Features of ESCHERICHIA COLI samples from patients with diarrheal syndrome in the Republic of Guinea
- Authors: Makarova M.A.1,2, Balde R.3, Boiro M.3, Matveeva Z.N.1, Kaftyreva L.A.1,2
-
Affiliations:
- St. Petersburg Pasteur Institute
- I.I. Mechnikov North-Western State Medical University
- Research Institute of Applied Biology of Guinea
- Issue: Vol 13, No 6 (2023)
- Pages: 1109-1116
- Section: ORIGINAL ARTICLES
- Submitted: 23.08.2023
- Accepted: 02.10.2023
- Published: 25.12.2023
- URL: https://iimmun.ru/iimm/article/view/15633
- DOI: https://doi.org/10.15789/2220-7619-FOI-15633
- ID: 15633
Cite item
Full Text
Abstract
Introduction. Diarrheal diseases are a global public health issue and cause 15% of deaths in children under 5 years old, of which about 80% occur in the regions of Africa and Southeast Asia. According to the Global Enteric Multicentre Study (GEMS) conducted in a number of African countries, one of the leading pathogens of high risk of death in infants and young children is diarrheagenic E. coli (DEC). In recent decades, antimicrobial resistance (AMR) has become globally ubiquitous. The Republic of Guinea urgently needs large-scale studies devoted to assessing DEC distribution and antibiotic resistance. The purpose of the study is to assess the pattern of E. coli infections and to test the susceptibility to antibiotics in strains of diarrheagenic E. coli sampled from individuals residing in the Republic of Guinea.
Materials and methods. From 2019 to 2022, we studied 724 samples of faeces of patients with acute diarrhea, among them 72 (9.9%) children aged 1–5 years, 128 (17.7%) children aged 6–17 years, and 524 (72.4%) people aged 18 years and older; a method of polymerase chain reaction (PCR) was applied with the use of the AmpliSense® Escherichioses-FL reagent kit to identify the genetic determinants of DEC: EPEC, EHEC, ETEC, EIEC, and EAgEC (Central Research Institute of Epidemiology of Rospotrebnadzor, Russia). Susceptibility to 15 antimicrobial agents was found by the disc-diffusion method using Mueller–Hinton agar (Russia) and Oxoid discs (UK). Results were interpreted according EUCAST criteria, versions 2019–2022 (https://www.eucast.org/ast_of_bacteria/previous_versions_of_documents).
Results. For the period from 2019 to 2022, the percentage of E. coli infections in the etiological pattern of acute intestinal infections amounted to 51.7%. In the age-related manner, DEC was significantly more common in young children aged 0–5 (96.9%, p < 0.05) as compared to school age children aged 6–17 (53.9%) and adults (45.6%). In all years of observation, EAgEC strains prevailed, accounting for 38.4%. Other DEC pathotypes, EPEC, ETEC, EIEC and STEC, accounted for 27.2%, 17.5%, 11.8%, and 5.1%, respectively. DEC strains are susceptible to meropenem, amikacin, and nitrofurantoin. The activity of other antibiotics ranged from 11.3% for ampicillin, 28.3% for trimethoprim-sulfamethoxazole, and 34.0% for tetracycline to 73.6% for cephalosporins, 84.0% for aminoglycosides, and 98.1% for fluorinated quinolones.
Conclusion. To reduce the burden of diarrheal diseases in the Republic of Guinea, it may be necessary to conduct targeted epidemiological and microbiological studies to identify DEC and monitor the development of antimicrobial resistance of E. coli infection pathogens in the population.
Full Text
Overview
Diarrheal diseases are a global public health issue and cause of high morbidity and mortality in many countries, as well as one of the frequent reasons why patients of all ages seek medical care [5, 6]. Every year, about 1.6 million people die from diarrhea globally, mainly in developing countries and economically poor regions [1, 11]. Diarrheal diseases cause 15% of deaths in infants and young children, of which about 80% occur in the regions of Africa and Southeast Asia [16, 21, 23, 29]. Even though global mortality from diarrhea has decreased significantly over the past 25 years, the incidence of acute diarrhea in Africa remains high [10, 13]. Experts estimate that, by 2030, 4.4 million children younger than 5 years will die every year from infectious diseases, and 60% of cases will be recorded in Africa [19, 22].
According to the Population Division under the UN Department of Economic and Social Affairs, the population of the Republic of Guinea in 2023 will increase by 379 285, whereas at the end of the year it will be 14 411 299, of which 12.4% (1 788 459) will be children younger than 6 years. [https://countrymeters.info/ru/Guinea, https://bdex.ru/naselenie/guinea]. Based on results of the Global Enteric Multicentre Study (GEMS) conducted in four African countries (Kenya, Mali, Mozambique, and Gambia), it was found that E. coli and Cryptosporidium are among the pathogens causing a high risk of death in infants and young children with moderate and severe diarrheal diseases [1].
Currently, diarrheagenic E. coli (DEC) causing acute diarrhea are classified into the following pathogenetic groups (pathotypes): enteropathogenic E. coli (EPEC), enterotoxigenic E. coli (ETEC), shigatoxin-producing E. coli (STEC), enteroinvasive E. coli (EIEC), and enteroaggregative E. coli (EAgEC). Diffuse-adherent E. coli (DAEC) have also been described; however, evidence that is more experimental is required to classify them into a separate group [8]. The DEC pathotypes differ in key mechanisms of pathogenesis and the presence of specific virulence factors.
In recent decades, the issue of antimicrobial resistance to antibiotics has become global in nature and is considered as one of the threats to national security in many countries [3, 7]. In 2014, WHO included E. coli in the list of seven species of bacteria that cause life-threatening diseases, such as sepsis, diarrhea, pneumonia, UTI, etc., as indicators for monitoring the development of resistance antibiotics [25, 28]. Unified standardised methods for determining susceptibility to antibiotics and interpretation criteria based on modern knowledge of resistance mechanisms will improve the quality of research and conduct effective monitoring not only at the local and regional level but at the international level as well [18].
Presently there is an urgent need for large-scale studies in the Republic of Guinea to discover the incidence of diarrheagenic E. coli and their susceptibility to antibiotics
The purpose of this study is to assess the structure of E. coli infections and to test the susceptibility to antibiotics in strains of diarrheagenic E. coli sampled from individuals residing in the Republic of Guinea.
Materials and methods
The studies were carried out in the laboratory of the Guinea-Russian Research Centre of Epidemiology and Prevention of Infectious Diseases run by Rospotrebnadzor (Kindia, Republic of Guinea) and the Laboratory of Intestinal Infections at the Saint Petersburg Pasteur Institute of Epidemiology and Microbiology (Saint Petersburg, Russia). From 2019 to 2022, were studied 724 samples of faeces of patients with acute diarrhea, among them 72 (9.9%) children aged 1–5 years, 128 (17.7%) children aged 6–17 years, and 524 (72.4%) people aged 18 years and older; a method of polymerase chain reaction (PCR), was applied with the use of the AmpliSense® Escherichioses-FL reagent kit to identify the genetic determinants of DEC: EPEC, EHEC, ETEC, EIEC, and EAgEC (Central Research Institute of Epidemiology of Rospotrebnadzor, Russia).
Samples with fluorescence threshold signals corresponding to the genetic determinants of EPEC, EHEC, ETEC, EIEC, EAgEC were examined by the culture method. Endo agar was used to isolate DEC strains.
For 15 antibiotics (β-lactam penicillins: ampicillin, amoxicillin-clavulanic acid; cephalosporins: cefotaxime, ceftazidime, cefepime; carbapenems: meropenem; aminoglycosides: gentamicin, tobramycin, amikacin; tetracycline, chloramphenicol; quinolones and fluoroquinolones: nalidixic acid and ciprofloxacin, nitrofurantoin, and trimethoprim-sulfamethoxazole), susceptibility of pathogens to them was found by the disc-diffusion method using Mueller–Hinton agar (Russia) and Oxoid discs (UK). Results were interpreted according EUCAST criteria, versions 2019–2022 (https://www.eucast.org/ast_of_bacteria/previous_versions_of_documents).
Multidrug resistance (MDR) phenotype, in accordance with international criteria, included strains resistant to three classes of antibiotics, specifically producers of extended spectrum beta lactamase- (ESBL) and carbapenemases; extensively drug resistance phenotype (XDR) characterised strains resistant to all antibiotics except for one or two classes [2, 15].
Statistical processing of results. The obtained data were processed using the computer program Excel (Microsoft Office). Fisher’s exact test was used to assess the statistical significance of differences in indicators (frequency, proportion). Differences were considered statistically significant at a 95% confidence interval (p < 0.05). The obtained data are presented in the form of tables and diagrams.
Results
Genetic markers of DEC were detected in faecal samples of patients of all age groups in all years of study (Table 1). For the period from 2019 to 2022, the total percentage of E. coli infections in the etiological structure of acute intestinal infections amounted to 51.7% (a range from 32.5% to 58.3%). In the age structure, DEC was significantly more common in young children aged 0–5 (96.9%, p < 0.05) compared to the group of school age children aged 6–17 (53.9%) and adults (45.6%).
Table 1. Frequency of detection of DEC genetic determinants in individuals of various ages with diarrheal syndrome residing in the Republic of Guinea
Year | Age | Number of samples | Genetic determinants of DEC | 95% CI | |
n | % | ||||
2019 | 0–5 | 8 | 8 | 100.0 | 63.1–100.0 |
6–17 | 20 | 9 | 45.0 | 23.1–66.7 | |
18 and older | 89 | 21 | 23.6 | 15.2–33.8 | |
Total | 117 | 38 | 32.5 | 24.1–41.76 | |
2020 | 0–5 | 8 | 8 | 100.0 | 63.1–100.0 |
6–17 | 14 | 8 | 57.1 | 28.9–82.3 | |
18 and older | 151 | 83 | 54.9 | 46.7–63.1 | |
Total | 173 | 99 | 57.2 | 49.5–64.7 | |
2021 | 0–5 | 41 | 37 | 90.2 | 76.9–97.3 |
6–17 | 56 | 34 | 60.7 | 46.8–73.5 | |
18 and older | 241 | 110 | 45.6 | 39.2–52.2 | |
Total | 338 | 181 | 54.4 | 48.1–58.9 | |
2022 | 0–5 | 15 | 13 | 86.7 | 59.5–98.3 |
6–17 | 38 | 18 | 47.4 | 31.0–64.2 | |
18 and older | 43 | 25 | 58.1 | 42.1–73.0 | |
Total | 96 | 56 | 58.3 | 47.8–68.3 | |
2019–2022 | 0–5 | 72 | 66 | 91.7 | 82.7–96.9 |
6–17 | 128 | 69 | 53.9 | 44.9–62.8 | |
18 and older | 524 | 239 | 45.6 | 41.3–50.0 | |
Total | 724 | 374 | 51.7 | 47.9–55.4 | |
In young children, DEC genetic determinants were identified in 100% of cases in 2019 and 2020, compared to 2021 (90.2%) and 2022 (91.7%). In children, aged 6–17, the findings, were ranked as follows: 45.0% in 2019, 57.1% in 2020, 60.7% in 2021, and 47.4% in 2022. Thus, almost every second child of school age had DEC as the cause of diarrhea.
In the age group over 18, DEC findings doubled compared to 2019 (23.6%): 54.9% in 2020, 45.6% in 2021, and 58.1% in 2022.
Fig. 1 shows the structure of E. coli infections. Both according to the cumulative data and separately by year, the EAgEC strains prevailed, accounting for 38.4% (a range from 33.3% to 43.6%). In the average annual structure, the share of EPEC was 27.2% (a range from 19.7% to 31.0%). ETEC ranked third; according to the total data, their share was 17.5%, whereas it ranged from 14.3% to 22.5% in other years of observation. EIEC detection rate ranged from 11.1% to 14.1% with an average of 11.8%. STEC findings were rarer compared to other DEC pathotypes, cumulatively accounting for 5.1% (a range from 1.4% to 13.9%).
Figure 1. Structure of E. coli infections in the Republic of Guinea, 2019–2022
According to the cumulative data, genetic determinants of one pathotype were identified in 69.8% of cases (mono-infection of DEC). One in three (30.2%) of those surveyed exhibited a coinfection as virulence markers of several DEC pathotypes were found simultaneously (Table 2).
Table 2. Genetic determinants of different DEC pathotypes based on the results of laboratory molecular diagnostics of E. coli infections
DEC pathotypes | 2019 | 2020 | 2021 | 2022 | Total | |||||
n | % | n | % | n | % | n | % | n | % | |
Mono-infection of DEC | ||||||||||
EAgEC | 10 | 26.3 | 35 | 35.4 | 40 | 21.7 | 18 | 32.1 | 103 | 27.5 |
EPEC | 7 | 18.4 | 19 | 19.2 | 48 | 26.1 | 9 | 16.1 | 83 | 22.2 |
ETEC | 4 | 10.5 | 6 | 6.1 | 17 | 9.2 | 5 | 8.9 | 32 | 8.6 |
EIEC | 2 | 5.3 | 7 | 7.1 | 13 | 7.1 | 10 | 17.9 | 32 | 8.6 |
STEC | 4 | 10.5 | 3 | 3.0 | 4 | 2.1 | 0 | 0 | 11 | 2.9 |
Total mono-infection | 27 | 71.1 | 70 | 70.7 | 122 | 66.3 | 42 | 75.0 | 261 | 69.8 |
Coinfection of DEC | ||||||||||
EAgEC+EPEC | 2 | 5.3 | 7 | 7.1 | 18 | 9.8 | 4 | 7.1 | 31 | 8.3 |
EAgEC+ETEC | 2 | 5.3 | 5 | 5.1 | 15 | 8.2 | 1 | 1.8 | 23 | 6.1 |
EAgEC+EIEC | 2 | 5.3 | 5 | 5.1 | 8 | 4.3 | 5 | 8.9 | 20 | 5.3 |
EAgEC+STEC | 1 | 2.6 | 2 | 2.0 | 6 | 3.3 | 1 | 1.8 | 10 | 2.7 |
EPEC+ETEC | 1 | 2.6 | 3 | 3.0 | 5 | 2.7 | 1 | 1.8 | 10 | 2.7 |
EPEC+EIEC | 1 | 2.6 | 1 | 1.0 | 1 | 0.5 | 0 | 0 | 3 | 0.8 |
ETEC+EIEC | 0 | 0 | 1 | 1.0 | 1 | 0.5 | 1 | 1.8 | 3 | 0.8 |
EAgEC+EPEC+ETEC | 0 | 0 | 1 | 1.0 | 1 | 0.5 | 1 | 1.8 | 3 | 0.8 |
EAgEC+EPEC+EIEC | 0 | 0 | 1 | 1.0 | 0 | 0 | 0 | 0 | 1 | 0.3 |
EAgEC+ETEC+EIEC | 0 | 0 | 0 | 0 | 1 | 0.5 | 0 | 0 | 1 | 0.3 |
EAgEC+ETEC+STEC | 0 | 0 | 2 | 2.0 | 0 | 0 | 0 | 0 | 2 | 0.5 |
EPEC+ETEC+EIEC | 1 | 2.6 | 1 | 1.0 | 2 | 1.1 | 0 | 0 | 4 | 1.1 |
EAgEC+EPEC+ETEC+EIEC | 0 | 0 | 0 | 0 | 1 | 0.5 | 0 | 0 | 1 | 0.3 |
Total coinfection | 10 | 26.3 | 29 | 29.3 | 59 | 32.1 | 14 | 25.0 | 113 | 30.2 |
In 2022, 53 DEC strains, were isolated and studied by culture method, including 33 EAgEC, 10 EPEC, 8 ETEC, 1 STEC, and 1 EIEC. The strains were characterized by typical species features of Escherichia coli: they gave positive results with the methyl red test and negative results with the Voges–Proskauer test, did not split urea, did not form hydrogen sulfide or phenylalanine deaminase, did not ferment inositol and adonite, did not grow on Simmons citrate agar, were indole positive, fermented mannitol and glucose to acid and gas, and had β-galactosidase activity. In terms of enzymatic properties, DEC strains showed variability with respect to carbohydrates: lactose, sucrose, arabinose, maltose, xylose, rhamnose; alcohols: dulcite, sorbitol, salicin; amino acids: ornithine, lysine, and arginine. These variable properties did not allow to differentiate DEC pathotypes except for the EIEC strain, which did not ferment lactose and sucrose and did not decarboxylate lysine, and the STEC strain, which did not ferment sorbitol and gave a negative reaction with β-galactosidase test; these properties can be considered as a phenotypic “mark” of the EIEC and STEC strains of the serological variant O157:H7.
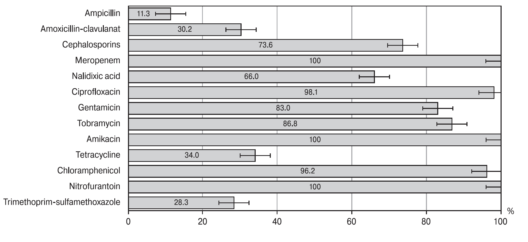
The results of determining the susceptibility to antibiotics of all DEC strains and separately by pathotypes are shown in Fig. 2 and Table 3. According to the cumulative data, there was one strain belonging to the ETEC pathotype that was susceptible to all test drugs. Susceptibility to ampicillin persisted in six (11.3%) strains. To cephalosporins (ceftazidime, cefotaxime, cefepime) 73.6%, 75.5% and 73.6% of the strains, were susceptibility. Pharmacodynamic benefits of inhibitor-protected amoxicillin-clavulanic acid for cephalosporins, were not identified. All the strains were susceptible to meropenem. 66.0% and 98.1% of strains were susceptible to drugs of the group of quinolones (nalidixic acid) and fluoroquinolones (ciprofloxacin). Of the aminoglycosides, amikacin was more active, for 100% of the tested strains were susceptible to it. Tobramycin and gentamicin showed lower susceptibility of 86.8% and 83.0%, respectively. 34.0% and 28.3% of the studied strains remained susceptible to drugs of the tetracycline groups and trimethoprim-sulfamethoxazole. The proportion of strains susceptible to chloramphenicol and nitrofurantoin was 96.2% and 100%, respectively. The DECs characterised by multiple resistance to three or more classes of antibiotics (MDR phenotype) were 54.7%. No strains XDR were found.
Figure 2. Antimicrobial agent susceptibility in DEC strains
Table 3. Susceptibility features in strains of various DEC pathotypes
Antimicrobial agent | DEC pathotypes, n = 53 | |||||||||
EAgEC n = 33 | EPEC n = 10 | ETEC n = 8 | EIEC n = 1 | STEC n = 1 | ||||||
n | % | n | % | n | % | n | % | n | % | |
Ampicillin | 1 | 3.0 | 4 | 40.0 | 1 | 12.5 | 0 | 0 | 0 | 0 |
Amoxicillin/clavulanate | 10 | 30.3 | 4 | 40.0 | 1 | 12.5 | 1 | 100.0 | 0 | 0 |
Ceftazidime | 20 | 60.6 | 10 | 100.0 | 7 | 87.5 | 1 | 100.0 | 1 | 100.0 |
Cefotaxime | 21 | 63.6 | 10 | 100.0 | 7 | 87.5 | 1 | 100.0 | 1 | 100.0 |
Cefepime | 20 | 60.6 | 10 | 100.0 | 7 | 87.5 | 1 | 100.0 | 1 | 100.0 |
Nalidixic acid | 20 | 60.6 | 6 | 60.0 | 7 | 87.5 | 1 | 100.0 | 1 | 100.0 |
Ciprofloxacin | 32 | 97.0 | 10 | 100.0 | 8 | 100.0 | 1 | 100.0 | 1 | 100.0 |
Gentamicin | 25 | 75.8 | 9 | 90.0 | 8 | 100.0 | 1 | 100.0 | 1 | 100.0 |
Tobramycin | 26 | 78.8 | 10 | 100.0 | 8 | 100.0 | 1 | 100.0 | 1 | 100.0 |
Tetracycline | 12 | 36.4 | 4 | 40.0 | 1 | 12.5 | 0 | 0 | 1 | 100.0 |
Chloramphenicol | 31 | 93.9 | 10 | 100.0 | 8 | 100.0 | 1 | 100.0 | 1 | 100.0 |
Trimethoprim-sulfamethoxazole | 10 | 30.3 | 3 | 30.0 | 1 | 12.5 | 0 | 0 | 1 | 100.0 |
Strains of the EIEC and STEC stayed 100% susceptible to all antibiotics except for ampicillin. Among the ETEC strains, 100% were susceptible to ciprofloxacin, aminoglycosides (gentamicin, tobramycin) and chloramphenicol. Cephalosporins (ceftazidime, cefotaxime, cefepime) and nalidixic acid showed the susceptibility of 87.5%. Ampicillin, amoxicillin-clavulanic acid, tetracycline and trimethoprim/sulfamethoxazole showed the least activity in this pathogroup — only 12.5% of strains were susceptible to these antibiotics. The EPEC strains were characterized by 100% susceptibility to cephalosporins, ciprofloxacin, and tobramycin. 90.0% and 60.0% of strains were susceptible to gentamicin and nalidixic acid, respectively. 40.0% of strains remained susceptible to ampicillin, amoxicillin/clavulanate and tetracycline. Trimethoprim-sulfamethoxazole showed the least activity in this pathogroup, with 30% of the strains being susceptible.
The EAgEC strains compared to the strains of other DEC pathotypes were characterised by reduced susceptibility to all test antibiotics. In the group of β-lactam antibiotics, the greatest activity was detected in cephalosporins (60.3%) compared to inhibitor-protected aminopenicillin (30.3%) and ampicillin with only 3% of susceptible strains. Susceptibility to drugs of the quinolone/fluoroquinolone group (nalidixic acid/ciprofloxacin) was noted in 60.6% and 97.0% of strains. The activity of aminoglycosides (gentamicin and tobramycin) was found in 75.8% and 78.8% of EAgEC. As for phenicols, tetracyclines and trimethoprim-sulfamethoxazole, susceptibility was detected in 93.9%, 36.4%, and 30.3% of strains, respectively.
Discussion
According to the World Bank, among the four leading causes of impact on humanity caused by all diseases and injuries, three are classified as infectious and parasitic diseases (diarrhea, intestinal helminthiases, and tuberculosis) [19]. 1.9 million children die every year, accounting for 18% of all child deaths in this age group and meaning that over 5000 children die every day from diarrheal diseases [17, 20, 24, 26, 27]. Studies conducted in the Republic of Guinea found that the share of E. coli infections in the etiological structure of acute intestinal infections amounted to 51.7% in 2019–2022. Analysis of the age structure showed that infants and young children (0–5 years) are the most exposed group (91.7%), whereas almost every second child of school age (53.9%) and persons over 18 years of age (45.6%) had DEC as the key acute intestinal infection cause.
The use of molecular methods made it possible to assess the structure of E. coli infections in different age groups of the population in the Republic of Guinea and to establish the circulation of strains of all known DEC pathotypes. According to the total data, the structure of E. coli infections in all years of observation was dominated by EAgEC strains, which accounted for 38.4%. In the average annual structure, EPEC, ETEC, EIEC and STEC accounted for 27.2%, 17.5%, 11.8%, and 5.1%, respectively. Studies conducted in Latin America, Asia, Africa, and the former socialist countries of Eastern Europe have shown that EAgEC is more likely than other bacterial pathogens to cause diarrhea in children [14]. Evidence from the United States, Europe, and Israel also suggests that EAgEC often causes diarrheal diseases in children [4, 9]. In the United States, the incidence of EAgEC-related E. coli infections is higher in young children than campylobacteriosis and salmonellosis [12].
Analysis of DEC genetic determinants made it possible to establish that, in 2019–2022, E. coli infections in patients of the Republic of Guinea were characterized by E. coli monoinfection (genetic determinants of one specific pathogroup) in 69.8% of cases. In every third examined patient (30.2%), virulence markers of several DEC pathotypes were found.
A study of the susceptibility of DEC strains to antibiotics in the Guinean population showed that 100% of the strains were susceptible to meropenem, amikacin, and nitrofurantoin. The activity of other antibiotics ranged from 11.3% for ampicillin, 28.3% for trimethoprim-sulfamethoxazole, and 34.0% for tetracycline up to 73.6% for cephalosporins, 84.0% for aminoglycosides, and 98.1% for fluorinated quinolones.
Conclusion
The study confirmed the relevance of diarrheagenic E. coli for the population in the Republic of Guinea, as well as in other African countries [1, 11, 10, 13, 16, 22]. Laboratory diagnostics of said pathogens is possible only using molecular genetic methods. To reduce the burden of diarrheal diseases in the Republic of Guinea, it may be necessary to conduct targeted epidemiological and microbiological studies to identify DEC, study the contamination of the environment, including water and food, and identify risk factors.
Decreased susceptibility of DEC to antibiotics is an unfavourable prognostic sign, indicating a significant decrease in the efficiency of antibiotics used to treat acute intestinal infections, and confirms the need to introduce constant monitoring of the development of E. coli pathogen resistance in the population.
About the authors
M. A. Makarova
St. Petersburg Pasteur Institute; I.I. Mechnikov North-Western State Medical University
Author for correspondence.
Email: makmaria@mail.ru
DSc (Medicine), Senior Researcher, Laboratory of Enteric Infections; Associate Professor, Department of Medical Microbiology
Russian Federation, Saint-Petersburg; Saint-PetersburgR. Balde
Research Institute of Applied Biology of Guinea
Email: makmaria@mail.ru
Researcher, Department of BacteriologyGuinea, Kindia
M. Boiro
Research Institute of Applied Biology of Guinea
Email: makmaria@mail.ru
Professor, General DirectorGuinea, Kindia
Z. N. Matveeva
St. Petersburg Pasteur Institute
Email: makmaria@mail.ru
PhD (Medicine), Leading Researcher, Laboratory of Enteric Infections
Russian Federation, St. PetersburgL. A. Kaftyreva
St. Petersburg Pasteur Institute; I.I. Mechnikov North-Western State Medical University
Email: makmaria@mail.ru
DSc (Medicine), Leading Researcher, Typhoid Epidemiology Research Group; Professor, Department of Medical Microbiology
Russian Federation, Saint-Petersburg; Saint-PetersburgReferences
- Aijuka M., Santiago A.E., Giron J.A., Nataro J.P., Buys E.M. Enteroaggregative Escherichia coli is the predominant diarrheagenic E. coli pathotype among irrigation water and food sources in South Africa. Int. J. Food. Microbiol., 2018, vol. 2, pp. 44–51. doi: 10.1016/j.ijfoodmicro.2018.04.018
- Alkofide H., Alhammad A.M., Alruwaili A., Aldemerdash A., Almangour T.A., Alsuwayegh A., Almoqbel D., Albati A., Alsaud A., Enani M. Multidrug-resistant and extensively drug-resistant enterobacteriaceae: prevalence, treatments, and outcomes — a retrospective cohort study. Infect. Drug. Resist., 2020, vol. 24, no. 13, pp. 4653–4662. doi: 10.2147/IDR.S283488
- Christaki E., Marcou M., Tofarides A. Antimicrobial resistance in bacteria: mechanisms, evolution, and persistence. J. Mol. Evol., 2020, vol. 88, no. 1, pp. 26–40. doi: 10.1007/s00239-019-09914-3
- Dattani S., Spooner F., Ritchie H., Roser M. Diarrheal diseases. Our World in Data, 2023. URL: https://ourworldindata.org/diarrheal-diseases (17.07.2023)
- GBD 2017 Causes of Death Collaborators. Global, regional, and national age-sex-specific mortality for 282 causes of death in 195 countries and territories, 1980–2017: a systematic analysis for the Global Burden of Disease Study 2017. Lancet, 2018, vol. 392, no. 10159, pp. 1736–1788. doi: 10.1016/S0140-6736(18)32203-7
- GBD 2017 Disease and Injury Incidence and Prevalence Collaborators. Global, regional, and national incidence, prevalence, and years lived with disability for 354 diseases and injuries for 195 countries and territories, 1990–2017: a systematic analysis for the Global Burden of Disease Study 2017. Lancet, 2018, vol. 392, no. 10159, pp. 1789–1858. doi: 10.1016/S0140-6736(18)32279-7
- Gil-Gil T., Laborda P., Sanz-García F., Hernando-Amado S., Blanco P., Martínez J.L. Antimicrobial resistance: a multifaceted problem with multipronged solutions. Microbiologyopen, 2019, vol. 8, no. 11: e945. doi: 10.1002/mbo3.945
- Gomes T.A.T., Elias W.P., Scaletsky I.C.A., Guth B.E.C., Rodrigues J.F., Piazza R.M.F., Ferreira L.C.S., Martinez M.B. Diarrheagenic Escherichia coli. Brazilian J. Microbiol., 2016, vol. 47, pp. 3–30. doi: 10.1016/j.bjm.2016.10.015
- Hebbelstrup Jensen B., Adler Sørensen C., Hebbelstrup Rye Rasmussen S., Rejkjær Holm D., Friis-Møller A., Engberg J., Mirsepasi-Lauridsen H.C., Struve C., Hammerum A.M., Porsbo L.J., Petersen R.F., Petersen A.M., Krogfelt K.A. Characterization of diarrheagenic enteroaggregative Escherichia coli in Danish adults-antibiotic treatment does not reduce duration of diarrhea. Front. Cell Infect. Microbiol., 2018, vol. 27, no. 8: 306. doi: 10.3389/fcimb.2018.00306
- Ifeanyi C.I., Ikeneche N.F., Bassey B.E., Al-Gallas N., Ben Aissa R., Boudabous A. Diarrheagenic Escherichia coli pathotypes isolated from children with diarrhea in the Federal Capital Territory Abuja, Nigeria. J. Infect. Dev. Ctries, 2015, vol. 9, no. 2, pp. 165–174. doi: 10.3855/jidc.5528
- Iijima Y., Oundo J.O., Hibino T., Saidi S.M., Hinenoya A., Osawa K., Shirakawa T., Osawa R., Yamasaki S. High prevalence of diarrheagenic Escherichia coli among children with diarrhea in Kenya. Jpn J. Infect. Dis., 2017, vol. 70, no. 1, pp. 80–83. doi: 10.7883/yoken.JJID.2016.064
- Jenkins C. Enteroaggregative Escherichia coli. Curr. Top. Microbiol. Immunol., 2018, vol. 416, pp. 27–50. doi: 10.1007/82_2018_105
- Khairy R.M.M., Fathy Z.A., Mahrous D.M., Mohamed E.S., Abdelrahim S.S. Prevalence, phylogeny, and antimicrobial resistance of Escherichia coli pathotypes isolated from children less than 5 years old with community acquired diarrhea in Upper Egypt. BMC Infect. Dis., 2020, vol. 20, no. 1: 908. doi: 10.1186/s12879-020-05664-6
- Lόpez-Vélez R., Lebens M., Bundy L., Barriga J., Steffen R. Bacterial travellers’ diarrhea: a narrative review of literature published over the past 10 years. Travel Med. Infect. Dis., 2022, vol. 47: 102293. doi: 10.1016/j.tmaid.2022.102293
- Magiorakos A.P., Srinivasan A., Carey R.B., Carmeli Y., Falagas M.E., Giske C.G., Harbarth S., Hindler J.F., Kahlmeter G., Olsson-Liljequist B., Paterson D.L., Rice L.B., Stelling J., Struelens M.J., Vatopoulos A., Weber J.T., Monnet D.L. Multidrug-resistant, extensively drug-resistant and pandrug-resistant bacteria: an international expert proposal for interim standard definitions for acquired resistance. Clin. Microbiol. Infect., 2012, vol. 18, no. 3, pp. 268–281. doi: 10.1111/j.1469-0691.2011.03570.x
- Manhique-Coutinho L., Chiani P., Michelacci V., Taviani E., Bauhofer A.F.L., Chissaque A., Cossa-Moiane I., Sambo J., Chilaúle J., Guimarães E.L., Salência J., Cassocera M., Bero D.M., Langa J.P., de Deus N. Molecular characterization of diarrheagenic Escherichia coli isolates from children with diarrhea: A cross-sectional study in four provinces of Mozambique: Diarrheagenic Escherichia coli in Mozambique. Int. J. Infect. Dis., 2022, vol. 121, pp. 190–194. doi: 10.1016/j.ijid.2022.04.054
- Mernie G., Kloos H., Adane M. Prevalence of and factors associated with acute diarrhea among children under five in rural areas in Ethiopia with and without implementation of community-led total sanitation and hygiene. BMC Pediatr., 2022, vol. 22, no. 1: 148. doi: 10.1186/s12887-022-03202-8
- Tang K.W.K., Millar B.C., Moore J.E. Antimicrobial Resistance (AMR). Br. J. Biomed. Sci., 2023, vol. 80: 11387. doi: 10.3389/bjbs.2023.11387
- The World Bank. Under-five deaths data by country. 2019. URL: https://data.worldbank.org/indicator/SH.DTH.MORT (17.07.2023)
- United Nations International Children`s Emergency Fund (UNICEF). Diarrhea. 2022. URL: https://data.unicef.org/topic/child-health/diarrheal-disease (17.07.2023)
- Vorlasane L., Luu M.N., Tiwari R., Imoto A., Sato M., Huy N.T., Kamiya Y., Moji K. The clinical characteristics, etiologic pathogens and the risk factors associated with dehydration status among under-five children hospitalized with acute diarrhea in Savannakhet Province, Lao PDR. PLoS One, 2023, vol. 18, no. 3: e0281650. doi: 10.1371/journal.pone.0281650
- Wolde D., Tilahun G.A., Kotiso K.S., Medhin G., Eguale T. The burden of diarrheal diseases and its associated factors among under-five children in Welkite Town: a community based cross-sectional study. Int. J. Public Health, 2022, vol. 67: 1604960. doi: 10.3389/ijph.2022.1604960
- Workie G.Y., Akalu T.Y., Baraki A.G. Environmental factors affecting childhood diarrheal disease among under-five children in Jamma district, South Wello zone, Northeast Ethiopia. BMC Infect. Dis., 2019, vol. 19, no. 1: 804. doi: 10.1186/s12879-019-4445-x
- WGO. Acute diarrhea in adults and children: a global perspective. 2012. URL: https://www.worldgastroenterology.org/guidelines/acute-diarrhea/acute-diarrhea-english (17.07.2023)
- WHO. Antimicrobial resistance. 17.11.2021. URL: https://www.who.int/news-room/fact-sheets/detail/antimicrobial-resistance (17.07.2023)
- WHO. Diarrheal disease. 02.05.2017. URL: https://www.who.int/news-room/fact-sheets/detail/diarrheal-disease (17.07.2023)
- WHO. Ending preventable child deaths from pneumonia and diarrhea by 2025. The integrated Global Action Plan for Pneumonia and Diarrhea (GAPPD). 2013. URL: https://www.who.int/news/item/13-01-2017-ending-preventable-child-deaths-from-pneumonia-and-diarrhea-by-2025 (17.07.2023)
- WHO. Global Antimicrobial Resistance System (GLASS). URL: https://www.who.int/initiatives/glass (17.07.2023)
- Zhou S.X., Wang L.P., Liu M.Y., Zhang H.Y., Lu Q.B., Shi L.S., Ren X., Wang Y.F., Lin S.H., Zhang C.H., Geng M.J., Zhang X.A., Zhu Y.L., Li Z.J., Fang L.Q., Liu W., Yang W.Z. Characteristics of diarrheagenic Escherichia coli among patients with acute diarrhea in China, 2009–2018. J. Infect., 2021, vol. 83, no. 4, pp. 424–432. doi: 10.1016/j.jinf.2021.08.001





