B., Sreeram S., Bompada M., Kuppannagari S.K., Suresh P.K., Philipose C.S. Is MPV a predictive marker for neonatal sepsis? A pilot study. J. Pediatr. Hematol. Oncol., 2018, vol. 40, no. 7, pp. 548–552. doi: 10.1097/MPH.0000000000001272
- Hui P., Cook D.J., Lim W., Fraser G.A., Arnold D.M. The frequency and clinical significance of thrombocytopenia complicating critical illness: a systematic review. Chest, 2011, vol. 139, no. 2, pp. 271–278. doi: 10.1378/chest.10-2243
- Jain K., Sharma D., Patidar M., Nandedkar S., Pathak A., Purohit M. Red cell distribution width as a predictor of mortality in patients with clinical sepsis: experience from a single rural center in Central India. Clin. Pathol., 2022, vol. 15: 2632010X221075592. doi: 10.1177/2632010X221075592
- Karne T.K., Joshi D.D., Zile U., Patil S. Study of platelet count and platelet indices in neonatal sepsis in tertiary care institute. MVP Journal of Medical Sciences, 2017, vol. 4, iss. 1, pp. 55–60.
- Khassawneh M., Khader Y., Abuqtaish N. Clinical features of neonatal sepsis caused by resistant gram-negative bacteria. Pediatr. Int., 2009, vol. 51, no. 3, pp. 332–336. doi: 10.1111/j.1442-200X.2008.02767.x
- Kim J.Y., Yoon J., Lim C.S., Choi B.M., Yoon S.Y. Clinical significance of platelet-associated hematological parameters as an early supplementary diagnostic tool for sepsis in thrombocytopenic very-low-birth-weight infants. Platelets, 2015, vol. 26, no. 7, pp. 620–626. doi: 10.3109/09537104.2014.963542
- Lee J.H., Park M., Han S., Hwang J.J., Park S.H., Park S.Y. An increase in mean platelet volume during admission can predict the prognoses of patients with pneumonia in the intensive care unit: a retrospective study. PLoS One, 2018, vol. 13, no. 12: e0208715. doi: 10.1371/journal.pone.0208715
- Lin C., Zhou X., Ying F., Hu D., Wu Q., Lu B., Xue X. gram-negative bacteria are more inclined to cause thrombocytopenia than gram-positive ones in the bloodstream infections. J. Microbiol. Biotechnol. Rep., 2018, vol. 2, no. 1, pp. 14–16.
- Majumdar A., Biswas S., Jana A. Platelet indices as an earlier and economical marker of neonatal sepsis. Iraqi Journal of Hematology, 2021, vol. 10, no. 2: 108.
- Mangalesh S., Dudani S., Malik A. Platelet indices and their kinetics predict mortality in patients of sepsis. Indian J. Hematol. Blood. Transfus., 2021, vol. 37, no. 4, pp. 600–608. doi: 10.1007/s12288-021-01411-2
- Manzoni P. Hematologic aspects of early and late-onset sepsis in preterm infants. Clin. Perinatol., 2015, vol. 42, no. 3, pp. 587–595. doi: 10.1016/j.clp.2015.04.012
- Meabed M.H., Sharaf E.A.-E., Abd-Elkareem R.M., Mahmoud M.H.A.E. Mean platelet volume and platelet function in neonatal sepsis. The Egyptian Journal of Hospital Medicine, 2021, vol. 82, no. 1, pp. 181–185.
- Memon J., Holakouie-Naieni K., Majdzadeh R., Yekaninejad M.S., Garmaroudi G., Raza O., Nematollahi S. Knowledge, attitude, and practice among mothers about newborn care in Sindh, Pakistan. BMC Pregnancy Childbirth, 2019, vol. 19, no. 1: 329. doi: 10.1186/s12884-019-2479-0
- Milas G.P., Karageorgiou V., Bellos I. Mean platelet volume and neonatal sepsis: a systematic review and meta-analysis of diagnostic accuracy. J. Matern. Fetal. Neonatal. Med., 2022, vol. 35, no. 25, pp. 5324–5336. doi: 10.1080/14767058.2021.1879039
- Mittal A., Arya S., Charan L.S., Saluja S., Chellani H. Evaluation of platelet indices as additional diagnostic tool for neonatal sepsis. Astrocyte, 2018, vol. 4, no. 4: 205.
- O’Reilly D., Murphy C.A., Drew R., El-Khuffash A., Maguire P.B., Ainle F.N., Mc Callion N. Platelets in pediatric and neonatal sepsis: novel mediators of the inflammatory cascade. Pediatr. Res., 2022, vol. 91, no. 2, pp. 359–367. doi: 10.1038/s41390-021-01715-z
- Oh G.H., Chung S.P., Park Y.S., Hong J.H., Lee H.S., Chung H.S., You J.S., Park J.W., Park I. Mean platelet volume to platelet count ratio as a promising predictor of early mortality in severe sepsis. Shock, 2017, vol. 47, no. 3, pp. 323–330. doi: 10.1097/SHK.0000000000000718
- Omran A., Maaroof A., Mohammad M.H.S., Abdelwahab A. Salivary C-reactive protein, mean platelet volume and neutrophil lymphocyte ratio as diagnostic markers for neonatal sepsis. J. Pediatr. (Rio J.), 2018, vol. 94, no. 1, pp. 82–87. doi: 10.1016/j.jped.2017.03.006
- Oncel M.Y., Ozdemir R., Yurttutan S., Canpolat F.E., Erdeve O., Oguz S.S., Uras N., Dilmen U. Mean platelet volume in neonatal sepsis. J. Clin. Lab. Anal., 2012, vol. 26, no. 6, pp. 493–496. doi: 10.1002/jcla.21552
- Pamudji K.M., Kardana I.M. Diagnostic value of mean platelet volume in neonatal sepsis. Paediatrica Indonesiana, 2019, vol. 59, no. 6, pp. 289–293.
- Panda S.K., Nayak M.K., Thangaraj J., Das P., Pugalia R. Platelet parameters as a diagnostic marker in early diagnosis of neonatal sepsis — seeking newer answers for older problems. J. Family. Med. Prim. Care, 2022, vol. 11, no. 5, pp. 1748–1754. doi: 10.4103/jfmpc.jfmpc_1271_21
- Ree I.M.C., Fustolo-Gunnink S.F., Bekker V., Fijnvandraat K.J., Steggerda S.J., Lopriore E. Thrombocytopenia in neonatal sepsis: Incidence, severity and risk factors. PLoS One, 2017, vol. 12, no. 10: e0185581. doi: 10.1371/journal.pone.0185581
- Sagheb S., Eshaghi H., Lamsehchi A. The role of mean platelet volume in the diagnosis of neonatal sepsis. Journal of Iranian Medical Council, 2022, vol. 5, no. 1, pp. 111–117.
- Sangsari R., Kadivar M., Fardi R., Attary S.J., Jafari A. Platelets indices and different germs of neonatal sepsis. Iranian Journal of Pediatrics, 2019, vol. 29, no. 2: e80856. doi: 10.5812/ijp.80856
- Shaaban H.A., Safwat N. Mean platelet volume in preterm: a predictor of early onset neonatal sepsis. J. Matern. Fetal. Neonatal. Med., 2020, vol. 33, no. 2, pp. 206–211. doi: 10.1080/14767058.2018.1488161
- Shane A.L., Sánchez P.J., Stoll B.J. Neonatal sepsis. Lancet, 2017, vol. 390, no. 10104, pp. 1770–1780. doi: 10.1016/S0140-6736(17)31002-4
- Shane A.L., Stoll B.J. Recent developments and current issues in the epidemiology, diagnosis, and management of bacterial and fungal neonatal sepsis. Am. J. Perinatol., 2013, vol. 30, no. 2, pp. 131–141. doi: 10.1055/s-0032-1333413
- Tajarernmuang P., Phrommintikul A., Limsukon A., Pothirat C., Chittawatanarat K. The role of mean platelet volume as a predictor of mortality in critically ill patients: a systematic review and meta-analysis. Crit. Care Res. Pract., 2016, vol. 2016: 4370834. doi: 10.1155/2016/4370834
- Catal F., Tayman C., Tonbul A., Akça H., Kara S., Tatli M.M., Oztekin O., Bilici M. Mean platelet volume (MPV) may simply predict the severity of sepsis in preterm infants. Clin. Lab., 2014, vol. 60, no. 7, pp. 1193–1200. doi: 10.7754/clin.lab.2013.130501
- Torkaman M., Afsharpaiman S.H., Hoseini M.J., Moradi M., Mazraati A., Amirsalari S., Kavehmanesh Z. Platelet count and neonatal sepsis: a high prevalence of Enterobacter spp. Singapore. Med. J., 2009, vol. 50, no. 5, pp. 482–485.
- Tsirigotis P., Chondropoulos S., Frantzeskaki F., Stamouli M., Gkirkas K., Bartzeliotou A., Papanikolaou N., Atta M., Papassotiriou I., Dimitriadis G., Dimopoulou I. Thrombocytopenia in critically ill patients with severe sepsis/septic shock: Prognostic value and association with a distinct serum cytokine profile. J. Crit. Care., 2016, vol. 32, pp. 9–15. doi: 10.1016/j.jcrc.2015.11.010
- Vardon-Bounes F., Ruiz S., Gratacap M.P., Garcia C., Payrastre B., Minville V. Platelets are critical key players in sepsis. Int. J. Mol. Sci., 2019, vol. 20, no. 14: 3494. doi: 10.3390/ijms20143494
- Ye S., Zhang Y., Zhang C., Xu D. Are platelet volume indices related to mortality in hospitalized children on mechanical ventilation? J. Int. Med. Res., 2018, vol. 46, no. 3, pp. 1197–1208. doi: 10.1177/0300060517737211
Supplementary files









