Differences in complete blood count parameters in patients with COVID-19 diagnosis based on vaccination status (literature review)
- Authors: Konyuhov A.V.1,2, Kostinova A.M.1,3, Loktionova M.N.1,4, Kostinov M.P.1,5, Pechenik A.S.6
-
Affiliations:
- I.M. Sechenov First Moscow State Medical University of the Ministry of Health of the Russian Federation (Sechenov University)
- Izmerov Research Institute of Occupational Health
- National Research Center — Institute of Immunology of the Federal Medical-Biological Agency of Russia
- Central Research Institute of Epidemiology and Microbiology of Rospotrebnadzor
- I.I. Mechnikov Research Institute of Vaccines and Sera
- N.E. Bauman Clinical City Hospital No. 29
- Issue: Vol 14, No 1 (2024)
- Pages: 46-56
- Section: ORIGINAL ARTICLES
- Submitted: 20.10.2023
- Accepted: 02.12.2023
- Published: 28.02.2024
- URL: https://iimmun.ru/iimm/article/view/17085
- DOI: https://doi.org/10.15789/2220-7619-DIS-17085
- ID: 17085
Cite item
Full Text
Abstract
Relevance. Due to the large-scale vaccination campaigns against the SARS-CoV-2 coronavirus taking place worldwide, the question arises as to how vaccination may affect complete blood count (CBC) parameters in COVID-19 cases. Research objective: assess differences in complete blood count parameters in COVID-19 patients based on their vaccination status.
Materials and methods. A review of publications was conducted describing and presenting the complete blood count parameters in patients with verified COVID-19, by stratifying them into vaccinated and unvaccinated individuals against the SARS-CoV-2 virus-caused disease. Subsequently, a meta-analysis of the results for each CBC parameter was carried out by describing identified differences among patients with mild and moderate COVID-19, lacking comorbidities affecting CBC indicators.
Results. The analysis conducted allowed to determine that the complete blood count parameters do not exceed the reference range in most cases in both groups, excepting those of individuals with a severe disease course. The exception is the erythrocyte sedimentation rate (ESR) (42 [20.5–63.5] (∑n = 107, Me [Q1–Q3])) mm/h in unvaccinated individuals. Also, a slightly lower absolute lymphocyte count is observed in vaccinated individuals (0.95 [0.58–1.62] × 109/L (∑n = 441, Me [Q1–Q3])). There is a twofold greater range of leukocyte quartile values in vaccinated individuals compared to unvaccinated individuals: 7.07 [4.07–12.31] × 109/L (∑n = 555, Me [Q1–Q3]) vs 5.68 [4.02–8.34] × 109/L (∑n = 2202, Me [Q1–Q3]). A similar pattern is observed for monocytes.
Conclusion. Conducting a meta-analysis of laboratory parameters in COVID-19 cases among vaccinated and unvaccinated individuals allows for determining the effectiveness of vaccination as well as identify the major trends in dynamic changes for essential blood parameters among unvaccinated and vaccinated individuals in general or with certain immunobiological preparations.
Keywords
Full Text
Введение
Как и любая иммунизация, вакцинация против коронавирусной инфекции является эффективным методом профилактики заболевания. На момент проведения настоящего исследования известно о 44 различных вакцинах, применяющихся для профилактики коронавирусной инфекции или проходящих испытания в целях дальнейшего применения [36]. Вакцины от COVID-19, которые были одобрены к использованию, доказали свою эффективность в предотвращении тяжелых форм заболевания и смертности. Например, по данным первичных исследований, Pfizer-BioNTech вакцина имеет 95% эффективность в предотвращении заболевания COVID-19 [1], Moderna — до 94% эффективности [28], Johnson&Johnson — более 66,5% эффективности [34], отечественная же вакцина Гам-Ковид-Вак (Спутник V) в ходе начальных испытаний — 92% [26]. Тем не менее, несмотря на отличающуюся эффективность применяемых вакцин, в многочисленных широкомасштабных сравнительных исследованиях целесообразности вакцинации было продемонстрировано снижение заболеваемости, количества тяжелых форм и осложнений (пневмонии, дыхательная недостаточность, тромбозы, неврологические осложнения), а также смертности от коронавирусной инфекции среди вакцинированных [3, 5, 7, 17, 30, 34, 38, 41].
Однако добиться стойкого снижения заболеваемости за счет массовой вакцинации на сегодняшний день не представляется возможным: известно, что как ранее переболевшие, так и вакцинированные лица повторно заражаются коронавирусом [10, 29, 31]. Кроме того, эффективность вакцины может зависеть от многих факторов, таких как возраст, сопутствующая патология, базисный прием определенных групп лекарственных препаратов, образ жизни и др. Также стоит учитывать особенности строения самого коронавируса SARS-CoV-2, а именно — его способность к мутациям, что может приводить к снижению специфического иммунитета после введенной ранее вакцины на основе другого штамма [20].
COVID-19 — это острое инфекционное заболевание дыхательных путей, возбудителем которого является новый коронавирус — SARS-CoV-2. Попадая в клетки человека через S-гликопротеин, он связывается с рецептором ангиотензинпревращающего фермента 2 (АПФ2), который экспрессируется в различных органах, включая легкие, почки, поджелудочную железу, кишечник и сердце, что обуславливает повышение вирусной нагрузки на многие органы и ткани организма. Наличие хронических сопутствующих патологий ввиду нарушения регуляции иммунного ответа осложняют течение основного заболевания. Так, например, при сахарном диабете и ожирении увеличивается образование адипоцитарных клеток, обусловленное повышенной экспрессией АПФ2, которые превращают адипоциты и липофибробласты в резервуары для вируса [12], что играет существенную роль в патогенном ответе на коронавирусную инфекцию.
При коронавирусной инфекции, вызванной вирусом SARS-CoV-2, нередко наблюдаются нарушения иммунной системы: изменение работы клеточного иммунитета, лимфопения, «цитокиновый шторм» [9]. Нарушения в функционировании иммунной системы прослеживаются и в показателях ОАК.
Наиболее поддающимися изучению показателями воспалительной реакции являются параметры ОАК и уровень С-реактивного белка (СРБ), в то время как содержание прокальцитонина и ферритина в сыворотке крови оказалось менее информативным, в том числе в плане прогноза, фактором. По данным исследований уровень СРБ является ключевым лабораторным биомаркером-индикатором, который сигнализирует о необходимости терапии противоспалительного характера [1, 8]. Однако оборудование для его определения имеется не во всех медицинских учреждениях, в отличие от оборудования для проведения ОАК.
COVID-19 — это системная инфекция, оказывающая значительное влияние на кроветворную систему и гемостаз. Одним из наиболее распространенных осложнений COVID-19 является гиперкоагуляция [6]. Постепенное повышение уровня D-димера в ходе заболевания тесно связано с ухудшением состояния пациента и неблагоприятным прогнозом. Другие маркеры гиперкоагуляции, такие как удлинение протромбинового времени (ПВ) и активированного частичного тромбопластинового времени (АЧТВ), увеличение продуктов распада фибрина, тяжелая тромбоцитопения, приводят к развитию синдрома диссеминированного внутрисосудистого свертывания (ДВС-синдрома), требующего немедленного медицинского вмешательства. Пациенты, инфицированные коронавирусом SARS-CoV-2, независимо от того, находятся ли они в стационаре или лечатся амбулаторно, подвержены высокому риску развития венозной тромбоэмболии (ВТЭ), в связи с чем настоятельно рекомендуется ранняя и длительная фармакологическая тромбопрофилактика низкомолекулярным гепарином [2, 11]. Однако в обзоре 9 опубликованных в 2020 г. исследований, напротив, сообщалось о более низком количестве тромбоцитов у пациентов с тяжелой формой COVID-19 [25].
Во время инкубационного периода, который составляет от одного дня до двух недель, а также в начале проявлений заболевания, количество лейкоцитов и лимфоцитов в ОАК в норме или слегка снижено у вакцинированных и невакцинированных пациентов. При виремии SARS-CoV-2 в основном поражает ткани, экспрессирующие высокие уровни рецепторов АПФ2, такие как легкие, сердце и желудочно-кишечный тракт. Через 7–14 дней после проявления первичных симптомов обнаруживаются клинические симптомы, связанные с системным повышением в крови цитокинов. В этот период лимфопения становится явно выраженной [23]. Так, в ретроспективном исследовании, проведенном в Ухане в 2020 г., у 85% пациентов с тяжелой формой заболевания наблюдалась лимфопения [39]. Аналогичные данные о лимфопении сообщаются в исследованиях клиник Сингапура и Вашингтона [13, 16, 40].
Японскими исследователями в 2023 г. проведен анализ по оценке изменения концентраций лейкоцитов и тромбоцитов среди здоровых вакцинированных лиц и больных COVID-19 (без уточнения статуса вакцинации в прошлом). Результаты исследования показали отсутствие значительного роста лейкоцитов и тромбоцитов после всех этапов вакцинации по сравнению с их уровнем перед вакцинацией, и, полученные результаты имели степень достоверности, равную p ≤ 0,01 (после третьего этапа по сравнению с контрольным, предпрививочным, анализом). По данным исследований концентраций лейкоцитов и тромбоцитов у заболевших COVID-19 можно считать, что данные показатели тем выше, чем тяжелее течение заболевания. Так, у пациентов в легкой форме COVID-19 показатели лейкоцитов и тромбоцитов не отличаются от вакцинированных тремя дозами мРНК-вакциной. Но среднее значение лейкоцитов и тромбоцитов у лиц с тяжелой формой COVID-19 выше более чем в 2 и 4 раза соответственно, чем у здоровых, полностью привитых лиц [43].
Коллегами из Узбекистана было представлено исследование с данными ОАК у пациентов с различными формами COVID-19 и контрольной группы здоровых лиц, однако статус вакцинации в обследуемых группах указан не был. Так, у лиц со среднетяжелой формой течения заболевания показатель лейкоцитов соответствовал 16±1,3 × 109/L (p < 0,001), у 80±8,2% (p < 0,01) отмечалась нейтрофилия, а лимфоцитопения была выявлена всего у 14±2,5% (p < 0,001) пациентов. У пациентов с тяжелой формой течения значения перечисленных показателей несколько выше [21].
Отечественными исследователями проводился анализ результатов обследования 206 пациентов, которые поступали в стационары г. Москвы и Московской области с диагнозами: U07.1 Коронавирусная инфекция COVID-19, вирус идентифицирован; U07.2 Коронавирусная инфекция COVID-19, вирус не идентифицирован; J12.9 Внебольничная пневмония. Возраст пациентов составлял 25–98 лет (средний возраст 54,8±7,4 года). Из стационара после выздоровления были выписаны 197 пациентов, 6 были переведены в реанимационное отделение, где скончались, 3 больных умерли в отделении.
У всех больных, вне зависимости от статуса, были выявлены изменения мегакариоцитарного, эритроцитарного и гранулоцитарного ростков крови. Путем сопоставления анамнеза течения заболевания, оценки гематологических показателей были выявлены основные изменения, обусловленные влиянием COVID-19. Наиболее существенным изменением в эритроцитарном ростке костного мозга (28,6%) отмечено изменение параметров гемоглобина. Данный факт показывает снижение показателей в период госпитализации менее чем у 20% пациентов. У более 9% больных данные изменения присутствовали до госпитализации.
У 19–20% пациентов число эритроцитов и показатели гемоглобина в крови были увеличены, что указывает на усиление эритропоэза в костном мозге. Более интенсивный процесс отмечен у пациентов с тяжелой формой гипоксии, ранее невакцинированных. Изменения в мегакариоцитарном ростке выражались тенденцией к снижению числа нормальных тромбоцитов и увеличению макроцитарных форм (41%). Данный фактор указывает на повышение расхода клеток, развитие процесса тромбообразования внутри сосудов и выделение молодых форм тромбоцитов меньшего объема. Изменение числа лейкоцитов в ОАК у больных COVID-19 и пневмонией показало, что случаи лейкопении встречались у 7% пациентов, повышение числа лейкоцитов — у 21%, в то время как лимфопения наблюдалась в 40% случаев, что на 14% больше случаев лимфоцитоза [4].
Материалы и методы
Проведен анализ 12 зарубежных источников, содержащих данные ОАК, взятые на 3–10 день после госпитализации у взрослых и пожилых пациентов с лабораторно подтвержденным диагнозом COVID-19 легкой, средней и тяжелой формы течения, находившихся на стационарном лечении. Для сравнения показателей у вакцинированных и невакцинированных были сопоставлены суммирующие выборки из исследований. Также показатели ОАК сравнивались с референсными значениями для взрослого человека. Включались исследования, изучающие влияние вакцинации на тяжесть течения и количество осложнений от COVID-19, в том числе с сопутствующими соматическими заболеваниями, а также исследования с разбором клинических случаев. В учет брались результаты исследований показателей ОАК, выполненные по значениям медианы с учетом 1 и 3 квартиля. Сравнительный анализ результатов исследований проводился при помощи суммации медианных значений и расчета средней арифметической.
Исключался учет:
- показателей ОАК среди пациентов с летальным исходом вследствие COVID-19 (как среди вакцинированных, так и невакцинированных);
- показателей ОАК у пациентов с микст-инфекцией (COVID-19 в сочетании с другими инфекционными заболеваниями);
- показателей ОАК среди пациентов с COVID-19, параллельно находящихся на лечении ряда заболеваний в стадии обострения (пациенты с онкологическими, аутоиммунными заболеваниями и т.д.), и у лиц после трансплантации.
Результаты вышеупомянутых исследований стирают причинно-следственную связь между влиянием вакцины от коронавирусной инфекции на показатели ОАК и должны выделяться в отдельную категорию анализа данных по влиянию вакцинации на тяжесть течения или смертность от COVID-19. Однако показатели ОАК у пациентов, находившихся на ИВЛ и других реанимационных мероприятиях учитывался в настоящем исследовании.
В учет вакцинированных от коронавирусной инфекции пациентов брались в том числе когорты, где вакцинация была не стопроцентной. Допускались в данную категорию когорты с общим процентом вакцинации свыше 85%. При этом в учет вакцинированных против коронавирусной инфекции пациентов брались все лица, иммунизированные, по меньшей мере, одной дозой любой из зарегистрированных в мире вакцин за все время пандемии.
Статистическая обработка результатов проводилась при помощи IBM SPSS Statistics 26.0 и Microsoft Office Excel 2019. Данные были проверены на нормальность распределения при помощи одновыборочного критерия Колмогорова–Смирнова с учетом коррекции значимости Лильефорса. Статистическая значимость различий независимых выборок с нормальным распределением оценивалась с помощью непарного t-критерия Стьюдента с учетом критерия равенства дисперсий Ливиня. Статистическая значимость различий независимых выборок с ненормальным распределением оценивалась с помощью непараметрического критерия Манна–Уитни.
Результаты и обсуждение
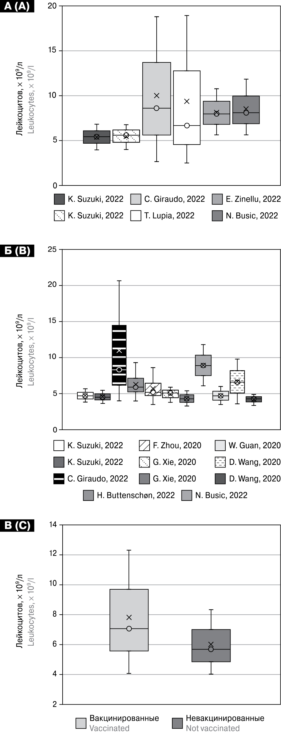
Медиана показателя лейкоцитов у вакцинированных равна 7,07 [4, 07–12, 31] × 109/л (∑n = 555, Me [Q1–Q3]), у невакцинированных составляет 5,68 [4, 02–8, 34] × 109/л (∑n = 2202, Me [Q1–Q3]). Несмотря на четырехкратное различие по количеству лиц в выборках можно судить о более высоком уровне лейкоцитов у вакцинированных, чем у невакцинированных. Полученные результаты не выходят за границы референсных значений в обоих случаях. Также можно предположить, что более высокое среднее содержание лейкоцитов в группе вакцинированных позволяет эффективней реагировать на коронавирус SARS-CoV-2, а это в свою очередь может обуславливать положительный эффект вакцинации. В качестве альтернативной точки зрения предполагается, что более высокий уровень лейкоцитов связан с большим вкладом когорт тяжелых случаев COVID-19 в группе вакцинированных, поскольку в первоисточниках систематически сообщается о более высоком уровне лейкоцитов у лиц с тяжелым течением COVID-19. Значения 1 и 3 квартилей, а также медианы между разными исследованиями зачастую не пересекаются [14, 15, 18, 19, 27, 32, 35, 37, 42, 44]. Распределение данных о лейкоцитах у заболевших в изученной литературе представлены на рис. 1А и 1Б, среднемедианные значения по всем указанным источникам — на рис. 1В. Данные группы невакцинированных лиц относятся к ненормально распределенным. Данные вакцинированных лиц распределены нормально. Статистическая значимость различий двух групп отсутствует (p > 0,05).
Рисунок 1. Mедианные значения количества лейкоцитов у вакцинированных (А) и невакцинированных (Б) больных COVID-19 и их сравнение (В)
Figure 1. Median values of WBC in vaccinated (A) and unvaccinated (B) patients with COVID-19 and their comparison (C)
Показатель медианы эритроцитов у вакцинированных равен 4,46 [4, 14–4, 89] × 1012/л (∑n = 210, Me [Q1–Q3]), у невакцинированных — составляет 4,51 [4, 12–5, 44] × 1012/л (∑n = 21, Me [Q1–Q3]) [24].
В настоящее время известно, что коронавирусная инфекция может провоцировать гемолиз. Однако исследований, демонстрирующих количественное содержание эритроцитов в крови пациентов с COVID-19, недостаточно, что показывают результаты данного анализа. Выборка лиц в группе невакцинированных составляет 21 человек, что сравнивать с 210 вакцинированными не объективно. Однако оба значения средней медианы эритроцитов показывают такое значение, которое близко к нижней границе нормы, что может косвенно подтверждать факт частичного гемолиза у лиц с COVID-19.
Медиана уровня гемоглобина у вакцинированных равна 134 [118–146] г/л (∑n = 490, Me [Q1–Q3]), у невакцинированных составляет 132 [118–148] г/л (∑n = 1774, Me [Q1–Q3]). Различия в показателях гемоглобина между группами незначительны как по медиане, так и по квартилям. Полученные значения не выходят за пределы референсных в обоих группах. Признаков гемолиза на больших выборках не обнаружено [14, 15, 19, 24, 33, 37, 42, 44].
Распределение данных о гемоглобине у заболевших в изученной литературе представлены на рис. 2А и 2Б, среднемедианные значения по всем указанным источникам — на рис. 2В. Расчет данных группы невакцинированных лиц невозможно провести в связи с малым количеством (меньше пяти) значений в выборке. Данные вакцинированных лиц распределены нормально. Статистическая значимость различий двух групп отсутствует (p > 0,05).
Рисунок 2. Mедианные значения уровня гемоглобина у вакцинированных (А) и невакцинированных (Б) больных COVID-19 и их сравнение (В)
Figure 2. Median values of HGB in vaccinated (A) and unvaccinated (B) patients with COVID-19 and their comparison (C)
Среднемедианные показатели гематокрита, размера эритроцитов, содержания и концентрации гемоглобина в эритроцитах не выходили за пределы референсных во всех случаях. Сравнение между группами вакцинированных и невакцинированных лиц данных показателей не проводилось из-за малого значения выборки невакцинированных (∑n = 21) во всех показателях [24]. Можно предположить, что наличие факта вакцинации не влияет (или положительно влияет) на количественный и качественный состав эритроцитов у лиц лишь в период заболевания COVID-19.
Медиана показателя тромбоцитов у вакцинированных равна 202 [152–276] × 109/л (∑n = 733, Me [Q1–Q3]), у невакцинированных составляет 173 [139–219] ×1 09/л (∑n = 2182, Me [Q1–Q3]). Несмотря на известные и частые факты тромбоза у больных COVID-19 показатели тромбоцитов в двух группах не выходят за пределы референсных значений. Вероятно, в развитии тромбоза играют роль другие факторы свертываемости, например экспрессия тканевого фактора на моноцитах и макрофагах [6]. Однако в группе вакцинированных среднемедианные значения тромбоцитов несколько выше, чем у невакцинированных. Некоторые квартильные значения выходят за пределы референсных. Более высокий уровень тромбоцитов в группе вакцинированных также может быть связан с большим вкладом когорт тяжелых случаев COVID-19 в данной группе. Для объективизации данных рекомендуется сопоставление данных на равных выборках [13, 14, 15, 19, 24, 27, 32, 33, 37, 42]. Распределение данных о тромбоцитах у заболевших в изученной литературе представлены на рис. 3А и 3Б, среднемедианные значения по всем указанным источникам — на рис. 3В. Данные группы невакцинированных и вакцинированных лиц распределены нормально. Однако расчет статистической значимости различий двух групп по непарному t-критерию Стьюдента неприменим в силу малого критерия равенства дисперсий Ливиня: p = 0,046, в связи с чем применимы непараметрические методы оценки уровня статистической значимости. Анализ по критерию Манна–Уитни показал p < 0,05, что свидетельствует о наличии статистической значимости различий двух групп — вакцинированных и невакцинированных.
Рисунок 3. Mедианные значения количества тромбоцитов у вакцинированных (А) и невакцинированных (Б) больных COVID-19 и их сравнение (В)
Figure 3. Median values of PLT in vaccinated (A) and unvaccinated (B) patients with COVID-19 and their comparison (C)
Согласно полученным данным, вакцинация, предшествовавшая заболеванию COVID-19, не оказывала влияния на средний объем тромбоцитов [14, 15, 19, 24, 24, 32, 35, 37, 42, 44].
Полученные среднемедианные значения СОЭ у вакцинированных составляет 24 [11, 5–37, 5] мм/ч (∑n = 210, Me [Q1–Q3]), у невакцинированных — 42 [20, 5–63, 5] мм/ч (∑n = 107, Me [Q1–Q3]). Имеется отклонение среднемедианного значения у невакцинированных. Показатель СОЭ у вакцинированных несколько повышен, но входит в нормативные границы. СОЭ как один из маркеров воспаления в данном случае может свидетельствовать, что вакцинированные от коронавируса SARS-CoV-2 лица легче переносят само заболевание COVID-19. Для объективизации данных рекомендуется сопоставление данных на равных выборках с большим количеством участников исследования [24, 37].
Медиана нейтрофилов у вакцинированных равна 4,88 [3, 19–6, 88] × 109/л (∑n = 695, Me [Q1–Q3]), у невакцинированных составляет 3,99 [2, 63–5, 89] × 109/л (∑n = 614, Me [Q1–Q3]) . Показатель группового различия нейтрофилов в данном случае является наиболее объективным в силу одинаковых выборок вакцинированных и невакцинированных. Среднемедианные данные нейтрофилов у невакцинированных свидетельствуют о некотором снижении показателя, незначительно выходящего за нижнюю границу установленной нормы. Но поскольку и общее количество лейкоцитов у вакцинированных выше — можно наблюдать корреляцию нейтрофилов с лимфоцитами между группами вакцинированных и невакцинированных [14, 32, 33, 35, 37, 44].
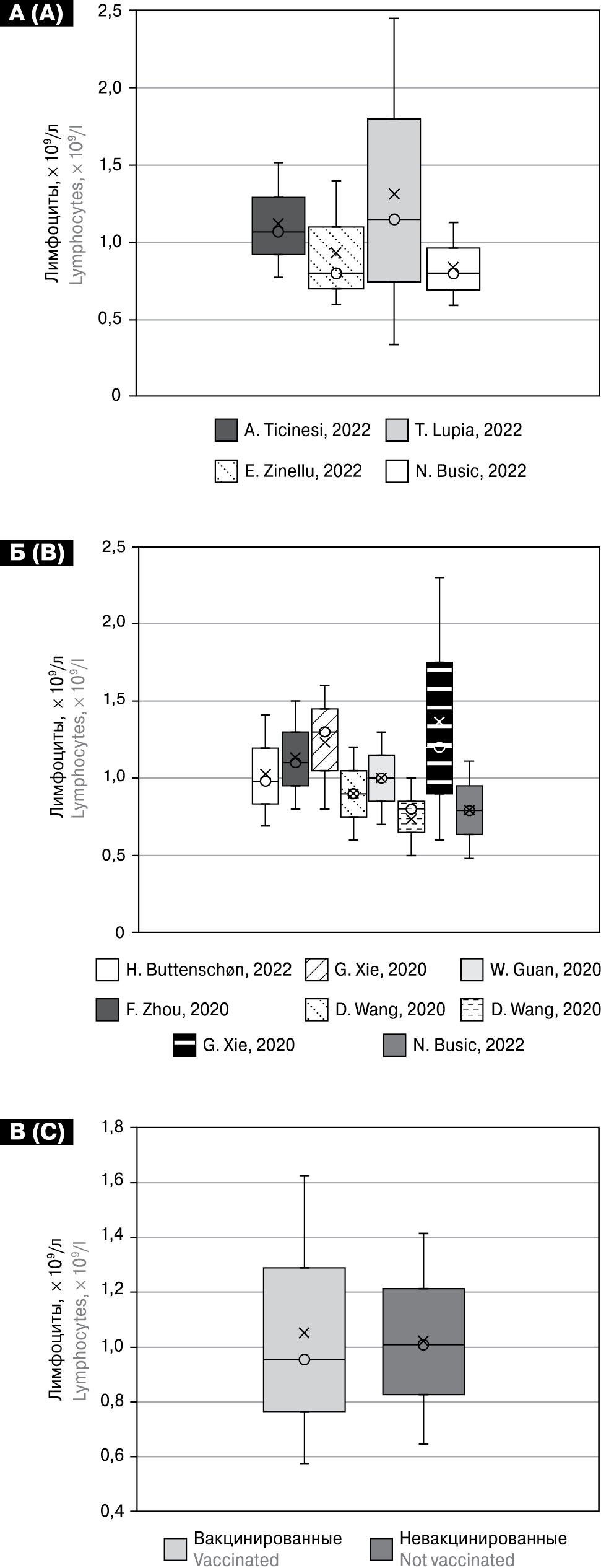
Показатель медианы лимфоцитов у вакцинированных равен 0,95 [0, 58–1, 62] × 109/л (∑n = 441, Me [Q1–Q3]), у невакцинированных составляет 1,01 [0, 65–1, 42] × 109/л (∑n = 2151, Me [Q1–Q3]). Различие среднемедианных показателей лимфоцитов у вакцинированных и непривитых незначительно, что может быть связано в том числе и с пятикратной разницей по количеству полученных выборок. Отмечается меньший квартильный разброс полученных показателей в группе невакцинированных [14, 15, 19, 27, 33, 35, 37, 42, 44]. Распределение данных о лимфоцитах у заболевших в изученной литературе представлены на рис. 4А и 4Б, среднемедианные значения по всем указанным источникам — на рис. 4В.
Рисунок 4. Mедианные значения количества лимфоцитов у вакцинированных (А) и невакцинированных (Б) больных COVID-19 и их сравнение (В)
Figure 4. Median values of LYM in vaccinated (A) and unvaccinated (B) patients with COVID-19 and their comparison (C)
Расчет данных группы невакцинированных лиц невозможно провести в связи с малым количеством (меньше пяти) значений в выборке. Данные вакцинированных лиц распределены нормально. Статистическая значимость различий двух групп отсутствует (p > 0,05).
Показатель медианы моноцитов у вакцинированных равен 0,52 [0, 29–1, 01] × 109/л (∑n = 160, Me [Q1–Q3]), у невакцинированных составляет 0,48 [0, 28–0, 58] × 109/л (∑n = 235, Me [Q1–Q3]). Среднемедианные значения моноцитов у вакцинированных несколько выше и незначительно выходят за пределы референсных значений. Наблюдается корреляция данных с общим количеством лейкоцитов в описываемых группах [27, 35, 37, 44].
Медиана эозинофилов у вакцинированных равна 0,15 [0, 00–0, 56] × 109/л (∑n = 44, Me [Q1–Q3]), у невакцинированных составляет 0,03 [0, 00–0, 04] × 109/л (∑n = 85, Me [Q1–Q3]). Несмотря на малые выборки лиц, можно судить о фактическом напряжении иммунного ответа на коронавирусную инфекцию у вакцинированных лиц, поскольку эозинофилы играют немаловажную роль в противовирусном иммунитете. Однозначно можно утверждать, что значения эозинофилов в обеих группах не выходят за пределы референса [27, 37].
Заключение и выводы
Проведенный анализ позволил определить, какие показатели ОАК выходят за пределы референсных значений у вакцинированных и невакцинированных лиц. В большинстве случаев в обоих группах отмечалось сохранение значений в пределах нормы, однако стоит учитывать отличия исследуемых групп, поскольку в них включались когорты с легким, средним и тяжелым течением COVID-19. Наиболее частые отклонения от нормальных значений ОАК наблюдались в когортах тяжелых случаев заболевания. Из-за высокой частоты присоединения бактериальной инфекции во время заболевания COVID-19, особенно в случаях нахождения пациентов на аппаратах ИВЛ, сдвиг лейкоцитарной формулы приобретал нестандартные для коронавирусной инфекции значения. Такие случаи были включены в настоящее исследование и их вклад был способен изменить полученные данные.
Для объективной оценки рекомендуется провести анализ большего количества источников и составление однородных по количеству лиц, а также тяжести течения заболевания суммирующих выборок.
На основании полученных данных можно сделать вывод о том, что общий анализ крови может отражать прогностически значимые изменения у пациентов с инфекционными заболеваниями. Так, например, выявленная лимфопения является одним из характерных изменений ОАК при COVID-19-инфекции, что способствует формированию прогностического потенциала.
Проведение метааналитических исследований с изучением лабораторных показателей в случаях заболевания среди вакцинированных и невакцинированных позволяет определить эффективность иммунизации различными вакцинными препаратами различных групп лиц, а также выявить определенные тенденции в динамике значений основных показателей крови.
About the authors
A. V. Konyuhov
I.M. Sechenov First Moscow State Medical University of the Ministry of Health of the Russian Federation (Sechenov University); Izmerov Research Institute of Occupational Health
Author for correspondence.
Email: poiuytyui@yandex.ru
ORCID iD: 0000-0003-0281-6903
Resident of the Department of Epidemiology and Modern Technologies Vaccination, Doctor-epidemiologist, Clinic for Professional and Professionally-induced Diseases
Россия, Moscow; MoscowA. M. Kostinova
I.M. Sechenov First Moscow State Medical University of the Ministry of Health of the Russian Federation (Sechenov University); National Research Center — Institute of Immunology of the Federal Medical-Biological Agency of Russia
Email: poiuytyui@yandex.ru
Assistant Professor, Department of Epidemiology and Modern Vaccination Technologies, Researcher, Department of Immunopathology
Россия, Moscow; MoscowM. N. Loktionova
I.M. Sechenov First Moscow State Medical University of the Ministry of Health of the Russian Federation (Sechenov University); Central Research Institute of Epidemiology and Microbiology of Rospotrebnadzor
Email: poiuytyui@yandex.ru
PhD (Medicine), Associate Professor, Department of Epidemiology and Modern Vaccination Technologies, Senior researcher, Laboratory of Epidemiology of Natural Focal Infections
Россия, Moscow; MoscowM. P. Kostinov
I.M. Sechenov First Moscow State Medical University of the Ministry of Health of the Russian Federation (Sechenov University); I.I. Mechnikov Research Institute of Vaccines and Sera
Email: poiuytyui@yandex.ru
Honored Scientist of the Russian Federation, RAS Corresponding Member, DSc (Medicine), Professor, Head of the Department of Epidemiology and Modern Vaccination Technologies, Head of the Laboratory for Vaccine Prevention and Immunotherapy of Allergic Diseases
Россия, Moscow; MoscowA. S. Pechenik
N.E. Bauman Clinical City Hospital No. 29
Email: poiuytyui@yandex.ru
PhD (Medicine), Associate Professor, Doctor-Epidemiologist
Россия, MoscowReferences
- Абдуллаев Р.Ю., Комиссарова О.Г. Лабораторные проявления коронавирусной инфекции COVID-19 // Врач. 2020. Т. 31, № 5. С. 3–6. [Abdulayev R.Y., Komissarova O.G. Laboratory manifestations of coronavirus infection COVID-19. Vrach = The Doctor, 2020, vol. 31, no. 5, pp. 3–6. (In Russ.)] doi: 10.29296/25877305-2020-05-01
- Анаев Э.Х., Княжеская Н.П. Коагулопатия при COVID-19: фокус на антикоагулянтную терапию // Практическая пульмонология. 2020. № 1. С. 3–13. [Anaev E.Kh., Knyazheskaya N.P. Coagulopathy in COVID-19: focus on anticoagulant therapy. Prakticheskaya pul’monologiya = Practical Pulmonology, 2020, no. 1, pp. 3–13. (In Russ.)]
- Бенуни Н.А., Котусов А.С., Аджиева Ф.С., Кучер А.Е., Толмачева К.А., Душук В.Н., Масленников Р.В. Вакцинация и смертность больных COVID-19: глобальный подход // Российский журнал гастроэнтерологии, гепатологии, колопроктологии. 2022. Т. 32, № 3. С. 23–28. [Benuni N.A., Kotusov A.S., Adzhieva F.S., Kucher A.E., Tolmacheva K.A., Dushuk V.N., Maslennikov R.V. Vaccination and mortality of patients with a novel Coronavirus infection (COVID-19): a global approach. Rossiiskii zhurnal gastroenterologii, gepatologii, koloproktologii = Russian Journal of Gastroenterology, Hepatology, Coloproctology, 2022, vol. 32, no. 3, pp. 23–28. (In Russ.)] doi: 10.22416/1382-4376-2022-32-3-23-28
- Вечорко В.И., Евсиков Е.М., Байкова О.А., Левчук Н.Н. Характер изменения гематологических показателей у больных COVID-19 // Профилактическая медицина. 2020. Т. 23, № 8. С. 57–63. [Vechorko V.I., Evsikov E.M., Baykova O.A., Levchuk N.N. Character of changes in hematological parameters in patients with COVID-19. Profilakticheskaya meditsina = Preventive Medicine, 2020, vol. 23, no. 8, pp. 57–63. (In Russ.)] doi: 10.17116/profmed20202308157
- Волчков В.А., Титова О.Н., Рукавишникова С.А., Ахмедов Т.А., Пушкин А.С., Сагинбаев У.Р., Давыдова Е.П. Иммунопрофилактика COVID-19 в аспектах разных возрастных групп // Патологическая физиология и экспериментальная терапия. 2022. Т. 66, № 2. С. 66–71. [Volchkov V., Titova O., Rukavishnikova S., Akhmedov T., Pushkin A., Saginbaev U., Davydova E. Immunoprophylaxis COVID-19 in aspects of different age groups. Patologicheskaya fiziologiya i eksperimental’naya terapiya = Pathological Physiology and Experimental Therapy, 2022, vol. 66, no. 2, pp. 66–71. (In Russ.)] doi: 10.25557/0031-2991.2022.02.66-71
- Галстян Г.М. Коагулопатия при COVID-19 // Пульмонология. 2020. Т. 30, № 5. С. 645–657. [Galstyan G.M. Coagulopathy in COVID-19. Pul’monologiya = Pulmonology, 2020, vol. 30, no. 5, pp. 645–657. (In Russ.)] doi: 10.18093/0869-0189-2020-30-5-645-657
- Миронова А.А., Наркевич А.Н., Шестерня П.А. Результативность вакцинации против новой коронавирусной инфекции (COVID-19) в Красноярском крае // Экология человека. 2021. № 10. С. 13–20. [Mironova А.А., Narkevich А.N., Shesternya P.A. The effectiveness of vaccination against the new coronavirus infection (Covid-19) in the Krasnoyarsk Territory. Ekologiya cheloveka = Human Ecology, 2021, no. 10, pp. 13–20. (In Russ.)] doi: 10.33396/1728-0869-2021-10-13-20
- Некрасова Л.А., Джайн М., Губенко Н.С., Будко А.А., Самоходская Л.М., Орлова Я.А., Камалов А.А. Возможность использования показателей клинического анализа крови в оценке воспалительного статуса пациентов с COVID-19 // Клиническая практика. 2022. Т. 13, № 1. С. 14–21. [Nekrasova L.A., Jain M., Gubenko N.S., Budko A.A., Samokhodskaya L.M., Orlova I.A., Kamalov A.A. Possibility of blood test parameters usage in the evaluation of COVID-19 patients’ inflammatory status. Klinicheskaya praktika = Journal of Clinical Practice, 2022, vol. 13, no. 1, pp. 14–21. (In Russ.)] doi: 10.17816/clinpract80111
- Сомова Л.М., Коцюрбий Е.А., Дробот Е.И., Ляпун И.Н., Щелканов М.Ю. Клинико-морфологические проявления дисфункции иммунной системы при новой коронавирусной инфекции COVID-19 // Клиническая и экспериментальная морфология. 2021. Т. 10, № 1. С. 11–20. [Somova L.M., Kotsyurbiy E.A., Drobot E.I., Lyapun I.N., Shchelkanov M.Yu. Clinical and morphological manifestations of immune system dysfunction in new coronavirus infection (COVID-19). Klinicheskaya i eksperimental’naya morfologiya = Clinical and Experimental Morphology, 2021, vol. 10, no. 1, pp. 11–20. (In Russ.)] doi: 10.31088/CEM2021.10.1.11-20
- Сурикова Н.А., Либис Р.А. Распространенность новой коронавирусной инфекции и ее осложнений у людей с сердечно-сосудистыми факторами риска // Альманах молодой науки. 2021. № 4(43). С. 7–9. [Surykova N.A., Libis R.A. Prevalence of the new coronavirus infection and its complications in people with cardiovascular risk factors. Al’manakh molodoi nauki = Almanac of Young Science, 2021, no. 4(43), pp. 7–9. (In Russ.)]
- Хрыщанович В.Я. Принципы ведения пациентов с венозной тромбоэмболией в период пандемии COVID-19 // Новости хирургии. 2020. Т. 28, № 3. С. 329–338. [Khryshchanovich V.Ya. Management principles of patients with venous thromboembolism during the COVID-19 pandemic. Novosti Khirurgii = Surgery News, 2020, vol. 28, no. 3, pp. 329–338. (In Russ.)] doi: 10.18484/2305-0047.2020.3.329
- Шестакова М.В., Мокрышева Н.Г., Дедов И.И. Сахарный диабет в условиях вирусной пандемии COVID-19: особенности течения и лечения // Сахарный диабет. 2020. Т. 23, № 2. С. 132–139. [Shestakova M.V., Mokrysheva N.G., Dedov I.I. Course and treatment of diabetes mellitus in the context of COVID-19. Sakharnyi diabet = Diabetes Mellitus, 2020, vol. 23, no. 2, pp. 132–139. (In Russ.)] doi: 10.14341/DM12418
- Arentz M., Yim E., Klaff L., Lokhandwala S., Riedo F.X., Chong M., Lee M. Characteristics and outcomes of 21 critically ill patients with COVID-19 in Washington State. JAMA, 2020, vol. 323, no. 16, pp. 1612–1614. doi: 10.1001/jama.2020.4326
- Busic N., Lucijanic T., Barsic B., Luksic I., Busic I., Kurdija G., Barbic L., Kunstek S., Jelic T., Lucijanic M. Vaccination provides protection from respiratory deterioration and death among hospitalized COVID-19 patients: differences between vector and mRNA vaccines. J. Med. Virol., 2022, vol. 94, no. 6, pp. 2849–2854. doi: 10.1002/jmv.27666
- Buttenschøn H.N., Lynggaard V., Sandbøl S.G., Glassou E.N., Haagerup A. Comparison of the clinical presentation across two waves of COVID-19: a retrospective cohort study. BMC Infect. Dis., 2022, vol. 22, no. 1: 423. doi: 10.1186/s12879-022-07413-3
- Fan B.E., Chong V.C.L., Chan S.S.W., Lim G.H., Lim K.G.E., Tan G.B., Mucheli S.S., Kuperan P., Ong K.H. Hematologic parameters in patients with COVID-19 infection. Am. J. Hematol., 2020, vol. 95, no. 6, pp. E131–E134. doi: 10.1002/ajh.25774
- Francis A.I., Ghany S., Gilkes T., Umakanthan S. Review of COVID-19 vaccine subtypes, efficacy and geographical distributions. Postgrad. Med. J., 2022, vol. 98, no. 1159, pp. 389–394. doi: 10.1136/postgradmedj-2021-140654 (25.09.2023)
- Giraudo C., Guarnieri G., Molena B., Caminati M., Stramare R., Vianello A. The lung-protective effect of prior mRNA vaccination on breakthrough COVID-19 patients receiving high flow nasal oxygen for hypoxemic acute respiratory failure. Pulmonology, 2023, vol. 29, no. 5, pp. 421–423. doi: 10.1016/j.pulmoe.2022.07.003
- Guan W.J., Ni Z.Y., Hu Y., Liang W.H., Ou C.Q., He J.X., Liu L., Shan H., Lei C.L., Hui D.S.C, Du B., Li L.J., Zeng G., Yuen K.Y., Chen R.C., Tang C.L., Wang T., Chen P.Y., Xiang J., Li S.Y., Wang J.L., Liang Z.J., Peng Y.X., Wei L., Liu Y., Hu Y.H., Peng P., Wang J.M., Liu J.Y., Chen Z., Li G., Zheng Z.J., Qiu S.Q., Luo J., Ye C.J., Zhu S.Y., Zhong N.S.; China Medical Treatment Expert Group for Covid-19. Clinical characteristics of coronavirus disease 2019 in China. N. Engl. J. Med., 2020, vol. 382, no. 18, pp. 1708–1720. doi: 10.1056/NEJMoa2002032
- Korber B., Fischer W.M., Gnanakaran S., Yoon H., Theiler J., Abfalterer W., Hengartner N., Giorgi E.E., Bhattacharya T., Foley B., Hastie K.M., Parker M.D., Partridge D.G., Evans C.M., Freeman T.M., de Silva T.I.; Sheffield COVID-19 Genomics Group; McDanal C., Perez L.G., Tang H., Moon-Walker A., Whelan S.P., LaBranche C.C., Saphire E.O., Montefiori D.C. Tracking changes in SARS-CoV-2 spike: evidence that D614G increases infectivity of the COVID-19 virus. Cell, 2020, vol. 182, no. 4, pp. 812–827.e19. doi: 10.1016/j.cell.2020.06.043
- Kurbonova Z.Ch., Babadzhanova Sh.A., Serdal Korkmaz, Muminov O.A., Khushbokova G.U. Blood measures in patients with COVID-19. Spectrum Journal of Innovation, Reforms and Development, 2023, vol. 13, pp. 118–123. URL: https://sjird.journalspark.org/index.php/sjird/article/view/588
- Lawton G. Your guide to the new vaccine. New Sci., 2020, vol. 248, no. 3312, pp. 8–10. doi: 10.1016/S0262-4079(20)32149-7
- Li T., Lu H., Zhang W. Clinical observation and management of COVID-19 patients. Emerg. Microbes. Infect., 2020, vol. 9, no. 1, pp. 687–690. doi: 10.1080/22221751.2020.1741327
- Li X., Xu Y., Li X., Liu W., Yao D., Chen W., Yu H., He L., Lu S., Jiang C., Zhu W., Meng L. Real-world effectiveness and protection of SARS-CoV-2 vaccine among patients hospitalized for COVID-19 in Xi’an, China, December 8, 2021, to January 20, 2022: a retrospective study. Front. Immunol., 2022, vol. 13: 978977. doi: 10.3389/fimmu.2022.978977
- Lippi G., Plebani M., Henry B.M. Thrombocytopenia is associated with severe coronavirus disease 2019 (COVID-19) infections: a meta-analysis. Clin. Chim. Acta., 2020, vol. 506, pp. 145–148. doi: 10.1016/j.cca.2020.03.022
- Logunov D.Y., Dolzhikova I.V., Shcheblyakov D.V., Tukhvatulin A.I., Zubkova O.V., Dzharullaeva A.S., Kovyrshina A.V., Lubenets N.L., Grousova D.M., Erokhova A.S., Botikov A.G., Izhaeva F.M., Popova O., Ozharovskaya T.A., Esmagambetov I.B., Favorskaya I.A., Zrelkin D.I., Voronina D.V., Shcherbinin D.N., Semikhin A.S., Simakova Y.V., Tokarskaya E.A., Egorova D.A., Shmarov M.M., Nikitenko N.A., Gushchin V.A., Smolyarchuk E.A., Zyryanov S.K., Borisevich S.V., Naroditsky B.S., Gintsburg A.L.; Gam-COVID-Vac Vaccine Trial Group. Safety and efficacy of an rAd26 and rAd5 vector-based heterologous prime-boost COVID-19 vaccine: an interim analysis of a randomised controlled phase 3 trial in Russia. Lancet, 2021, vol. 397, no. 10275, pp. 671–681. doi: 10.1016/s0140-6736(21)00234-8
- Lupia T., Corcione S., Shbaklo N., Boglione L., Torresan S., Pinna S.M., Rizzello B., Bosio R., Fornari V., Brusa M.T., Borrè S., De Rosa F.G. Real-life experience of Molnupiravir in hospitalized patients who developed SARS-CoV2-infection: preliminary results from CORACLE registry. Antibiotics (Basel)., 2022, vol. 11, no. 11: 1541. doi: 10.3390/antibiotics11111541
- Mahase E. Covid-19: Moderna applies for US and EU approval as vaccine trial reports 94.1% efficacy. BMJ, 2020, vol. 371: m4709. doi: 10.1136/bmj.m4709
- Nordström P., Ballin M., Nordström A. Risk of SARS-CoV-2 reinfection and COVID-19 hospitalisation in individuals with natural and hybrid immunity: a retrospective, total population cohort study in Sweden. Lancet Infect. Dis., 2022, vol. 22, no. 6, pp. 781–790. doi: 10.1016/S1473-3099(22)00143-8
- Pawlowski C., Lenehan P., Puranik A., Agarwal V., Venkatakrishnan A.J., Niesen M.J.M., O’Horo J.C., Virk A., Swift M.D., Badley A.D., Halamka J., Soundararajan V. FDA-authorized mRNA COVID-19 vaccines are effective per real-world evidence synthesized across a multi-state health system. Med, 2021, vol. 2, no. 8, pp. 979–992.e8. doi: 10.1016/j.medj.2021.06.007
- Rahman S., Rahman M.M., Miah M., Begum M.N., Sarmin M., Mahfuz M., Hossain M.E., Rahman M.Z., Chisti M.J., Ahmed T., Arifeen S.E., Rahman M. COVID-19 reinfections among naturally infected and vaccinated individuals. Sci. Rep., 2022, vol. 12, no. 1: 1438. doi: 10.1038/s41598-022-05325-5
- Suzuki K., Ichikawa T., Suzuki S., Tanino Y., Kakinoki Y. Clinical characteristics of the severe acute respiratory syndrome coronavirus 2 omicron variant compared with the delta variant: a retrospective case-control study of 318 outpatients from a single sight institute in Japan. Peer J., 2022, vol. 10: e13762. doi: 10.7717/peerj.13762
- Ticinesi A., Parise A., Cerundolo N., Nouvenne A., Prati B., Chiussi G., Guerra A., Meschi T. Multimorbidity and frailty are the key characteristics of patients hospitalized with COVID-19 breakthrough infection during Delta variant predominance in Italy: a retrospective study. J. Clin. Med., 2022, vol. 11, no. 18: 5442. doi: 10.3390/jcm11185442
- Voysey M., Clemens S.A.C., Madhi S.A., Weckx L.Y., Folegatti P.M., Aley P.K., Angus B., Baillie V.L., Barnabas S.L., Bhorat Q.E., Bibi S., Briner C., Cicconi P., Collins A.M., Colin-Jones R., Cutland C.L., Darton T.C., Dheda K., Duncan C.J.A, Emary K.R.W., Ewer K.J., Fairlie L., Faust S.N., Feng S., Ferreira D.M., Finn A., Goodman A.L., Green C.M., Green C.A., Heath P.T., Hill C., Hill H., Hirsch I., Hodgson S.H.C., Izu A., Jackson S., Jenkin D., Joe C.C.D., Kerridge S., Koen A., Kwatra G., Lazarus R., Lawrie A.M., Lelliott A., Libri V., Lillie P.J., Mallory R., Mendes A.V.A., Milan E.P., Minassian A.M., McGregor A., Morrison H., Mujadidi Y.F., Nana A., O’Reilly P.J., Padayachee S.D., Pittella A., Plested E., Pollock K.M., Ramasamy M.N., Rhead S., Schwarzbold A.V., Singh N., Smith A., Song R., Snape M.D., Sprinz E., Sutherland R.K., Tarrant R., Thomson E.C., Török M.E., Toshner M., Turner D.P.J., Vekemans J., Villafana T.L., Watson M.E.E., Williams C.J., Douglas A.D., Hill A.V.S., Lambe T., Gilbert S.C., Pollard A.J.; Oxford COVID Vaccine Trial Group. Safety and efficacy of the ChAdOx1 nCoV-19 vaccine (AZD1222) against SARS-CoV-2: an interim analysis of four randomised controlled trials in Brazil, South Africa, and the UK. Lancet, 2021, vol. 397, no. 10269, pp. 99–111. doi: 10.1016/S0140-6736(20)32661-1
- Wang D., Hu B., Hu C., Zhu F., Liu X., Zhang J., Wang B., Xiang H., Cheng Z., Xiong Y., Zhao Y., Li Y., Wang X., Peng Z. Clinical characteristics of 138 hospitalized patients with 2019 novel coronavirus-infected pneumonia in Wuhan, China. JAMA, 2020, vol. 323, no. 11: 1113. doi: 10.1001/jama.2020.1585
- WHO. Status of COVID-19 vaccines within WHO EUL/PQ evaluation process. URL: https://extranet.who.int/prequal/sites/default/files/document_files/Status_COVID_VAX_08AUgust2023.pdf (25.09.2023)
- Yang X., Yu Y., J. Xu, Shu H., Xia J., Liu H., Wu Y., Zhang L., Yu Z., Fang M., Yu T., Wang Y., Pan S., Zou X., Yuan S., Shang Y. Clinical course and outcomes of critically ill patients with SARS-CoV-2 pneumonia in Wuhan, China: a single-centered, retrospective, observational study. Lancet Respir. Med., 2020, vol. 8, no. 5, pp. 475–481. doi: 10.1016/S2213-2600(20)30079-5
- Xie G., Ding F., Han L., Yin D., Lu H., Zhang M. The role of peripheral blood eosinophil counts in COVID-19 patients. Allergy, 2021, vol. 76, no. 2, pp. 471–482. doi: 10.1111/all.14465
- Xu S., Huang R., Sy L.S., Glenn S.C., Ryan D.S., Morrissette K., Shay D.K., Vazquez-Benitez G., Glanz J.M., Klein N.P., McClure D., Liles E.G., Weintraub E.S., Tseng H.F., Qian L. COVID-19 vaccination and non-COVID-19 mortality risk — seven integrated health care organizations, United States, December 14, 2020 — July 31, 2021. MMWR Morb. Mortal. Wkly Rep., 2021, vol. 70, no. 43, pp. 1520–1524. doi: 10.15585/mmwr.mm7043e2
- Young B.E., Sean-Wei X.O., Kalimuddin S., Low J.G., Tan S.Y., Loh J., Ng O.-T., Marimuthu K., Ang L.W., Mak T.M., Lau S.K., Anderson D.E., Chan K.S., Tan T.Y., Ng T.Y., Cui L., Zubaidah S., Kurupatham L., Chen M.I.-C., Chan M., Vasoo S., Wang L.F., Tan B.H., Tzer R. Lin P., Jian V., Lee M., Leo Y.-S., Lye D.C. Epidemiologic features and clinical course of patients infected with SARS-CoV-2 in Singapore. JAMA, 2020, vol. 323, no. 15, pp. 1488–1494. doi: 10.1001/jama.2020.3204
- Zawbaa H.M., Osama H., El-Gendy A., Saeed H., Harb H.S., Madney Y.M., Abdelrahman M., Mohsen M., Ali A.M.A., Nicola M., Elgendy M.O., Ibrahim I.A., Abdelrahim M.E.A. Effect of mutation and vaccination on spread, severity, and mortality of COVID-19 disease. J. Med. Virol., 2022, vol. 94, no. 1, pp. 197–204. doi: 10.1002/jmv.27293
- Zhou F., Yu T., Du R., Fan G., Liu Y., Liu Zh., Xiang J., Wang Y., Song B., Gu X., Guan L., Wei Y., Li H., Wu X., Xu J., Tu Sh., Zhang Y., Chen H., Cao B. Clinical course and risk factors for mortality of adult in patients with COVID-19 in Wuhan, China: a retrospective cohort study. Lancet, 2020, vol. 395, pp. 1054–1062. doi: 10.1016/S0140-6736(20)30566-3
- Zhou Y., Nishikawa M., Kanno H., Yang R., Ibayashi Y., Xiao T.H., Peterson W., Herbig M., Nitta N., Miyata S., Kanthi Y., Rohde G.K., Moriya K., Yatomi Y., Goda K. Long-term effects of Pfizer-BioNTech COVID-19 vaccinations on platelets. Cytometry A, 2023, vol. 103, no. 2, pp. 162–167. doi: 10.1002/cyto.a.24677
- Zinellu E., Zinellu A., Merella M., Mangoni A.A., Pau M.C., Fois S.S., Fois A.G., Carru C., Pirina P. Vaccination status and number of vaccine doses are independently associated with the PaO2/FiO2 ratio on admission in hospitalized COVID-19 patients. Vaccines (Basel), 2022, vol. 10, no. 9: 1424. doi: 10.3390/vaccines10091424
Supplementary files








