A retrospective long-term assessment of antibody response in melioidosis animals
- Authors: Zakharova I.B.1, Tereshko D.L.1, Chirskov P.R.1, Bui T.2, Thomson S.3, Novitskaya I.V.1
- 
							Affiliations: 
							- Volgograd Plague Control Research Institute, Federal Service for Surveillance on Consumers Rights Protection and Human Wellbeing
- Russian-Vietnamese Tropical Research and Technology Center
- Vietnam Bear Rescue Centre
 
- Issue: Vol 15, No 1 (2025)
- Pages: 173-177
- Section: SHORT COMMUNICATIONS
- Submitted: 30.05.2024
- Accepted: 13.08.2024
- Published: 30.04.2025
- URL: https://iimmun.ru/iimm/article/view/17678
- DOI: https://doi.org/10.15789/2220-7619-ARL-17678
- ID: 17678
Cite item
Full Text
Abstract
Melioidosis is an extremely fatal infection disease caused by the gram-negative bacterium Burkholderia pseudomallei. The causative agent of melioidosis is an environmental saprophyte and has significant adaptive potential allowing it to undergo rapid adaptation to a wide variety of ecological niches. The bacterium is a facultative intracellular pathogen that can infect many animal species as well as humans. B. pseudomallei has no pronounced tropism for certain tissues of the infected organism, which explains the diversity and non-specificity of clinical manifestations, the most common of which are pneumonia with or without bacteremia and sepsis. Тhis diagnosis is established on the basis of laboratory test data; cultured pathogen isolation is considered the gold standard. The indirect hemagglutination test remains a popular method for rapid melioidosis diagnostics, and increased paired serum antibody titer is an important criterion for making a diagnosis. The purpose of this work was to conduct a retrospective analysis of the long-term dynamic antibody response in Asiatic black bears that died from melioidosis and contact animals from the Vietnam Bear Rescue Center as well as molecular genetic analysis of isolated B. pseudomallei strains. Bacterial cultures were isolated from dead animals and identified by PCR as B. pseudomallei. Multilocus sequence typing showed that strains VP069 and VP044 had the same and hitherto undescribed sequence type (STnew), and strains VP161 and VP200 shared ST541. The pairwise strain identity with the same ST was confirmed by a core genome multilocus sequence typing. A retrospective analysis of 546 serum samples from 226 bears was carried out. All animals that died from melioidosis were seropositive for B. pseudomallei. Among the healthy bears studied, 24% were seropositive. It was found that in humans and bears there is a general trend in the dynamics of the antibody response. Similar to humans, bears with bacteriologically confirmed melioidosis were observed to have both higher and lower serum antibody titer, as well as a constant and fairly high titer, which shows the diagnostic ineffectiveness elevated paired serum antibody titer in melioidosis.
Full Text
Введение
Мелиоидоз — инфекция с высокой летальностью, вызываемая грамотрицательной бактерией B. pseudomallei. Возбудитель мелиоидоза по своей природе является сапрофитом и обладает значительным адаптационным потенциалом, позволяющем занимать самые разнообразные экологические ниши — от почвы до человека. Бактерия является факультативным внутриклеточным патогеном и способна инфицировать практически все классы позвоночных животных. Возбудитель мелиоидоза не обладает выраженным тропизмом к определенным тканям макроорганизма, чем обусловлена разнообразность и неспецифичность клинических проявлений, наиболее частыми из которых являются пневмония с бактериемией (или без нее) и сепсис.
В естественных условиях B. pseudomallei распространена в тропических и субтропических поясах всех континентов и ее ареал постоянно расширяется. Так, за последние 5 лет список эндемичных по мелиоидозу стран пополнился 12 новыми странами Африки, Азии, Океании и Северной Америки [1]. Подавляющее большинство эндемичных по мелиоидозу стран являются популярными для туризма, что, наряду с экспортом товаров и животных, является причиной регулярных заносов инфекции на неэндемичные территории. В России зарегистрирован единственный завозной случай мелиоидоза из Таиланда, что, учитывая статистику российского туризма и данные о заносах мелиоидоза в другие страны, не соответствует реальности, поскольку мелиоидоз в нашей стране малоизвестен и не рассматривается при диагностике лихорадок неясной этиологии.
В силу разнообразия клинических проявлений мелиоидоза этот диагноз во всем мире устанавливается на основании лабораторных исследований, в обязательный перечень которых входят бактериологический, молекулярно-генетический и иммунологический анализ.
Роль антител в формировании функционального иммунитета к мелиоидозу неоднозначна, поскольку даже при наличии высоких уровней антител возможно повторное заражение другим штаммом. Кроме того, при мелиоидозе остается неясным период сероконверсии. Около 30% пациентов с культурально подтвержденным мелиоидозом в течении 2 недель после госпитализации остаются серонегативными и у значительной части сероконверсии не происходит и в более поздние сроки [2]. Тем не менее РНГА остается востребованным методом быстрой диагностики мелиоидоза и показатель нарастания титра антител в парных сыворотках является важным критерием для установления диагноза. В связи с этим целью настоящей работы был ретроспективный анализ длительной динамики антительного ответа у погибших от мелиоидоза и контактных животных из Вьетнамского центра спасения медведей (VBRC) и молекулярно-генетический анализ выделенных штаммов B. pseudomallei.
Животные, спасенные с нелегальных ферм по получению медвежьей желчи, содержатся в VBRC в полуестественных открытых вольерах (общей площадью около 30 000 м2). Медведям созданы оптимальные условия, соответствующие международным этическим нормам, и обеспечен пожизненный уход, в том числе ветеринарный (https://www.animalsasia.org/intl/our-work/bear-sanctuaries/vietnam-bear-sanctuary/vietnam-bear-sanctuary.html).
Проведен ретроспективный анализ 546 образцов сывороток от 226 медведей, отобранных при проведении планового контроля здоровья животных в период с 2008 по 2023 гг., хранившихся в лаборатории центра при –80°С. Реакцию непрямой гемагглютинации (РНГА) ставили в микроварианте с применением эритроцитарного антигенного мелиоидозного диагностикума, как описано ранее [3]. Идентификацию выделенных бактериальных культур проводили на биохимическом анализаторе «Vitek 2» с использованием карт для идентификации клинически значимых грамотрицательных палочек VITEK® 2 GN (bioMerieux, Франция) и методом ПЦР, описанном ранее [4]. Выделенные штаммы типировали по схемам MLST (7 консервативных локусов) [5, 6] и cgMLST (4221 локус основного генома) [7] с использованием инструментария базы данных PubMLST (https://pubmlst.org).
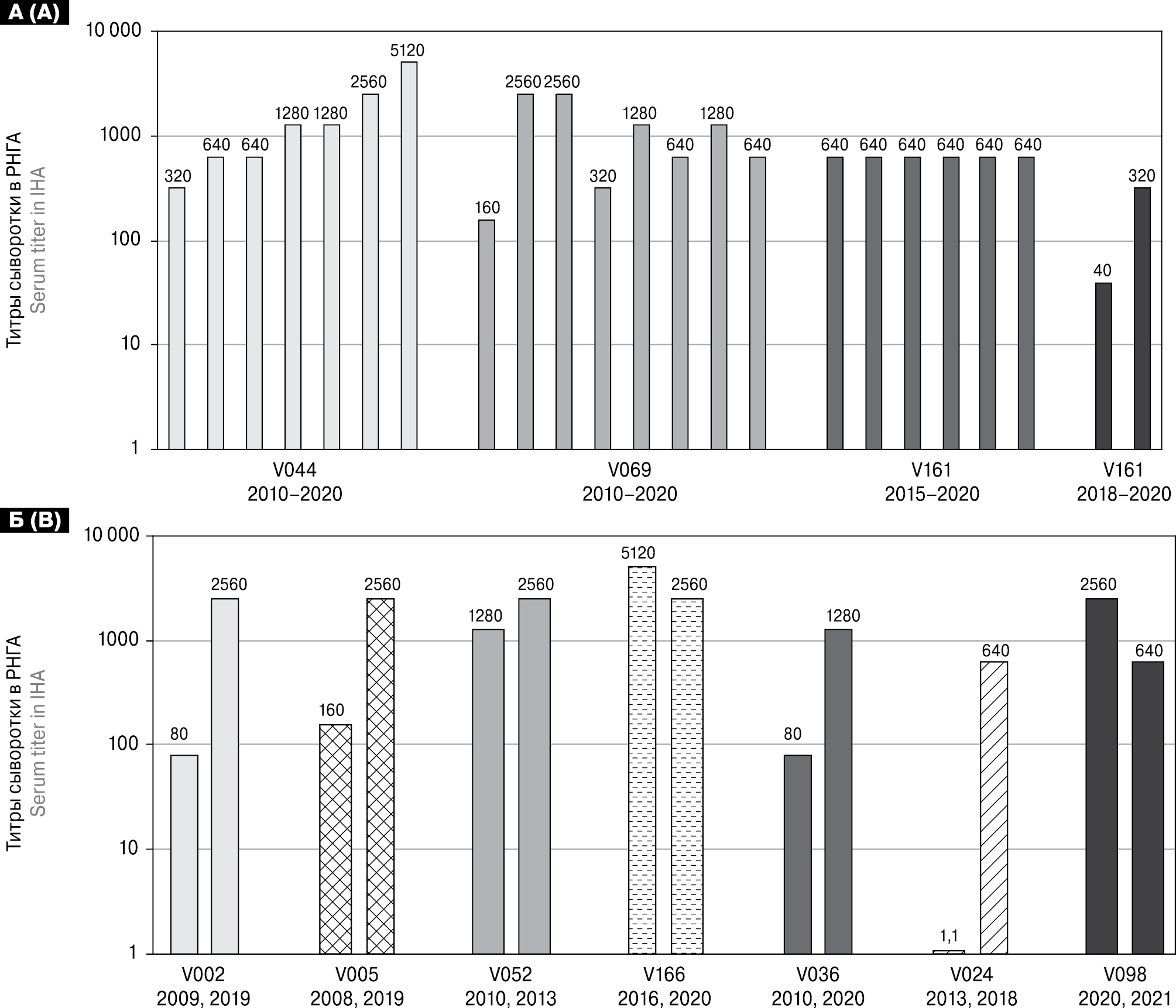
В течение двух месяцев 2020 г. в VBRC с признаками бактериального сепсиса погибли 4 черных азиатских медведя (учетные номера V069, V044, V161 и V200). Животные к моменту манифестации инфекции находились в центре от 2 до 10 лет, возраст к моменту гибели животных составлял 17–19 лет, то есть у всех присутствовал возрастной фактор, являющийся для людей предрасполагающим к развитию мелиоидоза. Патоморфологическая картина у всех погибших медведей была сходной — множественные абсцессы печени, селезенки, гнойный перикардит, легочное кровотечение, что характерно для мелиоидоза.
От погибших животных были выделены бактериальные культуры — штамм VP069 идентифицирован на «Vitek 2» как Burkholderia cepacia, штаммы VP044, VP161 и VP200 — как B. pseudomallei. Методом мультиплексной ПЦР показано, что все 4 штамма являются B. pseudomallei. Для внутривидового типирования использовали шотган полногеномные последовательности, депонированные ранее в GenBank NCBI (номера доступа — JAOZIV000000000, JAOZIU000000000, JAOZIT000000000, JAOZIS000000000). Мультилокусное сиквенс типирование (MLST) показало, что штаммы VP069 и VP044 имели одинаковый, ранее не описанный сиквенс-тип (ST), штаммы VP161 и VP200 также имели общий ST541. То есть две пары медведей были инфицированы разными штаммами. Идентичность внутри пар штаммов VP044/VP069 и VP044/VP069 была подтверждена cgMLST — штаммы VP044 и VP069 отличались всего по 4 локусам из 4221 (BPSEU00110, BPSEU03110, BPSEU25620, BPSEU25835) штаммы VP161 и VP200 — по 5 (BPSEU08565, BPSEU28315, BPSEU25620, BPSEU22515, BPSEU19005). Полученные данные позволили установить неклональный характер вспышки мелиоидоза с двумя разными источниками инфекции.
На наличие антител к возбудителю мелиоидоза исследовали парные сыворотки от 215 животных без клинических признаков инфекции и 11 погибших, в том числе 4-х с бактериологически подтвержденным мелиоидозом и 7-и с патоморфологическими характеристиками, позволяющими заподозрить мелиоидоз (бактериологическое исследование не проводилось, пригодный для анализа в ПЦР материал отсутствовал). Среди здоровых животных серопозитивных (с титром сывороток 1:320 и выше) оказалось 55 особей (24%).
Все погибшие от мелиоидоза животные были серопозитивными — титры последних отобранных сывороток варьировали от 1:320 до 1:5120. Причем у двух из них в долгосрочной динамике (2–10 лет) отмечено повышение титра, у одного титр оставался неизменным, еще у одного наблюдали транзиторную серореверсию (рис. 1, A). Среди животных с подозрением на мелиоидоз титры последних отобранных сывороток варьировали от 1:640 до 1:5120, с течением времени в 5 случаях наблюдалось повышение титра, в двух — снижение (рис. 1, Б).
Рисунок. Динамика антительного ответа у погибших животных: А — с бактериологически подтвержденным мелиоидозом, Б — с подозрением на мелиоидоз
Серопозитивных в отношении B. pseudomallei среди исследованных здоровых медведей оказалось 24%, что выше, чем у диких макак (14%) в Таиланде [8]. Возможно, это отражает различную видовую восприимчивость к мелиоидозу. Также нельзя исключать территориальный фактор, поскольку у здорового населения эндемичных по мелиоидозу стран уровень серопозитивности также отличается — 30% на севере Вьетнама, 20% в Индии и 38% в Таиланде [2, 3, 9]. Вопрос, является ли серопозитивность против B. pseudomallei как у здоровых людей, так и у животных показателем латентной инфекции или иммунитета после перенесенного заболевания, остается открытым [2].
Изучение длительной динамики антительного ответа при мелиоидозе у людей затруднительно, максимальный срок наблюдения за выжившими пациентами составлял 52 недели. Сыворотки от медведей отбирали в течение 2–10 лет, что позволило ретроспективно оценить динамику уровня антител к B. pseudomallei в течение длительного времени. Обнаружено, что у людей и медведей прослеживается общая тенденция динамики антительного ответа. В обоих случаях реакция макроорганизма на B. pseudomallei индивидуальна и, вероятно, непредсказуема. Так же, как у людей [2] у медведей при бактериологически подтвержденном мелиоидозе обнаружено как повышение и снижение титра сывороток, так и неизменный и достаточно высокий титр, что показывает диагностическую неэффективность показателя нарастания титра антител в парных сыворотках при мелиоидозе.
About the authors
Irina B. Zakharova
Volgograd Plague Control Research Institute, Federal Service for Surveillance on Consumers Rights Protection and Human Wellbeing
							Author for correspondence.
							Email: zib279@gmail.com
				                					                																			                								
DSc (Biology), Associate Professor, Leading Researcher, Laboratory of Pathogenic Burkholderia
Россия, VolgogradD. L. Tereshko
Volgograd Plague Control Research Institute, Federal Service for Surveillance on Consumers Rights Protection and Human Wellbeing
														Email: zib279@gmail.com
				                					                																			                								
Researcher, Laboratory of Immunodiagnostic Preparation
Россия, VolgogradP. R. Chirskov
Volgograd Plague Control Research Institute, Federal Service for Surveillance on Consumers Rights Protection and Human Wellbeing
														Email: zib279@gmail.com
				                					                																			                								
Researcher, Laboratory of Pathogenic Burkholderia
Россия, VolgogradT.L.A. Bui
Russian-Vietnamese Tropical Research and Technology Center
														Email: zib279@gmail.com
				                					                																			                								
PhD (Biology), Senior Researcher, Laboratory of Molecular Biology
Вьетнам, HanoiS. Thomson
Vietnam Bear Rescue Centre
														Email: zib279@gmail.com
				                					                																			                								
BVSc MBA (Bachelor of Veterinary Science, Master of Business Administration), Senior Veterinary Surgeon
Вьетнам, Tam Dao National ParkI. V. Novitskaya
Volgograd Plague Control Research Institute, Federal Service for Surveillance on Consumers Rights Protection and Human Wellbeing
														Email: zib279@gmail.com
				                					                																			                								
PhD (Medicine), Associate Professor, Leading Researcher, Laboratory of Immunodiagnostic Preparations
Россия, VolgogradReferences
- Meumann E.M., Limmathurotsakul D., Dunachie S.J., Wiersinga W.J., Currie B.J. Burkholderia pseudomallei and melioidosis. Nat. Rev. Microbiol., 2024, vol. 22, no. 3, pp. 155–169. doi: 10.1038/s41579-023-00972-5
- Chaichana P., Jenjaroen K., Amornchai P., Chumseng S., Langla S., Rongkard P., Sumonwiriya M., Jeeyapant A., Chantratita N., Teparrukkul P., Limmathurotsakul D., Day N.P.J., Wuthiekanun V., Dunachie S.J. Antibodies in melioidosis: the role of the indirect hemagglutination assay in evaluating patients and exposed populations. Am. J. Trop. Med. Hyg., 2018, vol. 99, no. 6, pp. 1378–1385. doi: 10.4269/ajtmh.17-0998
- Терешко Д.Л., Новицкая И.В., Захарова И.Б., Чиен Д., Кузнецов А.Н., Кулаков М.Я., Будченко А.А., Пушкарь В.Г., Викторов Д.В., Топорков А.В. Получение и использование эритроцитарного антигенного мелиоидозного диагностикума при анализе проб сывороток от лиц из эндемичных по мелиоидозу провинций Ха Занг, Лангшон и Куангнинь Социалистической Республики Вьетнам // Инфекция и иммунитет. 2022. Т. 12, № 5. C. 919–928. [Tereshko D.L., Novitskaya I.V., Zakharova I.B., Trien D., Kuznetsov A.N., Kulakov M.Ya., Budchenko A.A., Pushkar V.G., Viktorov D.V., Toporkov A.V. Obtaining and using erythrocyte antigenic meliidosis diagnostic agent in the analysis of serum samples from meliidosis-endemic provinces Ha Giang, Lang Son and Quang Ninh of the Socialist Republic of Vietnam. Infektsiya i immunitet = Russian Journal of Infection and Immunity, 2022, vol. 12, no. 5, pp. 919–928. (In Russ.)] doi: 10.15789/2220-7619-OAU-1933
- Zakharova I., Teteryatnikova N., Toporkov A., Viktorov D. Development of a multiplex PCR assay for the detection and differentiation of Burkholderia pseudomallei, Burkholderia mallei, Burkholderia thailandensis, and Burkholderia cepacia complex. Acta Trop., 2017, vol. 174, pp. 1–8. doi: 10.1016/j.actatropica.2017.06.016
- Godoy D., Randle G., Simpson A.J., Aanensen D.M., Pitt T.L., Kinoshita R., Spratt B.G. Multilocus sequence typing and evolutionary relationships among the causative agents of melioidosis and glanders, Burkholderia pseudomallei and Burkholderia mallei. J. Clin. Microbiol., 2003, vol. 41, no. 5, pp. 2068–2079. doi: 10.1128/jcm.41.10.4913.2003
- Price E.P., MacHunter B., Spratt B.G., Wagner D.M., Currie B.J., Sarovich D.S. Improved multilocus sequence typing of Burkholderia pseudomallei and closely related species. J. Med. Microbiol., 2016, vol. 65, no. 9, pp. 992–997. doi: 10.1099/jmm.0.000312
- Lichtenegger S., Trinh T.T., Assig K., Prior K., Harmsen D., Pesl J., Zauner A., Lipp M., Que T.A., Mutsam B., Kleinhappl B., Steinmetz.I, Wagner G.E. Development and validation of a Burkholderia pseudomallei core genome multilocus sequence typing scheme to facilitate molecular surveillance. J. Clin. Microbiol., 2021, vol. 59, no. 8: e0009321. doi: 10.1128/JCM.00093-21
- Saechan V., Tongthainan D., Fungfuang W., Tulayakul P., Ieamsaard G., Ngasaman R. Natural infection of leptospirosis and melioidosis in long-tailed macaques (Macaca fascicularis) in Thailand. J. Vet. Med. Sci., 2022, vol. 84, no. 5, pp. 700–706. doi: 10.1292/jvms.21-0514
- Raj S., Sistla S., Melepurakkal Sadanandan D., Kadhiravan T., Chinnakali P. Estimation of seroprevalence of melioidosis among adult high risk groups in Southeastern India by indirect Hemagglutination assay. PLOS Glob Public Health, 2022, vol. 2, no. 5: e0000431. doi: 10.1371/journal.pgph.0000431
Supplementary files
 
				
			 
					 
						

 
  
  
  
  
  Email this article
			Email this article 



 СМИ зарегистрировано Федеральной службой по надзору в сфере связи, информационных технологий и массовых коммуникаций (Роскомнадзор).
 СМИ зарегистрировано Федеральной службой по надзору в сфере связи, информационных технологий и массовых коммуникаций (Роскомнадзор).