Assessment of trec and krec levels in COVID-19 patients with varying disease severity
- Authors: Saitgalina M.A.1, Ostankova Y.V.1, Arsentieva N.A.1, Korobova Z.R.1, Liubimova N.E.1, Kashchenko V.A.2,3, Kulikov A.N.4, Pevtsov D.E.4, Stanevich O.V.4,5, Chernykh E.I.2, Totolian A.A.1,4
-
Affiliations:
- St. Petersburg Pasteur Institute
- North-Western District Scientific and Clinical Center named after L.G. Sokolov Federal Medical and Biological Agency
- St. Petersburg State University
- I.P. Pavlov First St. Petersburg State Medical University of the Ministry of Healthcare of Russian Federation
- Smorodintsev Research Institute of Influenza
- Issue: Vol 13, No 5 (2023)
- Pages: 873-884
- Section: ORIGINAL ARTICLES
- Submitted: 05.10.2023
- Accepted: 05.10.2023
- Published: 30.11.2023
- URL: https://iimmun.ru/iimm/article/view/16937
- DOI: https://doi.org/10.15789/2220-7619-AOT-16937
- ID: 16937
Cite item
Full Text
Abstract
According to the WHO data, the number of infected people exceeded 765.2 million people during the COVID-19 pandemic. The severity of patient’s condition is determined by immune system hyperactivation. Activation of T- and B-lymphocyte subsets plays a prominent role in the control of infectious process. A content of small circular DNA molecules — T-cell receptor excision circles (TREC — T-cell receptor excision circles) and B-cell (“kappa”) excision rings (KREC — Kappa-deleting recombination excision circles) — in the peripheral blood can be used as a marker of the functionally active T and B cells maturation. The purpose of this work is to quantify peripheral blood TREC and KREC level in patients with the new coronavirus infection COVID-19 of varying severity. Materials and methods. The material consisted of 1028 blood samples from patients with a confirmed diagnosis of COVID-19, as well as 717 blood samples from apparently healthy volunteers. The content of TREC and KREC DNA fragments in the total DNA fraction was assessed by quantitative Real-time PCR using the “TREC/KREC-AMP PS” test system (St. Petersburg Pasteur Institute, Russia). Blood cell phenotyping was carried out using flow cytometry. Results. TREC/KREC levels were significantly reduced in COVID-19 patients (p < 0.0001 at 95% CI). A significant direct correlation was established between the levels of peripheral blood TREC molecules and level of CD45+CD3+CD19– T cells (r = 0.59, p < 0.0001), as well as between KREC level and count of CD45+CD3–CD19+ B cells (r = 0.66, p < 0.0001). The level of TREC molecules in patients with severe vs. moderate infection was significantly reduced in patients aged 30–39 years old (p = 0.0404) and 40–49 years old (p = 0.0356). The negative correlation between severity of COVID-19 clinical manifestations and TREC level in the blood of patients in 30–49 year age group indicates about an opportunity of using this analyte as a diagnostic and prognostic laboratory marker of patient’s condition. A simple PCR analysis algorithm makes it relevant to use the described method for assessing a state of immunity in coronavirus patients in the context of systemic negative impact of the SARS-CoV-2 virus on human organism.
Keywords
Full Text
Введение
Накопленные на сегодняшний день знания о воздействии новой коронавирусной инфекции COVID-19 на организм человека, позволяют рассматривать эту инфекцию как системное заболевание, затрагивающее не только дыхательную, но и сердечно-сосудистую, желудочно-кишечную, кроветворную и иммунную системы. По данным Всемирной организации здравоохранения за период пандемии COVID-19 с марта 2020 г. по май 2023 г. количество зараженных превысило 765,2 млн человек, количество умерших вследствие инфекции — 6,9 млн человек [29].
Клиническая картина больных, инфицированных COVID-19, варьирует от бессимптомных форм до тяжелого течения. Общие особенности инфекционного процесса включают такие симптомы как лихорадка, кашель, одышка, нарушения в работе желудочно-кишечного тракта, кожные проявления [9, 12, 16]. За стадией репликации вируса SARS-CoV-2 в течение нескольких дней с относительно легкими симптомами следует стадия активации адаптивного иммунного ответа, которая может вызвать внезапное клиническое ухудшение [32]. Тяжелое состояние связывают с проникновением вируса в альвеолярные эпителиальные клетки типа II, что вызывает высвобождение провоспалительных молекул. Активный синтез цитокинов привлекает нейтрофилы и Т-клетки, которые, в свою очередь, вызывают значительное повреждение и воспаление легочных тканей, что, в конечном итоге, может приводить к острому респираторному дистресс-синдрому, сопровождаться развитием шока, энцефалопатией, поражением миокарда, сердечной недостаточностью, дисфункцией системы гемостаза, острой почечной недостаточностью [14, 24, 34, 35].
Главными факторами риска неблагоприятного исхода заболевания являются возраст, сахарный диабет, хронические легочные и сердечно-сосудистые заболевания, гипертония. По литературным данным тяжелые интерстициальные пневмонии, полиорганную и острую дыхательную недостаточность, летальные исходы вирус с большей вероятностью вызывает у лиц пожилого возраста [20, 24, 33, 35].
Ряд опубликованных исследований свидетельствует о том, что тяжесть состояния пациентов определяется гиперактивацией иммунной системы, и, как следствие, высоким уровнем цитокинов, тромбозами, множественными мононуклеарными клеточными инфильтрациями органов, тяжелыми лимфопениями [1, 2, 8, 15, 18, 19, 22, 23, 26]. В исследовании, проведенном Guan W.J. с соавт., среди 1099 госпитализированных пациентов с COVID-19 в 83% случаев наблюдались лимфопении, в 36% — тромбоцитопении, в 34% — лейкопении [11].
Поскольку значимую роль в контроле инфекционного процесса играет активация субпопуляций T- и B-лимфоцитов, более легкое течение заболевания ассоциировано с адекватным функционированием CD4+ и CD8+ T-лимфоцитов, а также В-клеточного звена иммунного ответа. Одним из маркеров созревания функционально активных Т- и В-клеток может служить содержание в периферической крови небольших кольцевых молекул ДНК — Т-клеточных эксцизионных колец (TREC — T-cell receptor excision circles) и B-клеточных («каппа») эксцизионных колец (KREC — Kappa-deleting recombination excision circles) соответственно. Молекулы TREC и KREC образуются в процессе формирования активного рецепторного гена, с которого в дальнейшем будет осуществляться синтез уникальной пептидной последовательности антиген-распознающих T- и B-клеточных рецепторов. Для формирования такого гена в каждом лимфоците при созревании на стадии антиген-независимой дифференцировки Т-клеток в тимусе и В-клеток в костном мозге должен произойти ряд сложных генетических перестроек и рекомбинаций. Механизм перестройки повторяющихся сегментов пула рецепторных генов носит название V(D)J-реаранжировка. В ходе таких поэтапных генетических реаранжировок небольшие последовательности ДНК вырезаются из генома как побочных продукт, замыкаются в кольца (TREC и KREC) и в дальнейшем существуют в виде кольцевой эписомальной ДНК в лимфоцитах, покидающих центральные лимфоидные органы. ДНК-кольца TREC и KREC не реплицируются с последующими делениями клеток и, как сказано выше, могут служить маркерами образования потенциально активных Т- и В-лимфоцитов [26, 27, 28].
Учитывая вышесказанное, уровень молекул TREC и KREC в периферической крови можно рассматривать как одну из характеристик иммунного статуса пациента. Поскольку низкие уровни или отсутствие этих молекул в кровотоке свидетельствует о невозможности развития адекватных защитных реакций организма, опосредованных Т- и В-клетками, в ответ на инфекцию, количественное определение этих молекул может дать ценную диагностическую и прогностическую информацию о возможности развития осложнений и критических состояний у пациента.
Цель настоящей работы: дать количественную оценку содержания молекул TREC и KREC в периферической крови больных с новой коронавирусной инфекцией COVID-19 с разной тяжестью течения инфекционного процесса.
Материалы и методы
В ходе работы было проанализировано 1028 образцов венозной крови, полученной от пациентов инфекционных отделений стационаров Клинической больницы № 122 им. Л.Г. Соколова и Университетской клиники Первого Санкт-Петербургского государственного медицинского университета им. акад. И.П. Павлова с подтвержденным диагнозом COVID-19. Образцы крови были получены от больных, инфицированных в период с мая 2021 г. по март 2022 г. В работу брали образцы крови пациентов, состояние которых характеризовалось как среднетяжелое (n = 747), тяжелое (n = 204) или крайне тяжелое (n = 77), где n — количество человек в группе (табл. 1).
Таблица 1. Группы пациентов, сформированные по возрасту и степени тяжести течения заболевания
Table 1. Patient groups formed by age and severity of the disease
Степень тяжести Severity | Число пациентов в возрастных группах, абс. (%) Number of patients in age groups, abs. (%) | |||||
18–29 лет 18–29 years old | 30–39 лет 30–39 years old | 40–49 лет 40–49 years old | 50–59 лет 50–59 years old | 60–69 лет 60–69 years old | > 70 лет > 70 years old | |
Средней тяжести Moderate | 27 (96,4) | 98 (88,3) | 123 (75,9) | 149 (76,4) | 159 (65,2) | 191 (66,3) |
Тяжелые Severe | 1 (3,6) | 12 (10,8) | 33 (20,4) | 34 (17,4) | 69 (28,3) | 55 (19,1) |
Крайне тяжелые Critical | 0 | 1 (0,9) | 6 (3,7) | 12 (6,2) | 16 (6,5) | 42 (14,6) |
Всего Total | 28 | 111 | 162 | 195 | 244 | 288 |
Общее число пациентов: 1028 Total number of patients: 1028 | ||||||
В качестве контрольных в работе использовали образцы цельной крови, полученные от 717 условно здоровых добровольцев в возрасте от 18 до 108 лет в медицинском центре ФБУН «Санкт-Петербургский НИИ эпидемиологии и микробиологии имени Пастера» в рамках программы оценки популяционного иммунитета жителей Санкт-Петербурга.
Критерием исключения из исследования являлось наличие у обследуемых иммунодефицита любого генеза, ВИЧ-инфекции, вирусного гепатита.
Взятие крови осуществляли в пробирку с антикоагулянтом ЭДТА. В день взятия образцы транспортировали в лабораторию молекулярной иммунологии НИИ эпидемиологии и микробиологии имени Пастера с соблюдением температурного режима +4...+8°С. Сразу после транспортировки осуществляли экстракцию тотальной ДНК из 250 мкл лейкоцитарной фракции крови с использованием коммерческого набора «РИБО-преп» (ЦНИИ эпидемиологии, Россия). После чего для всех образцов ДНК проводили мультиплексную Real-time ПЦР с одновременной амплификацией двух целевых фрагментов ДНК TREC, KREC, и фрагментов двух нормировочных генов HPRT и RPP30. Количественную оценку содержания молекул TREC и KREC проводили с помощью метода построения стандартных кривых с использованием тест-системы «TREC/KREC-AMP PS» (ФБУН НИИ Пастера, Россия) [5]. При анализе результатов учитывали все возможные ошибки на этапе подготовки образца тотальной ДНК, выделенной из клеток крови [6, 7].
Для фенотипирования клеток периферической крови больных, инфицированных COVID-19, использовали метод многоцветной проточной цитометрии. Для выявления популяции Т- и В-лимфоцитов 200 мкл образцов цельной крови окрашивали моноклональными антителами (МКА), меченными флюорохромами CD45RA-FITC (Beckman Coulter, США), CD3-APC-AF750 (Beckman Coulter, США) и CD19-APC/Cy7 (BioLegend, США) соответственно, согласно инструкциям производителей. Образцы крови инкубировали с МКА при комнатной температуре в темноте в течение 10 мин, после чего лизировали эритроциты в течение 15 мин в присутствии 2 мл лизирующего раствора «VersaLyse» (Beckman Coulter, США) и 50 мкл фиксирующего раствора «IOTest 3» (Beckman Coulter, США). Затем клетки дважды промывали (7 мин, 330 г) стерильным фосфатно-солевым буфером (PBS), содержащим 2% фетальную бычью сыворотку (Sigma-Aldrich, США), инактивированную нагреванием. После чего клетки ресуспендировали в 0,5 мл PBS, содержащем 2% нейтральный забуференный раствор формалина (Sigma-Aldrich, США). Для проведения исследования использовался проточный цитометр «Navios» (Beckman Coulter, США), оснащенный лазерами с длиной волны 405, 488, 638 нм. Для определения Т-лимфоцитов собирали не менее 20 000 событий. Для В-клеточного звена из каждого образца было собрано не менее 5000 CD19+ В-клеток.
Фенотипирование лимфоцитов было проведено для образцов крови, полученных от тяжелых и крайне тяжелых больных, наблюдавшихся в инфекционном отделении Университетской клиники Первого Санкт-Петербургского государственного медицинского университета им. акад. И.П. Павлова.
Статистическую обработку данных проводили с помощью программного обеспечения GraphPad Prizm 5 и Microsoft Exсel 2010. Нормальность распределения полученных числовых данных проверяли с помощью двух критериев: Колмогорова–Смирнова и Шапиро–Уилка. Корреляционный анализ проводили с расчетом коэффициента Спирмена, значение которого оценивали по шкале Чеддока. Для сравнения независимых выборок применяли критерии Манна–Уитни, Краскела–Уоллиса, тест Данна, а также ROC-анализ с вычислением значения площади под ROC-кривой (AUC — Area Under the Curve).
Результаты и обсуждение
Ранее была установлена отрицательная корреляционная зависимость уровня молекул TREC в периферической крови с возрастом у условно здоровых людей старше 18 лет. В контрольной выборке было выделено шесть возрастных групп людей с интервалом в десять лет, для которых показаны достоверные различия в количественном содержании молекул TREC: 18–29 лет, 30–39 лет, 40–49 лет, 50–59 лет, 60–69 лет и лица старше 70 лет. Было показано отсутствие корреляционной зависимости молекул KREC c возрастом и установлены границы референсных интервалов для уровней TREC и KREC [3].
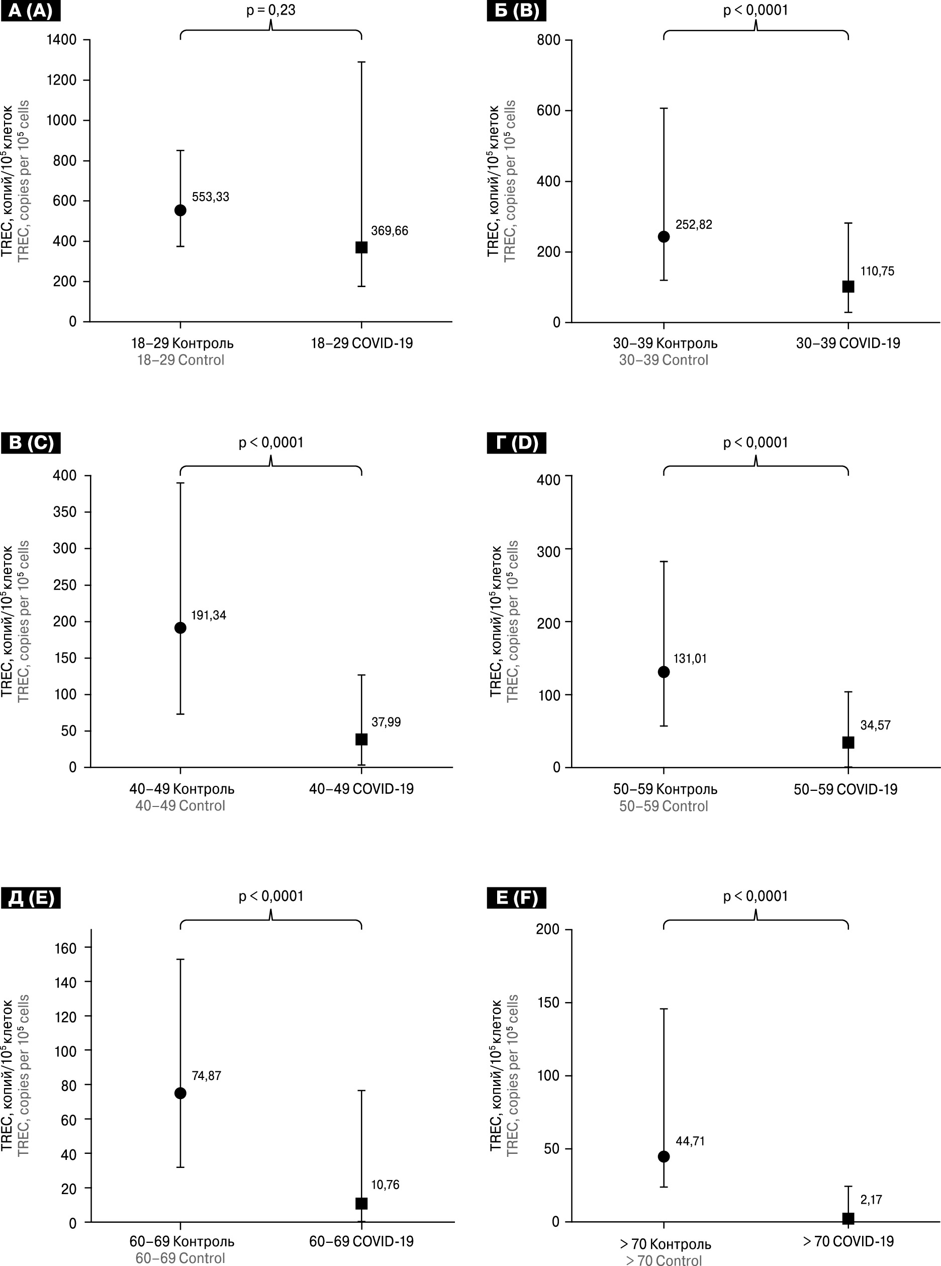
Для всех возрастных групп кроме самой младшей (18–29 лет) уровень молекул TREC у больных COVID-19 был достоверно снижен согласно U-критерию Манна–Уитни (p < 0,0001 при 95% ДИ). Уровень молекул KREC у больных также был достоверно снижен (p < 0,0001 при 95% ДИ).
На рис. 1 и 2 показаны диаграммы сравнения медианных значений параметров TREC и KREC в образцах, полученных от больных с новой коронавирусной инфекцией, и в контрольных образцах. В табл. 2 указаны значения медиан уровней TREC для всех описываемых выборок.
Рисунок 1. Сравнение уровней молекул TREC у больных COVID-19 и контрольных групп Примечание. А) 18–29 лет; Б) 30–39 лет; В) 40–49 лет; Г) 50–59 лет; Д) 60–69 лет; Е) > 70 лет. На диаграммах указаны медианные значения с интерквартильным размахом.
Figure 1. Comparison of TREC levels in COVID-19 patients and control groups
Примечание. А) 18–29 лет; Б) 30–39 лет; В) 40–49 лет; Г) 50–59 лет; Д) 60–69 лет; Е) > 70 лет. На диаграммах указаны медианные значения с интерквартильным размахом.
Note. A) 18–29 years old; B) 30–39 years old; C) 40–49 years old; D) 50–59 years old; E) 60–69 years old; F) > 70 years old. The graphs show median values with interquartile range.
Рисунок 2. Сравнение уровней молекул KREC у больных COVID-19 и контрольной группы
Figure 2. Comparison of KREC levels in COVID-19 patients and controls
Примечание. На диаграмме представлены медианные значения с интерквартильным размахом. Числами обозначены значения медиан, нижнего (Q25) и верхнего квартилей (Q75).
Note. The graph shows median values with interquartile range. The numbers indicate the values of medians, lower (Q25) and upper quartiles (Q75).
Таблица 2. Значения медиан уровней TREC
Table 2. Median TREC levels
Группы сравнения Comparison groups | Количество добровольцев (n) Number of volunteers (n) | TREC Медиана (Q25; Q75) TREC Median (Q25; Q75) | P-value, полученные при сравнении групп с применением критерия Манна–Уитни P-values obtained compared by using the Mann–Whitney U-test | |
18–29 лет 18–29 years old | Контроль Control | 120 | 553,3 (372,0; 854,5) | 0,2283 |
COVID-19 | 28 | 369,7 (173,0; 1293,0) | ||
30–39 лет 30–39 years old | Контроль Control | 118 | 248,9 (113,5; 595,0) | < 0,0001 |
COVID-19 | 111 | 110,8 (27,9; 283,8) | ||
40–49 лет 40–49 years old | Контроль Control | 132 | 191,3 (72,1; 391,4) | < 0,0001 |
COVID-19 | 162 | 38,0 (2,4; 127,5) | ||
50–59 лет 50–59 years old | Контроль Control | 135 | 131,1 (56,3; 283,2) | < 0,0001 |
COVID-19 | 195 | 34,6 (0,3; 104,8) | ||
60–69 лет 60–69 years old | Контроль Control | 111 | 74,9 (31,5; 153,2) | < 0,0001 |
COVID-19 | 244 | 10,8 (0,0; 76,8) | ||
> 70 лет over 70 years old | Контроль Control | 101 | 44,7 (23,4; 146,3) | < 0,0001 |
Установлена достоверная прямая корреляционная зависимость уровней молекул TREC с количеством CD45+CD3+CD19– Т-клеток (коэффициент корреляции Спирмена r = 0,59, p < 0,0001), а также уровней молекул KREC c количеством СD45+CD3–CD19+ В-клеток в периферической крови (r = 0,66, p < 0,0001). На рис. 3 и 4 представлен корреляционный анализ уровней эксцизионных колец и лимфоцитов соответствующего фенотипа.
Рисунок 3. Корреляция уровней молекул TREC c уровнем CD45+CD3+C19- лимфоцитов в крови тяжелых и крайне тяжелых больных COVID-19
Figure 3. A correlation between peripheral blood TREC and CD45+CD3+CD19– lymphocyte levels in severe and critical COVID-19 patients
Примечание. На диаграмме представлено уравнение аппроксимирующей функции, коэффициент достоверности аппроксимации (R2), корреляционный коэффициент Спирмена (r) и критерий уровня значимости p-value.
Note. The diagram shows the equation for approximating function, approximation reliability coefficient (R2), Spearman correlation coefficient (r) and p-value criterion.
Рисунок 4. Корреляция уровней молекул KREC c уровнем СD45+CD3–CD19+ лимфоцитов в крови тяжелых и крайне тяжелых больных COVID-19
Figure 4. A correlation between KREC and СD45+CD3–CD19+ lymphocytes levels in the blood of severe and critical COVID-19 patients
Примечание. На диаграмме представлено уравнение аппроксимирующей функции, коэффициент достоверности аппроксимации (R2), корреляционный коэффициент Спирмена (r) и критерий уровня значимости p-value.
Note. The diagram shows the equation of approximating function, approximation reliability coefficient (R2), Spearman correlation coefficient (r) and p-value criterion
Корреляционные коэффициенты r, указанные на рис. 3 и 4, превышающие значение 0,5, свидетельствуют об умеренной положительной связи сравниваемых параметров.
Самой многочисленной из выделенных групп пациентов являлась группа с возрастом больных старше 70 лет. Из табл. 1 видно, что чем выше возраст пациентов, тем больше наблюдалось тяжелых и крайне тяжелых случаев течения инфекции. Так в возрастной группе > 70 лет 14,6% всех пациентов характеризовались крайне тяжелым состоянием. В то время как в группе 18–29 лет крайне тяжелых случаев не наблюдалось совсем.
Среди пациентов старше 70 лет в тяжелом состоянии в 69,1% случаев уровни молекул TREС/KREC были снижены относительно возрастной нормы. В 16,4% случаев у таких пациентов были одновременно снижены TREC и KREC. В группе крайне тяжелых больных старше 70 лет уровни TREС/KREC находились ниже возрастной нормы у 71,4% пациентов, одновременно сниженные уровни TREC и KREC были установлены у 21,4% больных (рис. 5).
Рисунок 5. Распределение уровней молекул TREC и KREC у пациентов старше 70 лет с инфекцией COVID-19
Figure 5. Distribution of TREC and KREC levels in COVID-19 patients over 70 years of age
Примечание. А) в тяжелом состоянии; Б) в крайне тяжелом состоянии. Пунктирные линии отделяют значения, находящиеся ниже установленных норм TREC/KREC.
Note. A) severe condition; B) critical condition. Dashed lines separate values below the established TREC/KREC norms.
Значения корреляционных коэффициентов Спирмена позволяют утверждать, что пол пациента не влияет ни на степень тяжести болезни (r = –0,066), ни на уровни молекул TREC (r = –0,083) и KREC (r = 0,026) в периферической крови.
Присутствует достоверная слабая отрицательная корреляционная зависимость между тяжестью течения заболевания и уровнями молекул TREC в образцах крови пациентов (r = –0,153; p = 0,000002). Однако модуль коэффициента корреляции принимает значение близкое к 0,1, что позволяет говорить лишь об очень слабой взаимосвязи. При этом достоверной зависимости значений аналита KREC от тяжести течения инфекции не выявлено.
На рис. 6, 7 и 8 изображены доли пациентов с уровнями молекул TREC, KREC и одновременно TREC и KREC соответственно, ниже нормы у групп больных с разной степенью тяжести инфекционного процесса. На рис. 9 отображены доли пациентов разных по тяжести инфекции COVID-19, у которых хотя бы один целевой аналит был снижен.
Рисунок 6. Доли пациентов с разной степенью тяжести течения инфекционного процесса COVID-19 со сниженными уровнями TREC
Figure 6. Proportion of patients with varying COVID-19 severity and reduced TREC levels
Рисунок 7. Доли пациентов с разной степенью тяжести течения инфекционного процесса COVID-19 со сниженными уровнями KREC
Figure 7. Proportion of patients with varying COVID-19 severity and reduced KREC levels
Рисунок 8. Доли пациентов с разной степенью тяжести течения инфекционного процесса COVID-19 с сочетанным снижением уровней TREC и KREC
Figure 8. Proportion of patients with varying COVID-19 severity and combined TREC/KREC decreased levels
Рисунок 9. Доли пациентов с разной степенью тяжести течения инфекционного процесса COVID-19, у которых снижен хотя бы один целевой аналит
Figure 9. The proportion of patients with varying COVID-19 severity and decreased at least one target analyte
Сравнение медиан числовых значений параметров TREC и KREC в пределах каждой возрастной группы между выборками пациентов разных по степени тяжести течения инфекционного процесса с применением критерия Краскела–Уоллиса и теста Данна позволило установить, что уровень молекул TREC в группе пациентов 30–39 лет у больных с тяжелым течением инфекционного процесса достоверно ниже по сравнению с больными средней тяжести (p = 0,0404). Аналогично для возрастной группы 40–49 лет: уровень TREC у больных с тяжелым течением болезни достоверно ниже по сравнению с пациентами средней тяжести (p = 0,0356). Однако в возрастных группах 50–59 лет, 60–69 лет и более 70 лет достоверных различий в значениях TREC между пациентами с разной степенью тяжести инфекционного процесса не выявлено.
На рис. 10 приведены ROC-кривые, полученные при сравнении значений TREC между выборками среднетяжелых и тяжелых больных внутри возрастных групп 30–39 лет (AUC = 0,69), 40–49 лет (AUC = 0,63), 50–59 лет (AUC = 0,54).
Рисунок 10. ROC-кривые, полученные при сравнении значений TREC между выборками пациентов со среднетяжелым и тяжелым состоянием
Figure 10. ROC curves obtained by comparing TREC levels between patients with moderate and severe condition
Примечание. А) возрастной группы 30–39 лет; Б) возрастной группы 40–49 лет; В) возрастной группы 50–59 лет (достоверных различий нет).
Note. A) 30–39-year-old age group; B) 40–49-year-old age group; C) 50–59-year-old age group (no significant differences).
При сравнении выборок среднетяжелых и тяжелых пациентов 30–39 лет площадь под ROC-кривой равнялась 0,69. Пороговое значение TREC в точке cut-off составило 22,07 копий/105 клеток. Развитие критических состояний прогнозировалось при значении TREC ниже данной величины или равной ей. Чувствительность и специфичность модели составили 81,63 и 45,45% соответственно.
При сравнении среднетяжелых и тяжелых пациентов 40–49 лет площадь под ROC-кривой равнялась 0,63. Пороговое значение TREC в точке cut-off — 17,67 копий/105 клеток. Чувствительность и специфичность модели — 65,85 и 57,69% соответственно.
Полученные результаты соотносятся с литературными данными о снижении абсолютного числа лимфоцитов в подавляющем большинстве случаев в крови больных с тяжелыми формами COVID-19 [4, 11, 24, 26]. В некоторых проведенных ранее исследованиях сообщается, что рецептор АПФ-2 экспрессируется в том числе на мембранах гемопоэтических стволовых клеток и на небольшой доле лимфоцитов (< 5,0%) [31]. Нарушения лимфопоэза могут быть связаны с прямым поражением вирусом SARS-CoV-2 клеток-предшественников лимфоцитов в костном мозге или тимусе до инициации процессов антиген-независимой дифференцировки и формирования молекул TREC/KREC, что приводит к детекции их сниженных уровней. Кроме того, описаны АПФ-независимые пути негативного воздействия вируса SARS-CoV-2 на лимфоцитарные функции. Например, повышенная экспрессия хемокинов CXCL10/IP-10 и CCL2/MCP-1, зафиксированная в мононуклеарах периферической крови больных, способна подавлять развитие гемопоэтических клеток-предшественников [17, 25, 31]. Описано подавление лимфопоэза посредством прямого воздействия молекул IL-6 на гемопоэтические стволовые клетки/клетки-предшественники, установлена прямая зависимость между количеством IL-6 и тяжестью заболевания [9, 13, 17, 30].
Выявленная нами отрицательная корреляционная зависимость между тяжестью клинических проявлений инфекции COVID-19 и уровнем молекул TREC в крови пациентов в возрастном диапазоне 30–49 лет говорит о возможности применения данного параметра как диагностического и прогностического лабораторного показателя состояния пациента. Однако применение такого лабораторного теста может быть ограничено возрастными особенностями. Как известно, с увеличением возраста человека функция тимуса истощается, обновление Т-лимфоцитов замедляется, следовательно, количество циркулирующих молекул TREC в крови становится значительно меньше. По-видимому, естественное угасание работы тимуса усугубляется действием инфекционных процессов. В таких случаях не всегда есть возможность установить разницу в содержании молекул TREC у здоровых людей и инфицированных больных.
Что касается В-клеток, по некоторым данным содержание В-лимфоцитов в крови у пациентов с тяжелой формой COVID-19 является сниженным по сравнению с легкой или умеренной формой. Однако в других работах значимых различий в количествах В-клеток крови между формами проявления заболевания не установлено [17, 21].
Заключение и выводы
Количественный ПЦР-анализ молекул TREC и KREC в крови больных с новой коронавирусной инфекцией COVID-19 позволяет дать оценку функциональной активности T- и В-клеточного звена иммунитета, и, как следствие, своевременно выявлять пациентов, нуждающихся в особом внимании, и применять превентивные меры, способствующие снижению числа летальных исходов. Несложный алгоритм ПЦР-анализа делает актуальным применение описанного способа оценки состояния иммунитета коронавирусных больных в условиях стремительного распространения вируса SARS-CoV-2, его системного негативного влияния на организм и тяжестью возможных осложнений у пациентов.
About the authors
M. A. Saitgalina
St. Petersburg Pasteur Institute
Email: Sajgalinam@mail.ru
ORCID iD: 0000-0002-7603-3269
Junior Researcher, Laboratory of Molecular Immunology
Россия, St. PetersburgYulia V. Ostankova
St. Petersburg Pasteur Institute
Email: shenna1@yandex.ru
ORCID iD: 0000-0003-2270-8897
PhD (Biology), Head of the Laboratory of HIV Immunology and Virology; Senior Researcher, Laboratory of Molecular Immunology
Россия, St. PetersburgNatalia A. Arsentieva
St. Petersburg Pasteur Institute
Email: arsentieva_n.a@bk.ru
ORCID iD: 0000-0003-2490-308X
PhD (Biology), Senior Researcher, Laboratory of Molecular Immunology
Россия, St. PetersburgZoya R. Korobova
St. Petersburg Pasteur Institute
Email: zoia-korobova@yandex.ru
ORCID iD: 0000-0003-0535-5014
Junior Researcher, Laboratory of Molecular Immunology
Россия, St. PetersburgNatalia E. Liubimova
St. Petersburg Pasteur Institute
Email: natelu@mail.ru
ORCID iD: 0009-0003-7092-6773
PhD (Biology), Researcher, Laboratory of Molecular Immunology
Россия, St. PetersburgVictor A. Kashchenko
North-Western District Scientific and Clinical Center named after L.G. Sokolov Federal Medical and Biological Agency; St. Petersburg State University
Email: surg122@yandex.ru
ORCID iD: 0000-0001-8822-9165
DSc (Medicine), Professor, Deputy-Director for Scientific and Educational Work; Head of the Department of Faculty Surgery
Россия, St. Petersburg; St. PetersburgAlexandr N. Kulikov
I.P. Pavlov First St. Petersburg State Medical University of the Ministry of Healthcare of Russian Federation
Email: ankulikov2005@yandex.ru
DSc (Medicine), Professor, Head of the Department of Propaedeutics of Internal Diseases
Россия, St. PetersburgDmitry E. Pevtsov
I.P. Pavlov First St. Petersburg State Medical University of the Ministry of Healthcare of Russian Federation
Email: dmitriipevtcov@gmail.com
PhD (Medicine), Transfusiologist, Head of the Blood Transfusion Department, Raisa Gorbacheva Memorial Research Institute of Children Oncology, Hematology and Transplantation
St. PetersburgOksana V. Stanevich
I.P. Pavlov First St. Petersburg State Medical University of the Ministry of Healthcare of Russian Federation; Smorodintsev Research Institute of Influenza
Email: oksana.stanevich@gmail.com
ORCID iD: 0000-0002-6894-6121
Infectious Disease Physician, Department of Epidemiology of Clinics
St. Petersburg; St. PetersburgEkaterina I. Chernykh
North-Western District Scientific and Clinical Center named after L.G. Sokolov Federal Medical and Biological Agency
Email: ekaterina_cherny@mail.ru
DSc (Medicine), Admitting Physician
РоссияAreg A. Totolian
St. Petersburg Pasteur Institute; I.P. Pavlov First St. Petersburg State Medical University of the Ministry of Healthcare of Russian Federation
Author for correspondence.
Email: totolian@pasteurorg.ru
ORCID iD: 0000-0003-4571-8799
RAS Full Member, PhD, MD (Medicine), Professor, Director; Head of the Department of Immunology
Россия, St. Petersburg; St. PetersburgReferences
- Арсентьева Н.А., Любимова Н.Е., Бацунов О.К., Коробова З.Р., Станевич О.В., Лебедева А.А., Воробьев Е.А, Воробьева С.В., Куликов А.Н., Лиознов Д.А., Шарапова М.А., Певцов Д.Э., Тотолян А.А. Цитокины в плазме крови больных COVID-19 в острой фазе заболевания и фазе полного выздоровления // Медицинская иммунология. 2021. Т. 23, № 2. С. 311–326. [Arsentieva N.A., Liubimova N.E., Batsunov O.K., Korobova Z.R., Stanevich O.V., Lebedeva A.A., Vorobyov E.A., Vorobyova S.V., Kulikov A.N., Lioznov D.A., Sharapova M.A., Pevtcov D.E., Totolian A.A. Plasma cytokines in patients with COVID-19 during acute phase of the disease and following complete recovery. Meditsinskaya immunologiya = Medical Immunology (Russia), 2021, vol. 23, no. 2, pp. 311–326. (In Russ.)] doi: 10.15789/1563-0625-pci-2312
- Кудрявцев И.В., Головкин А.С., Тотолян Арег А. Т-хелперы и их клетки-мишени при COVID-19 // Инфекция и иммунитет. Т. 12, № 3. С. 409–426. [Kudryavtsev I.V., Golovkin A.S., Totolian Areg A. T helper cell subsets and related target cells in acute COVID-19. Infektsiya i immunitet = Russian Journal of Infection and Immunity, 2022, vol. 12, no. 3, pp. 409–426. (In Russ.)] doi: 10.15789/2220-7619-thc-1882022
- Сайтгалина М.А., Любимова Н.Е., Останкова Ю.В., Кузнецова Р.Н., Тотолян Арег А. Определение референтных интервалов циркулирующих в крови эксцизионных колец TREC и KREC у лиц старше 18 лет // Медицинская иммунология. 2022. Т. 24, № 6. С. 1227–1236. [Saitgalina M.A., Liubimova N.E., Ostankova Yu.V., Kuznetzova R.N., Totolian A.A. Determination of reference values for TREC and KREC in circulating blood of the persons over 18 years. Meditsinskaya immunologiya = Medical Immunology (Russia), 2022, vol. 24, no. 6, pp. 1227–1236. (In Russ.)] doi: 10.15789/1563-0625-dor-2587
- Сайтгалина М.А., Останкова Ю.В., Арсентьева Н.А., Коробова З.Р., Любимова Н.Е., Кащенко В.А., Куликов А.Н., Певцов Д.Э., Станевич О.В., Черных Е.И., Тотолян А.А. Значимость определения уровней молекул TREC и KREC в периферической крови для прогноза исхода заболевания COVID-19 в острый период // Российский иммунологический журнал. 2023, Т. 26, № 4. С. 611–618. [Saitgalina M.A., Ostankova Yu.V., Arsentieva N.A., Korobova Z.R., Lyubimova N.E., Kashchenko V.A., Kulikov A.N., Pevtsov D.E., Stanevich O.V., Chernykh E.I., Totolian A.A. Levels of TREC and KREC molecules significance determining in peripheral blood for predicting the outcome of COVID-19 disease in the acute period. Rossiiskii immunologicheskii zhurnal = Russian Journal of Immunology, 2023, vol. 26, no. 4, pp. 611–618. (In Russ.)] doi: 10.46235/1028-7221-14714-lot
- Сайтгалина М.А., Останкова Ю.В., Любимова Н.Е., Семенов А.В., Кузнецова Р.Н., Тотолян А.А. Модифицированный метод количественного определения уровней TREC и KREC в периферической крови у больных с иммунодефицитными состояниями // Инфекция и иммунитет. 2022. Т. 12, № 5. C. 981–996. [Saitgalina M.A., Ostankova Yu.V., Liubimova N.E., Semenov A.V., Kuznetsova R.N., Totolian A.A. Modified quantitative approach for assessing peripheral blood TREC and KREC levels in immunodeficient patients. Infektsiya i immunitet = Russian Journal of Infection and Immunity, 2022, vol. 12, no. 5, pp. 981–996. (In Russ.)] doi: 10.15789/2220-7619-mmf-2039
- Сайтгалина М.А., Останкова Ю.В., Седых А.В., Тотолян Арег А. Особенности преаналитического этапа при количественном определении TREC/KREC в периферической крови // Медицинская иммунология. 2023. Т. 25, № 6. С. 1441–1452. [Saitgalina M.A., Ostankova Yu.V., Sedykh A.V., Totolian Areg A. Features of the preanalytical stage in the quantitative determination of TREC/KREC in peripheral blood. Meditsinskaya immunologiya = Medical Immunology (Russia), 2023, vol. 25, no. 6, pp. 1441–1452. (In Russ)] doi: 10.15789/1563-0625-fot-2909
- Седых А.В., Сайтгалина М.А., Останкова Ю.В., Тотолян Арег А. Сравнительный анализ наборов реагентов для выделения ДНК из сухих пятен крови // Медицинская иммунология. 2023. Т. 25, № 6. С. 1453–1462. [Sedykh A.V., Saitgalina M.A., Ostankova Yu.V., Totolian Areg A. Comparative analysis of reagent kits for DNA extraction from dried blood spots. Meditsinskaya immunologiya = Medical Immunology (Russia), 2023, vol. 25, no. 6, pp. 1453–1462. (In Russ.)] doi: 10.15789/1563-0625-cao-2895
- Bakin E.A., Stanevich O.V., Chmelevsky M.P., Belash V.A., Belash A.A., Savateeva G.A., Bokinova V.A., Arsentieva N.A., Sayenko L.F., Korobenkov E.A., Lioznov D.A., Totolian A.A., Polushin Yu.S., Kulikov A.N. A novel approach for COVID-19 patient condition tracking: from instant prediction to regular monitoring. Front. Med. (Lausanne), 2021, vol. 8: 744652. doi: 10.3389/fmed.2021.744652
- Chen R., Yu Y., Li W., Liu Y., Lu J., Chen F., Zhou Q., Xia Zh., Gao L., Meng Q., Ma D. Gastrointestinal symptoms associated with unfavorable prognosis of COVID-19 patients: a retrospective study. Front. Med., 2020, vol. 7: 608259. doi: 10.3389/fmed.2020.608259
- Cheung C.Y., Poon L.L., Ng I.H., Luk W., Sia S.F., Wu M.H., Chan K.H., Yuen K.Y., Gordon S., Guan Y., Peiris J.S. Cytokine responses in severe acute respiratory syndrome coronavirus-infected macrophages in vitro: possible relevance to pathogenesis. J. Virol., 2005, vol. 79, no. 12, pp. 7819–7826. doi: 10.1128/jvi.79.12.7819-7826.2005
- Guan W.J., Ni Z.Y., Hu Y., Liang W.H., Ou C.Q., He J.X.; China Medical Treatment Expert Group for Covid-19. Clinical characteristics of Coronavirus disease 2019 in China. N. Engl. J. Med., 2020, vol. 382, no. 18, pp. 1708–1720. doi: 10.1056/nejmoa2002032
- Guarneri C., Venanzi R.E., Gallizzi R., Ceccarelli M., Cannavò S.P., Nunnari G. Diversity of clinical appearance of cutaneous manifestations in the course of COVID-19. J. Eur. Acad. Dermatol. Venereol., 2020, vol. 34, no. 9, pp. e449–e450. doi: 10.1111/jdv.16669
- Gubernatorova E.O., Gorshkova E.A., Polinova A.I., Drutskaya M.S. IL-6: relevance for immunopathology of SARS-CoV-2. Cytokine Growth Factor Rev., 2020, vol. 53, pp. 13–24. doi: 10.1016/j.cytogfr.2020.05.009
- Habas K., Nganwuchu C., Shahzad F., Gopalan R., Haque M., Rahman S., Majumder A.A., Nasim T. Resolution of coronavirus disease 2019 (COVID-19). Expert Rev. Anti. Infect. Ther., 2020, vol. 18, no. 12, pp. 1201–1211. doi: 10.1080/14787210.2020.1797487
- Hu B., Huang S., Yin L. The cytokine storm and COVID-19. J. Med. Virol., 2021, vol. 93, no. 1, pp. 250–256. doi: 10.1002/jmv.26232
- Huang C., Wang Y., Li X., Ren L., Zhao J., Hu Y., Zhang L., Fan G., Xu J., Gu X., Cheng Z., Yu T., Xia J., Wei Y., W. Wu, Xie X., Yin W., Li H., Liu M., Xiao Y., Gao H., Guo L., Xie J., Wang G., Jiang R., Gao Z., Jin Q., Wang J., Cao B. Clinical features of patients infected with 2019 novel coronavirus in Wuhan, China. Lancet, 2020, vol. 395, no. 10223, pp. 497–506. doi: 10.1016/S0140-6736(20)30183-5
- Jafarzadeh A., Jafarzadeh S., Nozari P., Mokhtari P., Nemati M. Lymphopenia an important immunological abnormality in patients with COVID-19: possible mechanisms. Scand. J. Immunol., 2021, vol. 93, no. 2: e12967. doi: 10.1111/sji.12967
- Korobova Z.R., Zueva E.V., Arsentieva N.A., Batsunov O.K., Liubimova N.E., Khamitova I.V., Kuznetsova R.N., Rubinstein A.A., Savin T.V., Stanevich O.V., Kulikov A.N., Pevtsov D.E., Totolian A.A. Changes in anti-SARS-CoV-2 IgG subclasses over time and in association with disease severity. Viruses, 2022, vol. 14, no. 5: 941. doi: 10.3390/v14050941
- Kudryavtsev I.V., Arsentieva N.A., Batsunov O.K., Korobova Z.R., Khamitova I.V., Isakov D.V., Kuznetsova R.N., Rubinstein A.A., Stanevich O.V., Lebedeva A.A., Vorobyov E.A., Vorobyova S.V, Kulikov A.N., Sharapova M.A., Pevtcov D.E., Totolian A.A. Alterations in B cell and follicular T-helper cell subsets in patients with acute COVID-19 and COVID-19 convalescents. Curr. Issues Mol. Biol., 2022, vol. 44, no. 1, pp. 194–205. doi: 10.3390/cimb44010014
- Li B., Yang J., Zhao F., Zhi L., Wang X., Liu L., Bi Z., Zhao Y. Prevalence and impact of cardiovascular metabolic diseases on COVID-19 in China. Clin. Res. Cardiol., 2020, vol. 109, no. 5, pp. 531–538. doi: 10.1007/s00392-020-01626-9
- Lin L., Lu L., Cao W., Li T. Hypothesis for potential pathogenesis of SARS-CoV-2 infection-a review of immune changes in patients with viral pneumonia. Emerg. Microbes Infect., 2020, vol. 9, no. 1, pp. 727–732. doi: 10.1080/22221751.2020.1746199
- Mehta P., McAuley D.F., Brown M., Sanchez E., Tattersall R.S., Manson J.J. COVID-19: consider cytokine storm syndromes and immunosuppression. Lancet, 2020, vol. 395, no. 10229, pp. 1033–1034. doi: 10.1016/s0140-6736(20)30628-0
- Merad M., Martin J.C. Pathological inflammation in patients with COVID-19: a key role for monocytes and macrophages. Nat. Rev. Immunol., 2020, vol. 20, no. 7, pp. 355–362. doi: 10.1038/s41577-020-0353-y
- Pascarella G., Strumia A., Piliego C., Bruno F., Del Buono R., Costa F., Scarlata S., Agrò F.E. COVID-19 diagnosis and management: a comprehensive review. J. Intern. Med., 2020, vol. 288, no. 2, pp. 192–206. doi: 10.1111/joim.13091
- Ratajczak M.Z., Kucia M. SARS-CoV-2 infection and overactivation of Nlrp3 inflammasome as a trigger of cytokine “storm” and risk factor for damage of hematopoietic stem cells. Leukemia, 2020, vol. 34, no. 7, pp. 1726–1729. doi: 10.1038/s41375-020-0887-9
- Savchenko A.A., Tikhonova E., Kudryavtsev I., Kudlay D., Korsunsky I., Beleniuk V., Borisov A. TREC/KREC levels and T and B lymphocyte subpopulations in COVID-19 patients at different stages of the disease. Viruses, 2022, vol. 14, no. 3: 646. doi: 10.3390/v14030646
- Serana F., Chiarini M., Zanotti C., Sottini A., Bertoli D., Bosio A., Caimi L., Imberti L. Use of V(D)J recombination excision circles to identify T- and B-cell defects and to monitor the treatment in primary and acquired immunodeficiencies. J. Transl. Med., 2013, vol. 11: 119 doi: 10.1186/1479-5876-11-119
- Van Zelm M., Van der Burg M., Langerakand A., Van Dongen J. PID comes full circle: applications of V(D)J recombination excision circles in research, diagnostics and newborn screening of primary immunodeficiency disorders. Front. Immunol., 2011, vol. 2: 12. doi: 10.3389/fimmu.2011.00012
- WHO Coronavirus (COVID-19) Dashboard. URL: https://covid19.who.int (04.10.2023)
- Wong C.K., Lam C.W., Wu A.K., Ip W.K., Lee N.L., Chan I.H., Lit L.C., Hui D.S., Chan M.H., Chung S.S., Sung J.J. Plasma inflammatory cytokines and chemokines in severe acute respiratory syndrome. Clin. Exp. Immunol., 2004, vol. 136, no. 1, pp. 95–103. doi: 10.1111/j.1365-2249.2004.02415.x
- Xu H., Zhong L., Deng J., Peng J., Dan H., Zeng X., Li T., Chen Q. High expression of ACE2 receptor of 2019-nCoV on the epithelial cells of oral mucosa. Int. J. Oral Sci., 2020, vol. 12, no. 1: 8. doi: 10.1038/s41368-020-0074-x
- Xu Z., Shi L., Wang Y., Zhang J., Huang L., Zhang C., Liu S., Zhao P., Liu H., Zhu L., Tai Y., Bai C., Gao T., Song J., XiaP., Dong J., Zhao J., Wang F.-S. Pathological findings of COVID-19 associated with acute respiratory distress syndrome. Lancet Respir. Med., 2020, vol. 8, no. 4, pp. 420–422. doi: 10.1016/S2213-2600(20)30076-X
- Yang J., Zheng Y., Gou X., Pu K., Chen Z., Guo Q., Ji R., Wang H., Wang Y., Zhou Y. Prevalence of comorbidities and its effects in patients infected with SARS-CoV-2: a systematic review and meta-analysis. Int. J. Infect. Dis., 2020, vol. 94, pp. 91–95. doi: 10.1016/j.ijid.2020.03.017
- Yuki K., Fujiogi M., Koutsogiannaki S. COVID-19 pathophysiology: a review. Clin. Immunol., 2020, vol. 215: 108427. doi: 10.1016/j.clim.2020.108427
- Zhou F., Yu T., Du R., Fan G., Liu Y., Liu Z., Xiang J., Wang Y., Song B., Gu X., Guan L., Wei Y., Li H., Wu X., Xu J., Tu S., Zhang Y., Chen H., Cao B. Clinical course and risk factors for mortality of adult inpatients with COVID-19 in Wuhan, China: a retrospective cohort study. Lancet, 2020, vol. 395, no. 10229, pp. 1054–1062. doi: 10.1016/S0140-6736(20)30566-3
Supplementary files














