Monitoring of coronavirus infection in the kyrgyz population
- Authors: Popova A.Y.1, Smirnov V.S.2, Kasymov O.T.3, Egorova S.S.2, Nurmatov Z.S.4, Drozd I.V.2, Milichkina A.M.2, Smolensky VY.1, Nuridinova Z.N.3, Ivanov V.A.2, Sattarova G.Z.4, Ramsay E.S.2, Dzhangaziev B.I.5, Zueva E.V.2, Arabiy U.U.6, Drobyshevskaya V.G.2, Zhimbaeva O.B.2, Razumovskaya A.P.2, Totolian A.A.2
-
Affiliations:
- Federal Service for Surveillance on Consumer Rights Protection and Human Wellbeing
- St. Petersburg Pasteur Institute
- National Institute of Public Health
- National Institute of Public Health, Kyrgyz Ministry of Health
- Kyrgyz Ministry of Health
- National Center for Immunoprophylaxis
- Issue: Vol 13, No 6 (2023)
- Pages: 1089-1108
- Section: ORIGINAL ARTICLES
- Submitted: 14.11.2023
- Accepted: 02.12.2023
- Published: 25.12.2023
- URL: https://iimmun.ru/iimm/article/view/17531
- DOI: https://doi.org/10.15789/2220-7619-MOC-17531
- ID: 17531
Cite item
Full Text
Abstract
Purpose of the study: to study the dynamics of developing herd immunity against SARS-CoV-2 in the population of the Republic of Kyrgyzstan during COVID-19. Materials and methods. The work was carried out using the methodology for assessing population immunity developed by Rospotrebnadzor (Russia) as well as the Ministry of Health (Kypgyzstan) and the St. Petersburg Pasteur Institute. The selection of participants was carried out by questionnaire using a cloud (Internet server) service. To monitor population immunity, a cohort of 2421 subjects was formed, who participated in all stages of seromonitoring. Volunteers were randomized according to age groups (1–17, 18–29, 30–39, 40–49, 50–59, 60–69, 70+ years), regional and professional factors. Antibodies (Abs) against SARS-CoV-2 nucleocapsid (Nc) and the receptor binding domain (RBD) of S-glycoprotein were determined by qualitative and quantitative methods. The study was carried out in 3 stages according to a single scheme: 1st stage — 06/28–07/03/2021, 2nd — 21–25/02/2022 and 3rd — 31/10–04/11/2022. Since 2021, Kyrgyzstan has been vaccinating the population against SARS-CoV-2 mainly using inactivated whole-virion vaccines. Results. Population immunity against SARS-CoV-2 was predominantly accounted for by both Ab types (Nc+RBD+). By the 3rd stage, the percentage of such persons reached 99.2%, Nc–RBD– volunteers — up to 0.8%. At the 1st stage, middle-aged people dominated, but age differences were leveled out by the 2nd stage. The greatest impact on seroprevalence was found among medical workers, the smallest — among businessmen and industrial workers. Populational vaccination significantly impacted on the state of herd immunity that reached 25% by the 3rd stage. The refusals of the population in Kyrgyz Republic from vaccination noted at the 2nd and especially 3rd stages did not significantly affect level of herd immunity, which could probably be associated with asymptomatic cases of COVID-19, against which primary vaccination had a booster effect. Conclusion. The dynamics of population humoral immunity against SARS-CoV-2 included a number of changes in the level of circulating antibodies (Nc, RBD), caused by both primary infection and vaccination. The herd immunity formed in population of Kyrgyzstan allowed to reduce the incidence of COVID-19 to almost sporadic level.
Full Text
Introduction
Following its first identification in December 2019, coronavirus disease (COVID-19), caused by a new and highly-virulent strain of β-coronavirus (SARS-CoV-2), turned out to be extremely contagious. It spread almost instantly throughout the world, causing more than 686 million cases of manifest infection by April 2023, including 6.8 million fatalities. In this context, the epidemic situation in the Kyrgyz Republic (KR) looks quite optimistic. As of mid-April 2023, 206 849 cases of COVID-19 were identified in the country, amounting to 0.03% of the global level [10]. According to this indicator, the KR occupies 115th place among 189 global countries [9]. As noted in our previous article [26], one factor could be the relatively low population density, amounting to 35.2 km2 in 2023 [28]. Regarding density, Kyrgyzstan is in 181st place in the global ranking of countries prepared by the United Nations [18]. The highest densities were noted in the Osh and Chui regions (38.7 and 49 km2, respectively); the lowest was in the Naryn region (5.5 km2) [23].
A second factor affecting COVID-19 incidence could be the climatic and geographical conditions of the country. The Republic is landlocked and surrounded on all sides by territories with mountainous or desert landscapes. Mountainous areas occupy up to 94% of the territory, and 41% of them belong to the harsh highlands located above 3000 m [2, 8]. The climate in these conditions is characterized by a sharply continental character with significant annual temperature fluctuations and low precipitation. In winter, the temperature can vary from +2°C in the valleys (Fergana, Chui valley, Issyk-Kul depression) to –50°C in the highlands of the Inner Tien Shan. The average temperature in summer varies from +27°C (Fergana Valley) to +4°C in mountainous areas. Annual precipitation is about 1000 mm in the Fergana Valley and 180–250 mm in the mountains of the Central and Inner Tien Shan [8]. The described conditions, combined with low population density, do not contribute to the active spread of infectious diseases [1].
The third factor could be the tactics used in the fight against COVID-19 in the KR. Immediately after the first cases appeared, unprecedented measures were introduced in the Republic to curb the spread of the virus. Thus, already on March 22, 2020, checkpoints were installed throughout the KR, public catering facilities were temporarily closed, and all public events were prohibited. The wearing of masks and maintaining social distancing was encouraged [12]. Since the situation did not improve, on May 25th (2020) a state of emergency was declared in the three largest cities (Bishkek, Osh, Jalal-Abad), a curfew was introduced, educational institutions were closed, and citizens were prohibited from leaving home unless absolutely necessary (i.e., for purchasing food or medicine). These and other activities, consistently carried out by the authorities throughout 2020–2021, helped prevent the uncontrolled spread of SARS-CoV-2 among the population [1, 12].
The result of these measures was a gradual decrease in morbidity (Fig. 1). COVID-19 incidence peaked briefly in weeks 29–30 of 2020, followed by a sharp decline over the next three weeks to near sporadic levels.
In the subsequent period, three more incidence peaks were noted in 2021–2022. They were short-term in nature and, starting from week 35 of 2022, the number of patients with COVID-19 decreased to a stable, sporadic level.
When analyzing COVID-19 incidence dynamics in the Kyrgyz population, one cannot help but notice a clear connection between the number of cases and the share vaccinated (Fig. 1). Correlation analysis made it possible to identify a stable inverse relationship between the compared data with a correlation coefficient value of –0.68 (p < 0.0001). This indicates a statistically significant effect of vaccination on the intensity of the epidemic process. The range of preparations used throughout the epidemic changed due to the availability of certain anti-coronavirus vaccines in the KR. Initially, three vaccines were used: Gam-COVID-Vac (“Sputnik V”, Russia); EpiVacCorona (Russia); and Sinopharm (PRC) [26]. Subsequently, an entire range of vaccines supplied to the Republic was used.
Figure 1. Dynamics of COVID-19 incidence and vaccination in the Kyrgyz population
Note. Grey line — incidence rates throughout the COVID-19 epidemic among the Kyrgyz population; black line — the share of people who completed vaccination (%); left vertical axis — the number of patients per 100 000 population; right vertical axis — share of individuals who fully completed vaccination; horizontal axis — week numbers of the year.
In addition, the protective contribution of post-infectious immunity, formed in response to manifest COVID-19 or asymptomatic infections, cannot be underestimated. It is generally accepted that following an initial infection, a primary immune response is formed in the body, yet it most often decreases relatively quickly. This subsidence can be overcome by repeated infection with a pathogenic virus, especially as a result of contact with a convalescent or even a vaccinated subject with a mutated version of the virus [5, 14, 33, 37]. One possible way to reduce the risk of reinfection is re-vaccination after previous illness or asymptomatic infection. Booster administration of vector or mRNA vaccines to individuals with a history of infection has been shown to produce higher levels of total and neutralizing antibodies compared to fully-vaccinated individuals who have received two doses of vaccine but have no prior overt or asymptomatic infection [5]. Such approaches contribute to the formation of hybrid immunity, featuring the most effective protection [6, 11, 24, 31]. Since, as noted above, the vaccination tactics adopted in the KR led to a decrease in incidence to a sporadic level (Fig. 1), it can be assumed that the driving mechanism for this result was most likely hybrid immunity.
The study summarizes a two-year project, the goal of which was to analyze the formation of collective immunity against coronavirus, and its associated dynamics, among the Kyrgyz population throughout the COVID-19 epidemic.
Materials and methods
Formation and characteristics of the volunteer cohort. The study was conducted as part of the project “Assessment of collective immunity to SARS-CoV-2 in the population of the Kyrgyz Republic”, carried out using a methodology for assessing collective immunity developed by Rospotrebnadzor (Russia) and the St. Petersburg Pasteur Institute (Russia) with the participation of the Kyrgyz Ministry of Health, taking into account WHO recommendations. The longitudinal, randomized cohort study was conducted in 3 stages in the period 2021–2022: 1st stage (28.06–03.07.2021); 2nd stage (21.02–25.02.2022); and 3rd stage (31.10–04.11.2022). Of the 9471 volunteers who participated in 1st stage, only 2411 took part in all 3 survey stages; only these were used to assess the evolution of immunity during the pandemic. The methodology for selecting and randomizing volunteers has been detailed in our previous works [26, 27].
The study adhered to the requirements of the Declaration of Helsinki. In addition, the studies were approved by the ethics committees of the “Preventive Medicine” Scientific and Production Association (currently the National Institute of Public Health, Kyrgyz Ministry of Health) (protocol No. 7, ref. No. 01-288, dated December 9, 2020) and the St. Petersburg Pasteur Institute (protocol No. 64, dated May 26, 2020).
Before the start of the study, all volunteers were stratified by age (Table 1), place of residence (Table 2), and occupation (Table 3). The cohort consisted of 479 men and 1905 women (sex ratio 1:4).
Table 1. Distribution of volunteers by age
Age interval, years | N | % |
1–17 | 123 | 5.1 (4.3–6.1) |
18–29 | 223 | 9.2 (8.1–10.5) |
30–39 | 371 | 15.4 (13.4–16.9) |
40–49 | 525 | 21.8 (20.2–23.5) |
50–59 | 601 | 24.9 (23.2–26.7) |
60–69 | 426 | 17.7 (17.4–19.2) |
70+ | 142 | 5.8 (4.9–6.8) |
Overall | 2411 | 100 |
Table 2. Distribution of volunteers by place of residence
City or region | N | % |
Bishkek City | 287 | 11.9 (7.5–13.3) |
Osh Region | 262 | 10.9 (9.6–12.1) |
Batken Region | 208 | 8.6 (7.5–9.8) |
Jalal-Abad Region | 554 | 23.0 (21.3–24.7) |
Talas Region | 334 | 13.8 (10.7–15.3) |
Issyk-Kul Region | 266 | 11.0 (9.8–12.4) |
Naryn Region | 337 | 13.8 (10.7–15.2) |
Chui Region | 163 | 6.8 (5.8–7.8) |
Overall | 2411 | 100 |
The initial professional categories were heterogeneous, with large groups (medicine, unemployed) and small groups (creativity — 6 people, military personnel — 8 people, etc.). As such, certain subgroups were combined according to similarity of risk factors. The combined groups are shown in Table 3.
Table 3. Distribution of volunteers by occupation
Occupation | N | % (95% CI) |
Healthcare | 1393 | 57.8 (55.8–59.7) |
Science, education, the arts | 163 | 6.8 (5.6–7.8) |
Business, transport, manufacturing | 98 | 4.1 (3.3–4.9) |
Civil servants, office military personnel | 198 | 8.2 (7.2–9.4) |
Unemployed | 132 | 5.5 (4.6–6.5) |
Pensioners | 244 | 10.1 (8.9–11.4) |
Child, pupil, student | 105 | 4.4 (3.6–5.2) |
Other | 78 | 3.2 (2.6–4.0) |
Overall | 2411 | 100 |
Laboratory analysis of volunteer samples. At each stage of the study, venous blood samples were taken from volunteers for quantitative determination by ELISA of antibodies (Abs) to the SARS-CoV-2 nucleocapsid antigen (Nc) and the receptor binding domain (RBD) of the S (spike) protein. The method for determining Ab levels in peripheral blood plasma, and the diagnostic systems used, are described in detail in a previous work [26].
Volunteer vaccination. Some volunteers, as well as the rest of the Kyrgyz population, received specific vaccine prophylaxis during the survey period. During the first stage, mainly Gam-COVID-Vac vector vaccines (Sputnik V, Sputnik Light, Gamaleya Research Institute of Epidemiology and Microbiology, Russia) and the BBIBP-CorV (Sinopharm, PRC) whole-virion inactivated vaccine were used.
During the implementation of the 2nd and 3rd stages of the study, the entire range of vaccine preparations available to Kyrgyz medical authorities was used: vector vaccine ChAdOx1 S (AstraZeneca), mRNA preparations BNT162b2 (Pfizer) and mRNA-1273 (Moderna), as well as the whole-virion inactivated vaccines BBIBP-CorV (Sinopharm, PRC), CoronaVac (Sinovac, PRC) and QuazVac (Kazakhstan). Due to the fact that the set of preparations used in the KR included eight different products, they were combined, when necessary, into four groups, based on design platform, for data analysis. These categories were: inactivated (BIBP-Cor-V, CoronaVac, QuazVac); vector (Gam-COVID-Vac, Sputnik V, Sputnik Light, ChAdOx1-S); mRNA (BNT162b2, mRNA-1273); and peptides (EpiVacCorona). The given categories are used during analysis and discussion of the main aspects of vaccination in this article.
Statistical analysis was carried out using Excel 2010. Confidence intervals (95% CI) were calculated by the method of Wald and Wolfowitz [35], with correction as described by Agresti and Coull [4]. The statistical significance of differences in shares was calculated using the z-test [32]. Unless otherwise indicated, differences were designated as significant when p ≤ 0.05.
Results
SARS-CoV-2 seroprevalence in volunteers of different ages throughout seromonitoring. The main method for assessing collective immunity in the population was to determine the distribution among volunteers of two specific Abs: anti-Nc and anti-RBD. Based on the results of serological analysis at each stage of the study, the cohort was divided into two groups. The “negative serological group” (NSG) included individuals who did not have circulating Nc or RBD Abs in their blood. The second group, the “combined group of all positives” (CGAP), included volunteers with circulating Abs to Nc, RBD, or both.
In the 1st stage, the share of CGAP individuals averaged 82.0% (95% CI: 80.4–83.5), while the share of NSG was 4.5-fold less, or 18.0% (95% CI: 16.5–19.5). In the 2nd stage, the share of CGAP volunteers increased to 98.2% (95% CI: 97.6–98.7), and NSG decreased to 1.8% (95% CI: 1.3–2.4). Finally, by 3rd stage, the CGAP reached a maximum (99.2%; 95% CI: 98.8–99.5), while NSG decreased to a minimum (0.8%; 95% CI: 0.5–1.2). Age-related differences in seroprevalence were noted only in 1st stage. The lowest seroprevalence was observed in the children’s subgroup (1–17 years), and the maximum was among individuals in the age subgroup of 50–59 years (Fig. 2). By the 2nd and especially the 3rd stages, the differences gradually leveled out to statistically insignificant values.
Figure 2. Shares of seropositive (CGAP) and seronegative (NSG) individuals of different ages throughout seromonitoring
In addition to cohort distribution according to CGAP and NSG, we assessed the structural distribution of Nc and RBD Abs in volunteers of different age groups. For this, quantitative analysis results for the CGAP group were further refined as subgroups: those with only Nc Abs (Nc+RBD–); those with only RBD Abs (RBD+Nc–); and those with both Ab subtypes circulating simultaneously (Nc+RBD+) (Fig. 3A–C).
Figure 3. Changes in peripheral Nc and RBD Ab levels in volunteers of different ages throughout seromonitoring
Note. Letters above diagrams: A — 1st stage; B — 2nd stage; C — 3rd stage of the study.
In the 1st stage of the study, conducted one and a half years after the start of the pandemic, during the period of decline in the 2nd moderate incidence peak (Fig. 1), seropositive volunteers were predominantly represented by those who had Abs to both antigens (Nc+RBD+), 51.3% (95% CI: 49.2–53.3) on average. About a quarter of volunteers had antibodies only to RBD (RBD+Nc–), 26.7% (95% CI: 24.9–28.4). The share of volunteers who had only Nc Abs (Nc+RBD–) was 4.2% (95% CI: 3.4–5.0).
When analyzing individual age groups in the 1st stage, differences in the structure of immunity were noted. Half of the volunteers over 40 years old were Nc+RBD+, and slightly more than 20% were RBD+Nc–. In contrast, volunteer groups from 1 to 39 years old were represented approximately equally (about a third of volunteers) by Nc+RBD+ and RBD+Nc– (Fig. 3A).
By the 2nd stage, carried out in February 2022, incidence remained at a consistently low level, and vaccination coverage approached 20% (Fig. 1). In this context, 88.7% (95% CI: 87.3–89.9) of volunteers on average for the cohort had antibodies to two antigens (Nc+RBD+). The shares of monopositive individuals decreased: RBD+Nc– to 7.8% (95% CI: 6.8–8.9); and Nc+RBD– to 1.8% (95% CI: 1.3–2.4). Moreover, age differences practically leveled out. Only among children (1–17 years old), the relatively low share of Nc+RBD– remained significantly higher than the group average (p < 0.0001).
By the 3rd stage, the share Nc+RBD+ in the entire cohort continued to be maximal, averaging 88.1% (95% CI: 86.7–92.5). The share of Nc+RBD– individuals decreased to almost zero. The share of RBD+Nc– subjects increased slightly (compared to 2nd stage) to 10.6% (95% CI: 9.4–11.9). Differences were noted only among volunteers monopositive for RBD (RBD+Nc–), the shares of which were greatest among those 18–29 years old (17.5%; 95% CI: 12.7–23.1) and 30–39 years old (15.4%; 95% CI: 11.8–19.4), although the differences were not significant for any age group.
SARS-CoV-2 seroprevalence in volunteers living in different Kyrgyz regions throughout seromonitoring. As noted, the KR is a mountainous country located in Central Asia. The geography of the KR is characterized by two mountain systems, the Tien Shan and Pamir, occupying almost 90% of the country. The population mainly lives in intermountain valleys, each of which has its own climatic and geographic features. These, in principle, could have an impact on seroprevalence. Based on these features, we investigated the presence of Nc and RBD Abs among volunteers from the main regions of the Republic. At first, the proportions of seropositive (CGAP) and seronegative (NSG) volunteers were determined in each region (Fig. 4).
Figure 4. Seropositive (CGAP) and seronegative (NSG) volunteers by Kyrgyz region throughout seromonitoring
Note. C — city; R — region.
In 1st stage, the share of NSG volunteers varied from a maximum in Bishkek (27.6%; 95% CI: 22.7–33.1) to a minimum in the Talas region (11.4%; 95% CI: 8.2–15.3) reaching significance (p < 0.0001). Accordingly, the proportion of CGAP subjects in the Talas region was significantly higher than in Bishkek (p < 0.0001).
As noted earlier regarding 2nd stage, the share of NSG individuals in the cohort expectedly decreased by an average of 10-fold, to 1.8% (95% CI: 1.3–2.4). Meanwhile, CGAP reached an average of 98.2% (95% CI: 97.6–98.7) for the cohort without any significant differences in volunteer indicators by region.
By the 3rd stage, the share of NSG decreased to an average of 0.8% (95% CI: 0.4–1.2), while the percentage of CGAP volunteers almost reached the maximum possible value, an average of 99.2% for the cohort (95% CI: 98.8–99.6). No regional differences were noted.
In light of the data, especially for 2nd and 3rd stages, it was logical to expect a similar seroprevalence structure of individuals with peripheral Nc Abs, RBD Abs, or both (Nc+RBD+) (Fig. 5).
Figure 5. Humoral immunity dynamics (Nc, RBD Abs) among volunteers by Kyrgyz region
Notes. Vertical black lines are 95% confidence intervals. Letters above diagrams: A — 1st stage, B — 2nd stage, C — 3rd stage of analysis. C — city; R — region.
As described earlier, in 1st stage, half of the cohort (51.3%; 95% CI: 49.2–53.3) was represented by Nc+RBD+ individuals (Fig. 5A). The share RBD+Nc– averaged 26.6% (95% CI: 24.9–28.4), and the share Nc+RBD– did not reach 5% (4.2%; 95% CI: 3.4–5.0).
By 2nd stage, the share Nc+RBD+ increased to 88.7% (95% CI: 87.3–89.9) due to decreases in monopositive volunteers: Nc+RBD– to 1.8% (95% CI: 1.3–2.4); and RBD+Nc– to 7.8% (95% CI: 6.8–8.9). The differences were significant at p < 0.0001. Furthermore, regional differences in seroprevalence were seen in 1st stage: significantly lower shares of RBD+Nc– individuals in the Chui, Issyk-Kul and Jalal-Abad regions; and lower Nc+RBD+ status in the Batken region and Bishkek (Fig. 5A). By 2nd stage, however, these differences leveled out to an insignificant level (Fig. 5B).
By the 3rd stage, the share of Nc+RBD+ remained high 88.1% (95% CI: 86.7–92.5), without significant differences (Fig. 5C). However, regional differences in share RBD+Nc– increased, specifically: the shares seropositive for RBD increased in the Osh and Jalal-Abad regions; they decreased in the Chui, Issyk-Kul and Naryn regions; and they remained virtually unchanged in other regions. In other words, the differences that existed in the 2nd and 3rd stages of monitoring did not significantly affect the state of collective immunity to SARS-CoV-2, either nationwide or by administrative region.
Influence of occupational factors on the structure of SARS-CoV-2 seropositivity. Occupation could potentially impact SARS-CoV-2 Ab distributions. There is an extensive list of professions that require constant wide contact with the surrounding population. Such specialists include healthcare workers, consumer services, public catering, social workers, etc. [19, 22]. Therefore, the volunteer cohort was stratified by profession. Where sample sizes allowed, homogeneous professional groups were formed (unemployed, healthcare, pensioners). Professional groups with a small number of volunteers were joined into aggregate groups (science + education + the arts, others).
As follows from Fig. 6, the proportion CGAP was highest among healthcare workers in 1st stage (p < 0.001). In all other professional groups, the differences in 1st stagedid not reach the threshold of statistical significance. By 2nd stage, all professional differences were practically leveled out, and the share of CGAP volunteers increased to a maximal level, amounting to an average of 98.2% for the cohort (95% CI: 96.7–98.7). By 3rd stage, it was 99.2% (95% CI: 98.9–99.6).
Figure 6. Shares of seronegative (NSG) and seropositive (CGAP) volunteers in different professional groups throughout seromonitoring
Note. Vertical black lines are 95% confidence intervals.
Based on seroprevalence distribution findings in coarse groups (NSG, CGAP), similar patterns would be expected for individual SARS-CoV-2 Ab subtypes. As noted, the CGAP group includes three subgroups of individuals seropositive for one (Nc+RBD–, RBD+Nc–) or both (Nc+RBD+) Ab types. Their ratios determine the structure of humoral immunity to pathogenic coronavirus [41]. Analysis of Ab distributions among those in different professions largely confirmed the previously identified trends (Fig. 7).
Figure 7. Humoral immunity dynamics (Nc, RBD Abs) among volunteers by professional group
Notes. Vertical black lines are 95% confidence intervals. Letters above the diagrams: A — 1st stage, B — 2nd stage, C — 3rd stage of the study.
The share of Nc+RBD+ individuals in all professional groups, as well as the share CGAP, in 1st stage was the smallest among the three stages, ranging from 31.7% (95% CI: 23.0–41.6) in children to 57.4% (95% CI: 54.8–60.3) among healthcare workers (Fig. 7A). The share RBD+Nc– in different professional groups ranged from 23.5% (95% CI: 15.5–33.1) to 33.6% (95% CI: 24.7–43.6). In the 2nd and 3rd stages, the same trend was observed in all professional groups: the share Nc+RBD+ increased significantly (exceeding 80%), while the shares of RBD+Nc– and Nc+RBD– decreased to an average of 10.6% (95% CI: 9.4–11.9) and 0.6% (95% CI: 0.3–1.0) (Fig. 7B, C). It can be assumed that this evolution of seropositivity is probably associated with features of vaccination implemented in the KR during this period.
Quantification of the distribution of major antibodies against SARS-CoV-2 among volunteers during the monitoring process. In addition to determining overall seroprevalence in the population, to assess collective immunity to the pathogenic coronavirus, it is necessary to have an idea of Ab titers in volunteers throughout seromonitoring. To obtain this information, we used the corresponding quantitative ELISA test systems described in previous work [26]. Blood samples were analyzed quantitatively from all volunteers participating in the study. They were stratified only by age which, in our opinion, made it possible to reduce the influence of regional or professional factors on the results obtained. Since the serological study used two kits intended for the quantitative determination of Abs only to Nc or RBD, the results were analyzed separately for each antigen. The results obtained are expressed in BAU/ml.
Quantitative Nc Ab levels during seromonitoring in volunteers of different age groups. The results of quantitative Nc Ab determination are shown in Fig. 8.
Figure 8. Distribution of Nc Ab levels in the volunteer cohort by age group
Notes. Letters above diagrams: A — 1st stage, B — 2nd stage, C — 3rd stage of analysis. Black vertical line are 95% confidence intervals.
In the 1st stage, the majority of volunteers did not have detectable Nc Abs, meaning that when tested, levels were below a minimum (< 17 BAU/ml). Negative results were most often detected in children aged 1–17 years and young people aged 18–29 years, and to a lesser extent among persons aged 30–39 years (Fig. 8A). There were no significant differences between the average shares of seronegative individuals within these three age groups. Among volunteers in whom Nc Abs were detected, concentrations were more often moderate, ranging from 32 to 124 BAU/ml (from 15.3 to 34.6% of volunteers). The largest share of such individuals was identified in the age group of 50–59 years (34.6%; 95% CI: 30.7–38.5). The differences compared with other age groups, except for the groups 1–17 and 40–49 years old, were significant at p < 0.05. The share of individuals with Nc Abs in concentrations less than or greater than the range of 32–124 BAU/ml were significantly lower in all age groups.
By the 2nd stage, Nc Ab levels changed noticeably, primarily due to a decrease in the share of seronegative individuals by 4.6-fold, p < 0.0001 (Fig. 8B). This process was most active in the middle and older age groups from 40 to 69 years. At the same time, there was a 10-fold increase in the share of volunteers with maximum Nc Ab content exceeding 667 BAU/ml (p < 0.0001). The share of individuals with very low Nc Ab content (17–31 BAU/ml) decreased by 2.9-fold (p < 0.0001). In contrast, the shares of individuals with average (125–332 BAU/ml), high (333–666 BAU/ml), and very high (> 666 BAU/ml) Ab levels increased by 2.0-fold, 5.4-fold and 10-fold, respectively. All differences were significant at p ≤ 0.001. Thus, by the 2nd stage there was an increase in the share of seropositive individuals with medium and high Ab levels.
By the 3rd stage, the share of seronegative volunteers did not change significantly compared to the 2nd, but there was a two-fold increase in the share of individuals with a moderate Ab level in the range 32–124 BAU/ml (Fig. 8C) with significance at p < 0.0001. The share of individuals with Ab levels within 125–332 BAU/ml increased by only 1.4-fold, yet it was significant (p < 0.001). In this context, decreases in the share of individuals with high Ab levels were unexpected: 333–666 BAU/ml by 1.9-fold; and in the group with titers > 667 BAU/ml, by even 4.6-fold (p < 0.001). In other words, among seropositive volunteers, individuals with low and moderate Nc Ab levels predominated in 3rd stage. Unfortunately, we were unable to find a convincing explanation for this phenomenon. We can only assume that this is due to specifics of the organized vaccination campaign, which we discuss further in the corresponding section.
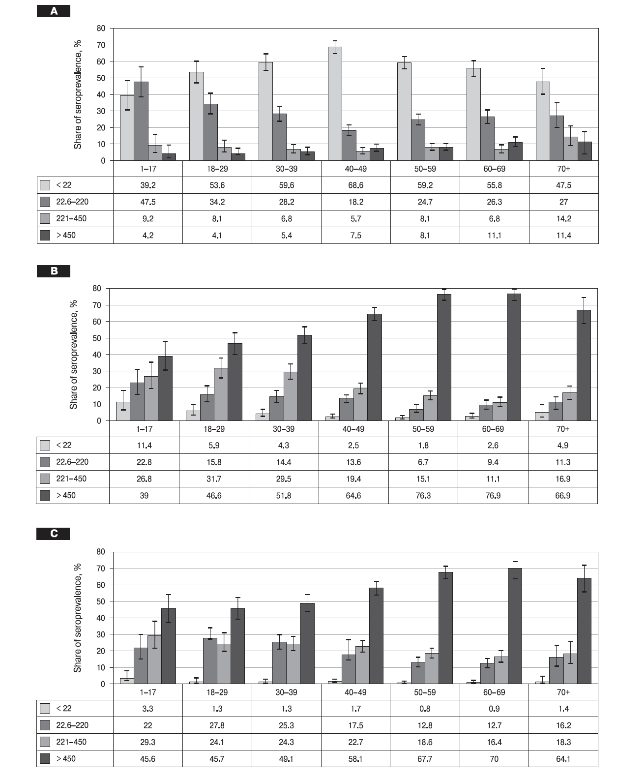
Quantitative RBD Ab levels in volunteers of different age groups throughout seromonitoring. Along with Nc Abs, the leading component of the immune response to SARS-CoV-2 is RBD Abs, which ensure the mechanical stability of homotrimeric spines [7, 22, 39]. This aspect drives the constant attention to the assessment of RBD Abs, which largely determine the protectiveness and intensity of the immune response to COVID-19 vaccination [7, 13].
In the 1st stage of serological examination, the largest number of volunteers were either negative (< 22 BAU/ml) or had low RBD Ab levels in the range 22.6–220 BAU/ml (Fig. 9A), with a slight predominance in the group “1–17 years” of individuals with low RBD Ab levels (22.6–220 BAU/ml), while in other groups seronegative status predominated (p > 0.0001).
By the 2nd stage, the volunteer cohort distribution changed noticeably (Fig. 9B) primarily due to a sharp decrease in the share of seronegative volunteers in all age groups by an average of 16.7-fold for the cohort. In addition, in all groups of seropositive subjects, there was a significant increase in RBD Ab levels (p < 0.0001). The share of individuals with the highest Ab levels (> 450 BAU/ml) exceeded 70% in older age groups (Fig. 9B). In age groups up to 39 years, the proportions of individuals with average 221–450 BAU/ml (about 30%) and high > 450 BAU/ml (40–50%) levels were also significantly different.
In 3rd stage, the share of individuals with the maximum Ab level (> 450 BAU/ml) decreased by 9.6% (p < 0.001). In the remaining groups, changes in seropositivity were insignificant compared to 2nd stage(Fig. 9C).
Figure 9. Distribution of RBD Ab levels in the volunteer cohort by age
Notes. Letters above the diagrams: A — 1st stage, B — 2nd stage, C — 3rd stage of the study. Black vertical lines are 95% confidence intervals. Antibody levels are in BAU/ml.
Thus, quantitative RBD Ab dynamics throughout the analysis were characterized by several gradual trends. The 1st stage featured a predominance of RBD seronegative status which began to significantly decline (fewer and fewer seronegative individuals) in subsequent stages. Meanwhile, the proportion of seropositive individuals with both medium and high Ab levels, on the contrary, increased significantly. It can be assumed that a significant reason for this increase could be vaccination of the population against SARS-CoV-2 deployed by the Kyrgyz authorities, which will be discussed in the next section.
Vaccination of the population and volunteer cohort against SARS-CoV-2
The KR paid the utmost attention to the SARS-CoV-2 vaccination program. During the 2021–2023 period, a total of 6 889 780 vaccine doses were administered in the Republic. The result of this process was the achievement of vaccination coverage of almost 25% of the population by March 31, 2023. Preparations for immunization came from different sources, hence their distribution turned out to be very heterogeneous. The largest share fell on three inactivated vaccines types (74%). The share of vector vaccines was 12.6%, and mRNA designs represented 13.0%. Most vaccines (85.9%) were supplied to the KR from various sources in 2021, while 13.5% of preparations were imported in 2022. Only 0.3% of vaccine materials, in the form of 20,160 doses of BNT162b2, was delivered in March 2023. This vaccine supply schedule determined the structure of vaccine-based prevention for the Kyrgyz population during the seromonitoring period (Fig. 10).
Figure 10. Usage structure of vaccines used to immunize the Kyrgyz population against coronavirus throughout seromonitoring
The graph omits minor shares of QuazVac and SinoVac vaccines (< 1%). Gam-COVID-Vac preparations (Sputnik V, Sputnik Light) are combined into one group. Of the entire set of preparations, the inactivated whole-virion Sinopharm BIBP vaccine was most often used, likely due to its dominant supply volume (71.8%). This assortment of vaccines had an impact on vaccine administration to participants in the surveyed cohort, in which the proportion of those vaccinated with inactivated whole-virion preparations was expectedly the largest in all age groups in all survey stages (Fig. 11).
Figure 11. Structure of coronavirus vaccines administered to participants in the volunteer cohort at the stages of seromonitoring
Note. 1st stage — primary vaccination; 2nd and 3rd stages — booster revaccinations. The vaccines used were grouped into the type of technology platform: inactivated whole virion (Inactivated), vector (Vector), mRNA, peptide (Peptide). Dark grey areas — the proportion of people who refused immunization at any stage.
The distribution by age of those immunized turned out to share key features throughout all study stages: maximum vaccination coverage was noted among the middle-aged (39–69 yrs); and the minimum was seen among children (1–17 yrs). It should be emphasized that in the 1st stage, volunteers were vaccinated more actively, especially among the ages 40–59 years, when vaccination coverage reached significant differences (p < 0.0001). Among children, only 5.8% (95% CI: 2.4–11.6) received vaccination, which is 7.4-fold less than among adults (Fig. 11A).
By 2nd stage, the share vaccinated in the groups 18–29 and 30–39 years old increased, yet it decreased in the groups 40–49 and 50–59 years old; all differences were insignificant (Fig. 11B). In general, the proportion of people who received inactivated vaccines increased slightly (by 2.1%). The bell-shaped distribution characteristic of the 1st stage became flatter by the 2nd stage. A significant increase in the share of individuals who received vector vaccines (mainly AZD1222) was recorded, the total proportion of which increased from 4.6% (95% CI: 3.8–5.5) in 1st stageto 10.0% (95% CI: 8.8–11.2), p < 0.0001. In immunization practice, mRNA types were also noted, the share of which was a modest 4.6% (95% CI: 3.8–5.5).
By the 3rd stage, the majority of volunteers received inactivated vaccines (24.8%; 95% CI: 23.1–26.5). The significance of vaccine type differences (comparison by stage) was: 3rd stage vs 1st stage at p < 0.0001; and 3rd stages vs 2nd stage at p < 0.00001 (Fig. 11C). Thus, the trend towards preferential use of inactivated vaccines continued throughout the study.
We assessed the effect of vaccination on the level and structure of volunteer humoral immunity (Fig. 12). Pronounced differences in the structure of humoral immunity were found only in the 1st stage of seromonitoring. In vaccinated volunteers, the individual seropositivity types were higher than in unvaccinated volunteers: CGAP was 91.8% (95% CI: 89.9–93.4) compared to 75.0% (95% CI: 72.8–77.3) in the unvaccinated; RBD+ was 89.3% (95% CI: 87.2–91.2) versus 69.4% (95% CI: 67.0–71.8); Nc+ was 62.9% (95% CI: 59.7–65.9) compared to 50.4% (95% CI: 47.8–53.0); and double-positive status (Nc+RBD+) was 60.4% (95% CI: 57.2–63.5) compared to 44.8% (95% CI: 42.2–47.4).
Figure 12. Age distribution of vaccine platform usage
Notes. Letters above charts: A — 1st stage; B — 2nd stage; C — 3rd stage of the study. Y-axis: vaccine platform. Bars indicate volunteers vaccinated, %. When constructing the distributions for stages II and III, those refusing vaccination, and/or those unable to specify the type of vaccine received, were not taken into account.
In 2nd and 3rd stages, when vaccination coverage increased and the number of volunteers who had manifest COVID-19 or an asymptomatic form increased significantly, statistically significant differences between volunteers depending on vaccination status were no longer detected.
Discussion
In terms of COVID-19 incidence, the KR is among countries with low severity of the infectious process. The total number of reported cases by mid-2023 was 206 897, which translates to a population rate of 2807 per 100 000 people. According to this indicator, the KR occupies 115th place in terms of the number of infected people globally. However, the mortality rate was 1.45% (2.8-fold higher than the global average). It is worth noting that the COVID-19 mortality rate in the KR turned out to be higher than in neighboring countries such as China (1.05%), Kazakhstan (0.98%), Tajikistan (0.70%) and Uzbekistan (0.65%), but noticeably lower than in Afghanistan (3.55%) [10].
The infectious process in the KR developed without extreme “waves”. The first patients were identified in the 12th week of 2020. Only from the 26th week (2020) was there an increase in incidence that lasted for 7 weeks, with a sharp peak occurring in the 29th week and amounting to 216.6 per 100 000 population. Subsequently, there was a sharp decrease in incidence to an almost sporadic level over the next 2–3 weeks (Fig. 1). The next peak was noted a year later, and it was already 1.4-fold lower than the initial one. Subsequently, there was a gradual decrease in the intensity of COVID-19 incidence. Starting from the 36th week (2022), incidence reached a sporadic level (Fig. 1). Such a “mild” epidemic course in Kyrgyz regions can be explained variously: on the one hand, by the beginning of vaccination; and on the other hand, by the administrative measures of the Kyrgyz government mentioned in the introduction, the totality of which made it possible to quickly localize the epidemic process.
A significant factor in assessment and analysis of the epidemic process was the KR’s participation in the international project to study COVID-19 collective immunity launched on June 21, 2021 (15 months after the outbreak of the epidemic among the Kyrgyz population). By that time, the total number of confirmed human infections was 119 873 [10]. Obviously, in addition to the symptomatic cases registered, one should take into account the difficult-to-estimate number of people who have had asymptomatic infections [15, 30]. According to our data, seroprevalence at the start of the study had reached 77.1% [26].
To determine seroprevalence levels in different Kyrgyz age groups, we assessed the number of volunteers whose blood plasma contained Nc and/or RBD Abs. This group was designated as the combined group of all positives (CGAP), and naive individuals (in whose blood Abs were not detected) were assigned to the NSG group (Fig. 2). The results obtained generally confirmed the hypothesis about the significant contribution of asymptomatic forms to total seroprevalence. The total share of CGAP volunteers by the 1st stage was 82% (95% CI: 80.4–83.5). As mentioned, the prevalence accumulated by the 1st stage amounted to 119,873 people (1.63% of the total Kyrgyz population), wherein the estimated share of asymptomatic individuals will be about 80.4%, which fully fits the lower limit of the CGAP confidence interval. The share of seronegative individuals by this time was 18% (95% CI: 16.5–19.5). Differences between groups were significant at p < 0.00001.
Antibody distributions in different age groups showed a significant predominance of volunteers who had Abs to both antigens or only RBD (Nc+RBD+, RBD+Nc–) in all groups at p < 0.0001. The share of those seropositive for RBD was greatest among younger volunteers (1–17, 30–39 years). In older groups (40–70+ years), it was significantly lower for the groups 50–59 and 60–69 years (p < 0.05) (Fig. 3A). The opposite trend was observed among Nc+RBD+ volunteers (Fig. 3B, C). Among older volunteers, there was a significant increase in the share of double-positive volunteers compared to younger groups (p < 0.001). By 2nd and 3rd stages, these differences were smoothed out due to a further decrease in the share of RBD+Nc– and an opposite increase in the share of Nc+RBD+ individuals (p < 0.00001). Obviously, such a change in trend could be associated primarily with vaccinations carried out mainly with inactivated, and to a lesser extent vector vaccines (Fig. 11A–C). To some extent, this trend can be explained by the wider antigenic composition of inactivated vaccines compared to vector and mRNA designs [36].
When assessing the structure of seropositivity depending on regional and professional factors, the same general trends were revealed as in the age group analysis (Fig. 4, 6). In the 1st stage, the share of CGAP was lower than in subsequent stages. In the 1st stage, there was still some heterogeneity in the distribution across regions and professional groups. However, by the 2nd and 3rd stages, it had smoothed out, wherein an increase in the share CGAP was naturally accompanied by a significant decrease in NSG (p < 0.00001). The structure of immunity underwent similar changes. The increase in the shares of Nc+RBD+ volunteers was accompanied by a natural decrease in the corresponding shares of RBD+Nc– (Fig. 5A–C, 7A–C). In all these cases, the main reason for the increase in seroprevalence in 2nd and 3rd stages was the active vaccination of the population, including the cohort of volunteers (Fig. 1), as well as the likely involvement of the majority of the population in the infectious process via asymptomatic forms.
Indirect confirmation of the legitimacy of such a mechanism can also be provided by quantitative analysis of plasma Nc and RBD Ab content (Fig. 8A–C, 9A–C). In the 1st stage, Nc Abs (if determined) were less than 17 BAU/ml (lower sensitivity threshold of the method) in half of the volunteers (Me = 50.4; Q25:Q75 = 38.6–58.6). By the 2nd stage, Nc Ab levels in all age groups increased to 13–124 BAU/ml. In older groups (40–49 to 70+), they reached the maximum level (> 667 BAU/ml), although in general their total share did not exceed 32.6% (95% CI: 30.8–34.6).
By 3rd stage, simultaneously with the increase in CGAP, there was an increase in the share of those with moderate Nc Ab levels in the range 32–124 BAU/ml to 37.6% (95% CI: 35.7–39.5), alongside a statistically significant decrease in the share of those with high Nc Ab levels (> 667 BAU/ml) to 7.1% (95% CI: 6.1–8.2). This process seems unusual, and we were unable to find a rational explanation for it. Regarding RBD Abs, their dynamics fit well into the characteristics of collective immunity development described above. In the 1st stage, RBD negative individuals (< 22 BAU/ml) dominated. As collective immunity formed, RBD Ab titers naturally increased. This reached a maximum by 3rd stage, wherein 64.9% (95% CI: 63.0–66.8) of volunteers had high levels (> 450 BAU/ml), which is quite consistent with vaccination dynamics (Fig. 1, 2).
The obtained results of assessing volunteer plasma Nc and RBD Ab levels reflect the real state of collective immunity formed both naturally (via manifest and/or asymptomatic infection) and artificially (via vaccination) ways [21]. Regarding Nc Ab content, this largely reflects previous infection [3]. Insofar as the share of symptomatic COVID-19 cases did not exceed a sporadic level during the seromonitoring period, this situation inevitably manifested itself as low plasma Nc Ab levels in examined individuals [38].
The results of SARS-CoV-2 seroprevalence analysis clearly indicate that collective immunity is a cumulative response to the combined interaction of two main factors: the natural reaction of the immune system to the introduction of a pathogenic agent into the body on the one hand; and the response to the use of specific vaccines against SARS-CoV-2 on the other. The result of this process was the formation of immune resistance, which consists of the harmonious interaction of the cellular and humoral components of the immune response [25, 29]. Since a detailed consideration of cellular factors of the immune response was not the scope of this study, we focused only on the humoral component: circulating Abs. The most important step in the fight against the COVID-19 pandemic is vaccine-based prevention, whose origins date to the time of E. Jenner, followed by the basic principles laid down in the XIX century by L. Pasteur.
The unprecedented, rapid development of vaccines on major technology platforms since the start of the COVID-19 pandemic is a clear example of the results of cooperation among the world’s technologically advanced countries. Currently, at least four main types have been created: inactivated whole-virion vaccines, vector vaccines, mRNA vaccines, and peptide vaccines [17]. In addition, development of other preparations, including live attenuated vaccines, continues [19].
As the Kyrgyz Republic does not have its own technologies or capacity to produce immunomodulatory drugs against SARS-CoV-2, vaccines obtained at different times and from different sources (purchases, humanitarian aid, etc.) were used. At various times, eight different vaccines were used from different platforms: inactivated whole-virion vaccines, vector vaccines, mRNA vaccines, and peptide vaccines (Fig. 10). In the KR, preference was given to inactivated whole-virion vaccines, the leader among which was Sinopharm-BIBP (VeroCell). Its share, both in the KR overall and in the surveyed cohort, was maximal throughout all seromonitoring stages (Fig. 10, 11).
It was interesting to evaluate the attitude of volunteers towards vaccination, as reflected by the example of 920 individuals vaccinated in the 1st stage. By the 2nd stage, 41.4% of volunteers refused re-vaccination, and by the 3rd stage their share increased to 61%. It can be assumed that the reason behind this was the belief that there was no need for this procedure against the backdrop of a decrease in COVID-19 incidence to a sporadic level (Fig. 1). To be fair, it is worth noting that the significant proportion of “refusers” did not affect the state of collective immunity in the cohort. CGAP status exceeded 99% by 3rd stage, with 88% being doubly seropositive (Nc+RBD+).
In this regard, it is logical to assume that vaccination of the population was carried out in the context of significant incidence, with a tendency not so much towards manifest COVID-19, but rather asymptomatic infection [30]. In such cases, even the primary single immunization of a person who already has some natural immunity after infection inevitably causes the most durable and long-lasting hybrid immunity [11, 31]. This thesis can be confirmed by the absence of a noticeable influence of “refusers” on the level of CGAP in the population (Fig. 2).
In this context, it can be suggested that stable adaptive immunity in the examined cohort could be due to vaccine usage structure. Among them, the leader remained the inactivated whole-virion preparation Sinopharm BIBP (in all stages). It, like any vaccine from such a platform, contained the maximum set of antigens necessary for formation of polyvalent adaptive immunity [34, 36, 40].
Conclusion
The SARS-CoV-2 collective immunity that formed in the Kyrgyz Republic effectively blocked COVID-19 incidence. The main factor in adaptive humoral immunity was the high proportion of doubly seropositive (Nc+RBD+) individuals. The widespread use of inactivated whole-virion vaccines was accompanied by a significant increase in the seroprevalence of SARS-CoV-2 antibodies and a decrease in COVID-19 incidence to a sporadic level.
Additional information
Conflict of interest. The authors declare the absence of any conflict of interest.
Author contributions. AYP, OTK, — general planning; VYS coordination of work at the intergovernmental level; SAE — research organization; ZSN, ZNN, GZS, BID, UUA — collection and primary processing of information; AMM, IVD, EVZ, VGD, OBZ, APR — sample preparation and immunological analysis of blood samples; VAI — software; ESR- translation and text editing; VSS — statistical analysis, writing and final verification of the article text; AAT — general research guidance. All authors have read and approved the final manuscript.
About the authors
A. Yu. Popova
Federal Service for Surveillance on Consumer Rights Protection and Human Wellbeing
Email: depart@gsen.ru
DSc (Medicine), Professor, Head of the Federal Service for Surveillance of Consumer Rights Protection and Human Wellbeing
Россия, MoscowVyacheslav S. Smirnov
St. Petersburg Pasteur Institute
Email: vssmi@mail.ru
DSc (Medicine), Professor, Leading Researcher, Laboratory of Molecular Immunology
Россия, Saint-PetersburgO. T. Kasymov
National Institute of Public Health
Email: vssmi@mail.ru
DSc (Medicine), Рrofessor, Director
Киргизия, BishkekS. S. Egorova
St. Petersburg Pasteur Institute
Email: vssmi@mail.ru
DSc (Medicine), Deputy Director for Innovation
Россия, St. PetersburgZ. S. Nurmatov
National Institute of Public Health, Kyrgyz Ministry of Health
Email: vssmi@mail.ru
DSc (Medicine), Head
Киргизия, BishkekI. V. Drozd
St. Petersburg Pasteur Institute
Email: vssmi@mail.ru
PhD (Biology), Head of the Central Clinical Diagnostic Laboratory
Россия, BishkekA. M. Milichkina
St. Petersburg Pasteur Institute
Email: vssmi@mail.ru
PhD (Medicine), Head Physician of the Medical Center
Россия, PetersburgV Yu. Smolensky
Federal Service for Surveillance on Consumer Rights Protection and Human Wellbeing
Email: vssmi@mail.ru
Deputy Head
Россия, MoscowZ. N. Nuridinova
National Institute of Public Health
Email: vssmi@mail.ru
Researcher
Киргизия, BishkekV. A. Ivanov
St. Petersburg Pasteur Institute
Email: vssmi@mail.ru
IT analyst
Россия, St. PetersburgG. Z. Sattarova
National Institute of Public Health, Kyrgyz Ministry of Health
Author for correspondence.
Email: vssmi@mail.ru
Researcher
Киргизия, BishkekE. S. Ramsay
St. Petersburg Pasteur Institute
Email: vssmi@mail.ru
Science Analyst
Россия, St. PetersburgB. I. Dzhangaziev
Kyrgyz Ministry of Health
Email: vssmi@mail.ru
Deputy Minister of Health for Digital Development
Киргизия, BishkekE. V. Zueva
St. Petersburg Pasteur Institute
Email: vssmi@mail.ru
PhD (Biology), Senior Researcher, Laboratory of Molecular Immunology
Россия, St. PetersburgU. U. Arabiy
National Center for Immunoprophylaxis
Email: vssmi@mail.ru
Monitoring and Evaluation Specialist
Киргизия, BishkekV. G. Drobyshevskaya
St. Petersburg Pasteur Institute
Email: vssmi@mail.ru
Doctor of Clinical Laboratory Diagnostics
St. PetersburgO. B. Zhimbaeva
St. Petersburg Pasteur Institute
Email: damaoyuna@rambler.ru
Physician, Central Clinical Diagnostic Laboratory of the Medical Center
Россия, St. PetersburgA. P. Razumovskaya
St. Petersburg Pasteur Institute
Email: vssmi@mail.ru
Doctor of Clinical Laboratory Diagnostics, Central Clinical Diagnostic Laboratory of the Medical Center
Россия, St. PetersburgA. A. Totolian
St. Petersburg Pasteur Institute
Email: vssmi@mail.ru
RAS Full Member, DSc (Medicine), Professor, Director
Россия, St. PetersburgReferences
- Aboura S. The influence of climate factors and government interventions on the Covid-19 pandemic: evidence from 134 countries. Environ. Res., 2022, vol. 208: 112484. doi: 10.1016/j.envres.2021.112484
- About Kyrgyz Republic. URL: https://invest.gov.kg/ru/general-information/ (17.04.2023)
- ACTIV-3/TICO Study Group; Rogers A.J., Wentworth D., Phillips A., Shaw-Saliba K., Dewar R.L., Aggarwal N.R., Babiker A.G., Chang W., Dharan N.J., Davey V.J., Higgs E.S., Gerry N., Ginde A.A., Hayanga J.W.A., Highbarger H., Highbarger J.L., Jain M.K., Kan V., Kim K., Lallemand P., Leshnower B.G., Lutaakome J.K., Matthews G., Mourad A., Mylonakis E., Natarajan V., Padilla M.L., Pandit L.M., Paredes R., Pett S., Ramachandruni S., Rehman M.T., Sherman B.T., Files D.C., Brown S.M., Matthay M.A., Thompson B.T., Neaton J.D., Lane H.C., Lundgren J.D. The association of baseline plasma SARS-CoV-2 nucleocapsid antigen level and outcomes in patients hospitalized with COVID-19. Ann. Intern. Med., 2022, vol. 175, no. 10, pp. 1401–1410. doi: 10.7326/M22-0924
- Agresti A., Coull B.A. Approximate is better than “exact” for interval estimation of binomial proportions. Am. Stat., 1998, vol. 52, pp. 119–126.
- Ali H., Alahmad B., Al-Shammari A.A., Alterki A., Hammad M., Cherian P., Alkhairi I., Sindhu S., Thanaraj T.A., Mohammad A., Alghanim G., Deverajan S., Ahmad R., El-Shazly S, Dashti A.A., Shehab M., Al-Sabah S., Alkandari A., Abubaker J., Abu-Farha M., Al-Mulla F. Previous COVID-19 infection and antibody levels after vaccination. Front. Public Health, 2021, vol. 9: 778243. doi: 10.3389/fpubh.2021.778243
- Bhattacharya M., Sharma A.R., Dhama K., Agoramoorthy G., Chakraborty C. Hybrid immunity against COVID-19 in different countries with a special emphasis on the Indian scenario during the Omicron period. Int. Immunopharmacol., 2022, vol. 108: 108766. doi: 10.1016/j.intimp.2022.108766
- Carrillo J., Izquierdo-Useros N., Ávila-Nieto C., Pradenas E., Clotet B., Blanco J. Humoral immune responses and neutralizing antibodies against SARS-CoV-2; implications in pathogenesis and protective immunity. Biochem. Biophys. Res. Commun., 2021, vol. 538, pp. 187–191. doi: 10.1016/j.bbrc.2020.10.108
- Chuveleva N.N. Kyrgyzstan. Economic and geographical position. Natural conditions and resources. Educational portal “Reference book”. URL: https://spravochnick.ru/geografiya/kirgiziya_ekonomiko-geograficheskoe_polozhenie_prirodnye_usloviya_ i_resursy (17.04.2023)
- Coronavirus COVID-19. URL: https://news.mail.ru/story/incident/coronavirus/stat/world (17.04.2023)
- Coronavirus in Kyrgyzstan. URL: https://coronavirus-control.ru/coronavirus-kyrgyzstan (17.04.2023)
- Crotty S. Hybrid immunity: COVID-19 vaccine responses provide insights into how the immune system perceives threats. Science, 2021, vol. 372, no. 6549, pp. 1392–1393. doi: 10.1126/science.abj2258
- Dzushupov K., Don Lucero-Prisno E., Vishnyakov D., Lin X., Ahmadi A. COVID-19 in Kyrgyzstan: navigating a way out. Review J. Glob. Health., 2021, vol. 11: 03020. doi: 10.7189/jogh.11.03020
- Fernandes E.R., Taminato M., Apostolico J.S., Gabrielonni M.C., Lunardelli V.A., Maricato J.T., Andersen M.L., Tufik S., Rosa D.S. Robust specific RBD responses and neutralizing antibodies after ChAdOx1 nCoV-19 and CoronaVac vaccination in SARS-CoV-2-seropositive individuals. J. Allergy Clin. Immunol. Glob., 2023, vol. 2, no. 2: 100083. doi: 10.1016/j.jacig.2023.100083
- Haque A., Pant A.B. Mitigating Covid-19 in the face of emerging virus variants, breakthrough infections and vaccine hesitancy. J. Autoimmun., 2022, vol. 127: 102792. doi: 10.1016/j.jaut.2021.102792
- Johansson M.A., Quandelacy T.M., Kada S., Prasad P.V., Steele M., Brooks J.T., Slayton R.B., Biggerstaff M., Butler J.C. SARS-CoV-2 transmission from people without COVID-19 symptoms. JAMA Netw. Open., 2021, vol. 4, no. 1: e2035057. doi: 10.1001/jamanetworkopen.2020.35057
- Jung J., Kim S.K., Lee Y., Park S., Lim Y.J., Kim E.O., Kim S.H. Rates of COVID-19 infection among healthcare workers in designated COVID-19 wards and general wards. J. Korean Med. Sci., 2022, vol. 37, no. 43: e308. doi: 10.3346/jkms.2022.37.e308
- Khandker S.S., Godman B., Jawad M.I., Meghla B.A., Tisha T.A., Khondoker M.U., Haq M.A., Charan J., Talukder A.A., Azmuda N., Sharmin S., Jamiruddin M.R., Haque M., Adnan N. A systematic review on COVID-19 vaccine strategies, their effectiveness, and issues. Vaccines (Basel), 2021, vol. 9, no. 12: 1387. doi: 10.3390/vaccines9121387
- Kyrgyzstan Population 2023. URL: https://worldpopulationreview.com/countries/kyrgyzstan-population (17.04.2023)
- Li M., Wang H., Tian L., Pang Z., Yang Q., Huang T., Fan J., Song L., Tong Y., Fan H. COVID-19 vaccine development: milestones, lessons and prospects. Signal Transduct. Target. Ther., 2022, vol. 7, no. 1: 146. doi: 10.1038/s41392-022-00996-y
- Matz M., Allemani C., van Tongeren M., Nafilyan V., Rhodes S., van Veldhoven K., Pembrey L., Coleman M.P., Pearce N. Excess mortality among essential workers in England and Wales during the COVID-19 pandemic. J. Epidemiol. Community Health., 2022, vol. 76, no. 7, pp. 660–666. doi: 10.1136/jech-2022-218786
- Mittal A., Khattri A., Verma V. Structural and antigenic variations in the spike protein of emerging SARS-CoV-2 variants. PLoS Pathol., 2022, vol. 18, no. 2: e1010260. doi: 10.1371/journal.ppat.1010260
- Moreira R.A., Guzman H.V., Boopathi S., Baker J.L., Poma A.B. Characterization of structural and energetic differences between conformations of the SARS-CoV-2 spike protein. Materials (Basel), 2020, vol. 13, no. 23: 5362. doi: 10.3390/ma13235362
- National Statistical Committee of the Kyrgyz Republic. Population. URL: https://www.stat.kg/ru/statistics/naselenie (17.04.2023)
- Nordström P., Ballin M., Nordström A. Risk of SARS-CoV-2 reinfection and COVID-19 hospitalisation in individuals with natural and hybrid immunity: a retrospective, total population cohort study in Sweden. Lancet Infect. Dis., 2022, vol. 22, no. 6, pp. 781–790. doi: 10.1016/S1473-3099(22)00143-8
- Paces J., Strizova Z., Smrz D., Cerny J. COVID-19 and the immune system. Physiol. Res., 2020, vol. 69, no. 3, pp. 379–388. doi: 10.33549/physiolres.934492
- Popova A.Yu., Kasymov O.T., Smolenski V.Y., Smirnov V.S., Egorova S.A., Nurmatov Z.S., Milichkina A.M., Suranbaeva G.S., Kuchuk T.E., Khamitova I.V., Zueva E.V., Ivanov V.A., Nuridinova Z.N., Derkenbaeva A.A., Drobyshevskaya V.G., Sattarova G.Z., Kaliev M.T., Gubanova A.V., Zhimbaeva O.B., Razumovskaya A.P., Verbov V.N., Likhachev I.V., Krasnov A.V., Totolian A.A. SARS-CoV-2 herd immunity of the Kyrgyz population in 2021. Med. Microbiol. Immunol., 2022, vol. 211, no. 4, pp. 195–210. doi: 10.1007/s00430-022-00744-7
- Popova A.Yu., Totolian A.A. Methodology for assessing herd immunity to the SARS-CoV-2 virus in the context of the COVID-19 andemic. Russian Journal of Infection and Immunity, 2021, vol. 11, no. 4, pp. 609–616. doi: 10.15789/2220-7619-MFA-1770
- Population of Kyrgyzstan. URL: https://countrymeters.info/ru/Kyrgyzstan (17.04.2023)
- Primorac D., Vrdoljak K., Brlek P., Pavelić E., Molnar V., Matišić V., Erceg Ivkošić I., Parčina M. Adaptive Immune Responses and Immunity to SARS-CoV-2. Front. Immunol., 2022, vol. 13: 848582. doi: 10.3389/fimmu.2022.848582
- Ravindra K., Malik V.S., Padhi B.K., Goel S., Gupta M. Asymptomatic infection and transmission of COVID-19 among clusters: systematic review and meta-analysis. Public Health., 2022, vol. 203, pp. 100–109. doi: 10.1016/j.puhe.2021.12.003
- Sette A., Crotty S. Adaptive immunity to SARS-CoV-2 and COVID-19. Cell, 2021, vol. 184, no. 4, pp. 861–880. doi: 10.1016/j.cell.2021.01.007
- Significant Difference Calculator (z-test). RADAR Research Company. 2020. URL: https://radar-research.ru/ software/z-test_calculator (07.10.2021)
- Stokel-Walker C. What we know about COVID-19 reinfection so far. BMJ, 2021, vol. 372: 99. doi: 10.1136/bmj.n99
- Totolian A.A., Smirnov V.S., Krasnov A.A., Ramsay E.S., Dedkov V.G., Popova A.Y. COVID-19 case numbers as a function of regional testing strategy, vaccination coverage, and vaccine type. Viruses, 2023, vol. 15: 2181. doi: 10.3390/v15112181
- Wald A., Wolfowitz J. Confidence limits for continuous distribution functions. Ann. Math. Stat., 1939, vol. 10, no. 2, pp. 105–118.
- Wang H., Zhang Y., Huang B., Deng W., Quan Y., Wang W., Xu W., Zhao Y., Li N., Zhang J., Liang H., Bao L., Xu Y., Ding L., Zhou W., Gao H., Liu J., Niu P., Zhao L., Zhen W., Fu H., Yu S., Zhang Z., Xu G., Li C., Lou Z., Xu M., Qin C., Wu G., Gao G.F., Tan W., Yang X. Development of an inactivated vaccine candidate, BBIBP-CorV, with potent protection against SARS-CoV-2. Cell, 2020, vol. 182, no. 3, pp.713–721.e9. doi: 10.1016/j.cell.2020.06.008
- Wang J., Kaperak C., Sato T., Sakuraba A. COVID-19 reinfection: a rapid systematic review of case reports and case series. J. Investig. Med., 2021, vol. 69, pp. 1253–1255. doi: 10.1136/jim-2021-001853
- Wheeler S.E., Shurin G.V., Yost M., Anderson A., Pinto L., Wells A., Shurin M.R. Differential antibody response to mRNA COVID-19 vaccines in healthy subjects. Microbiol. Spectr., 2021, vol. 9, no. 1: e0034121. doi: 10.1128/Spectrum.00341-21
- Yadav R., Chaudhary J.K., Jain N., Chaudhary P.K., Khanra S., Dhamija P., Sharma A., Kumar A., Handu S. Role of structural and non-structural proteins and therapeutic targets of SARS-CoV-2 for COVID-19. Cells, 2021, vol. 10, no. 4: 821. doi: 10.3390/cells10040821
- Zhang Y., Zeng G., Pan H., Li C., Hu Y., Chu K., Han W., Chen Z., Tang R., Yin W., Chen X., Hu Y., Liu X., Jiang C., Li J., Yang M., Song Y., Wang X., Gao Q, Zhu F. Safety, tolerability, and immunogenicity of an inactivated SARS-CoV-2 vaccine in healthy adults aged 18–59 years: a randomised, double-blind, placebo-controlled, phase 1/2 clinical trial. Lancet Infect. Dis., 2021, vol. 21, no. 2, pp. 181–192. doi: 10.1016/S1473-3099(20)30843-4
- Zheng J., Deng Y., Zhao Z., Mao B., Lu M., Lin Y, Huang A. Characterization of SARS-CoV-2-specific humoral immunity and its potential applications and therapeutic prospects. Cell. Mol. Immunol. 2022, vol. 19, no. 2, pp. 150–157. doi: 10.1038/s41423-021-00774-w
Supplementary files
















