Urine excreted antibodies significance in the hemorrhagic fever with renal syndrome specific diagnosis
- Authors: Dzagurova T.K.1, Murzabaeva R.T.2, Kutluguzhina F.G.3, Morozov V.G.4, Volnyh E.V.5, Kurashova S.S.1, Balovneva M.V.6, Tkachenko P.E.7, Ishmukhametov A.A.1,7, Belyakova A.V.1, Tkachenko E.A.1
-
Affiliations:
- Chumakov Federal Scientific Center for Research and Development of Immune-and-Biological Products of Russian Academy of Sciences (Institute of Poliomyelitis)
- Bashkir State Medical University, Ministry of Health of Russia
- Republic Clinical Diseases Hospital
- Medical Company “Hepatolog”
- Novokuibyshevsk Central City Hospital
- Chumakov Federal Scientific Center for Research and Development of Immune-and-Biological Products of Russian Academy of Sciences’’ (Institute of Poliomyelitis)
- Sechenov First Moscow State Medical University
- Issue: Vol 12, No 3 (2022)
- Pages: 527-534
- Section: ORIGINAL ARTICLES
- Submitted: 11.11.2021
- Accepted: 13.11.2021
- Published: 04.07.2022
- URL: https://iimmun.ru/iimm/article/view/1822
- DOI: https://doi.org/10.15789/2220-7619-UEA-1822
- ID: 1822
Cite item
Full Text
Abstract
Relevance. Hemorrhagic fever with renal syndrome (HFRS) is an acute viral zoonosis. Being widespread in Eurasia, it holds a leading place in Russia among natural focal human diseases. The vast majority of HFRS cases in Russia, about 98%, are associated with Puumala virus. The disease is characterized by a wide range of clinical manifestations. Early specific diagnostics appears to be of a great importance for starting timely pathogenic therapy. The aim of the study was to clarify the diagnostic value of detecting hantavirus antibodies in the HFRS suspected patient urine. Materials and methods. Blood sera and urine samples from 68 patients at the Infectious Diseases Hospital in the city of Ufa, obtained with a 2-day interval, as well as urine and blood serum samples from 15 convalescents 1, 2, 3 and 6 months after disease onset were examined for hantavirus antibodies. 53 blood sera and urine samples from patients residing in Moscow, Moscow and Samara regions collected at different time points during the disease course were investigated in parallel. Antibodies were detected by the indirect immunofluorescence method. Results. On day 3, 4, 5 and 6 of disease, while specific antibodies were detected in the blood serum, antibodies in the urine were found in 85.7%, 89.4%, 93.1% and 100% of patients, respectively. The peak quantity of antibodies was excreted in the urine from days 5 to 11, which corresponds to the oliguric stage of the disease. In the convalescent period, antibodies were still detected in urine 1, 2 and 3 months afterwards in 86.7%, 46% and 20% of cases, respectively, but not detected 6 months later, which probably reflects the process of long-term restoration of the kidneys function. A moderate positive correlation between specific antibodies in serum and urine was observed only in the oliguric period of the disease. Conclusions. Detection of hantavirus antibodies simultaneously in blood serum and urine of febrile patients instead of paired blood sera allows to conduct HFRS diagnostics within the very first days of hospitalization and prevent severe complications due to timely pathogenic therapy.
Full Text
Введение
Геморрагическая лихорадка с почечным синдромом (ГЛПС) — зоонозное заболевание вирусной природы, широко распространенное в ряде стран Евразии, в России занимает ведущее место среди всех природноочаговых болезней человека.
Возбудители ГЛПС — хантавирусы, в соответствии с современной классификацией, в составе семейства Hantaviridae входят в отряд Bunyavirales.
Около 98% случаев ГЛПС, официально зарегистрированных в Российской Федерации, вызывает вирус Пуумала. Остальные 2% случаев этиологически обусловлены вирусами Хантаан, Амур, Сеул и двумя подтипами Куркино и Сочи вируса Добрава/Белград [4, 16]. Многообразие клинических проявлений, встречающихся в дебюте болезни также при целом ряде других заболеваний, определяет высокую значимость специфической диагностики ГЛПС. Иммунологические методы являются основными в специфической лабораторной диагностике ГЛПС. Использование молекулярных методов (ПЦР) ограничивается коротким периодом виремии, невысоким количественным содержанием вирусной РНК в крови и низкой чувствительностью тест-систем.
Непрямой метод флюоресцирующих антител (МФА) оказался определяющим в открытии возбудителей ГЛПС [15] и одним из первых методов, разработанных для иммунологической диагностики хантавирусных инфекций [1, 6].
К настоящему времени в арсенале диагностических препаратов для серодиагностики хантавирусных инфекций (выявление специфических иммуноглобулинов классов М, G и А) существует большое разнообразие методов иммуноферментного анализа (ИФА), основанных на рекомбинантных антигенах, полученных в различных экспрессионных системах [8, 10, 11, 13, 18]. Разработаны диагностические тест-системы, основанные на методах иммунохроматографии и иммуноблоттинга [7, 12]. Диагностическую значимость для серодиагностики ГЛПС имеет выявление в ранней стадии заболевания специфических IgM-антител, которые в большинстве случаев не определяются через 2–3 месяца после окончания острой фазы заболевания. Вместе с тем, в некоторых случаях продуцирование IgM-антител продолжается и до 2-х лет после острой фазы болезни. Дополнительные проблемы метода ИФА обусловлены неспецифическими реакциями, проявляющимися в виде ложноположительных или ложноотрицательных результатов [9]. В то же время непрямой метод иммунофлюоресценции для выявления антител к хантавирусам остается по-прежнему наиболее специфичным, уступая в этом отношении лишь реакции нейтрализации вируса [9].
Цель исследования — уточнение диагностической значимости выявления специфических антител к хантавирусам в моче у больных с подозрением на ГЛПС.
Материалы и методы
Для определения сроков появления и исчезновения антител к хантавирусам в моче больных ГЛПС были собраны 293 пробы мочи от 68 пациентов, поступивших в ГБУЗ Республиканскую клиническую инфекционную больницу № 4 г. Уфы. От каждого больного собирали от 3 до 6 проб мочи при поступлении и далее с 2-дневным интервалом до выписки из стационара. Помимо материала от больных, были исследованы сыворотки крови и пробы мочи, взятые через 1, 2, 3, 6 месяцев от начала заболевания от 15 реконвалесцентов ГЛПС тоже из г. Уфа. Кроме того, были исследованы сыворотки крови от 53 больных ГЛПС из стационаров Москвы, Московской и Самарской областей, главным образом с целью серотипирования антител для установления видовой принадлежности хантавируса — возбудителя ГЛПС, и пробы мочи, взятые (параллельно с сыворотками крови) в различные сроки от начала болезни.
Исследования на присутствие антихантавирусных антител (суммарно IgM и IgG) проводили методом МФА с использованием поливалентного «Диагностикума ГЛПС» («Диагностикум геморрагической лихорадки с почечным синдромом культуральный, поливалентный для непрямого метода иммунофлюоресценции» производства ФГАНУ «ФНЦИРИП им. М.П. Чумакова РАН») по инструкции производителя. Для серотипирования антител использовали культуральные моновалентные антигенные препараты, приготовленные на основе вирусов Пуумала и Добрава/Белград. Мочу для исследования в МФА предварительно концентрировали в 10 раз. Для этого 1 мл мочи центрифугировали 15 мин при 8000 об/мин, после чего верхние 900 мкл аккуратно удаляли и оставшиеся 100 мкл ресуспендировали. Сконцентрированный образец мочи исследовали в двукратных разведениях, начиная с исходного. Значения количественных данных выражали в виде средних величин ± стандартное отклонение. Статистическую обработку данных проводили с использованием программного обеспечения GraphPad Prism 9.0 (San Diego, CA 92108). Для оценки взаимосвязи величин титра антител в сыворотке крови и моче определяли коэффициент ранговой корреляции Спирмена — rS. В зависимости от знака (+) или (–) корреляцию оценивали как прямую или обратную соответственно. Силу взаимосвязи определяли по величине коэффициента rS. Сила взаимосвязи при rS < 0,19 — очень слабая, rS = 0,2–0,29 — слабая; rS = 0,3–0,49 — умеренная.
Результаты и обсуждение
В результате серологического типирования антител в сыворотках крови больных ГЛПС было установлено, что все исследованные нами случаи ГЛПС были вызваны вирусом Пуумала.
Для определения динамики титра антител в моче проанализировано 345 проб мочи, взятых от 110 больных с 3 по 30 день болезни, в том числе 293 пробы мочи, взятых в динамике от 68 больных (инфекционная больница № 4 г. Уфы). На 3, 4 и 5 день болезни антитела в моче определили у 85,7, 89,4 и 93,1% больных соответственно. С 6 дня болезни антитела в моче определялись у 100% обследованных больных. За период пребывания в стационаре антитела в моче перестали обнаруживаться на 11 день болезни у 1 из 22, на 20 день — у 1 из 40 и у 2 из 26 пациентов на 30-й день болезни (табл. 1).
Таблица 1 Динамика выявления хантавирусных антител в моче больных ГЛПС
Table 1. Dynamics of urine hantavirus-specific antibodies in HFRS patients
День болезни Day after desease oncet | 3 | 4 | 5 | 6 | 7 | 8 | 9 | 10 | 11 | 12–15 | 16–20 | 21–25 | 26–30 | |
Обследовано проб Samples examined | 7 | 19 | 29 | 20 | 31 | 24 | 29 | 26 | 22 | 64 | 40 | 22 | 26 | |
АТ* Ab* | aбс. abs. | 6 | 17 | 27 | 20 | 31 | 24 | 29 | 26 | 21 | 64 | 39 | 22 | 24 |
% | 86 | 89 | 93 | 100 | 100 | 100 | 100 | 100 | 96 | 100 | 97,5 | 100 | 92,3 | |
Примечание. АТ — количество проб с хантавирусными антителами.
Note. Ab — number of samples positive for hantavirus antibodies.
Ранее было показано, что с использованием «Диагностикума ГЛПС» специфические антитела в моче больных ГЛПС, сконцентрированной в 10 раз, обнаруживались в 88,9% случаев с 3 по 21 день от начала лихорадки [5].
В данном исследовании детальный анализ динамики антихантавирусных антител в моче больных ГЛПС показал, что с 6 по 11 день с начала заболевания антитела определялись у 100% больных, а с 12 по 30 день, практически до выписки из стационара, — у 98% больных (табл. 1, рис. 1).
Рисунок 1. Выявление антител к хантавирусам в моче больных и реконвалесцентов ГЛПС
Примечание. Во временном промежутке 12–15, 16–20, 21–25, 26–30 процент проб мочи, содержащих антихантавирусные антитела, подсчитан относительно числа проб, взятых от больных в этом периоде болезни.
Для определения длительности периода экскреции антител с мочой исследовали пробы мочи, взятые от 15 реконвалесцентов через 1, 2, 3 и 6 месяцев от начала заболевания. На фоне незначительного снижения титра антител в крови, присутствие антител в моче выявлено у 13 пациентов (86,7%) через 1 месяц, у 7 пациентов (46,7%) через 2 месяца и у 3 пациентов (20%) через 3 месяца. Как видно из табл. 2, присутствие антител в моче реконвалесцентов ГЛПС к 6-му месяцу от начала заболевания не было установлено.
Таблица 2. Выявление специфических антител в крови и моче реконвалесцентов ГЛПС
Table 2. Hantavirus antibodies detection in the blood and urine of HFRS convalescents
№ пациента Patient’s no. | Титр антител (МФА) Antibody titer (IFA) | |||||||
1 месяц 1month | 2 месяца 2 months | 3 месяца 3 months | 6 месяцев 6 months | |||||
кровь blood | моча urine | кровь blood | моча urine | кровь blood | моча urine | кровь blood | моча urine | |
2 | 32 000 | 8 | 32 000 | 4 | 32 000 | 0 | 32 000 | 0 |
6 | 32 000 | 2 | 32 000 | 4 | 32 000 | 1 | 32 000 | 0 |
7 | 16 000 | 2 | 16 000 | 1 | 16 000 | 2 | 16 000 | 0 |
12 | 64 000 | 4 | 32 000 | 0 | 32 000 | 0 | н/и | n/i | н/и | n/i |
14 | 32 000 | 4 | 32 000 | 0 | 32 000 | 0 | н/и | n/i | н/и | n/i |
19 | 64 000 | 16 | 64 000 | 0 | 64 000 | 0 | н/и | n/i | н/и | n/i |
20 | 32 000 | 4 | 64 000 | 0 | 64 000 | 0 | 64 000 | 0 |
23 | 64 000 | 4 | 64 000 | 8 | 32 000 | 0 | 32 000 | 0 |
26 | 64 000 | 0 | 64 000 | 0 | 1024 | 0 | 1024 | 0 |
28 | 128 000 | 2 | 32 000 | 2 | 32 000 | 2 | 32 000 | 0 |
30 | 64 000 | 8 | 64 000 | 0 | 64 000 | 0 | н/и | n/i | н/и | n/i |
33 | 64 000 | 4 | 32 000 | 4 | 32 000 | 0 | 32 000 | 0 |
45 | 128 000 | 0 | 32 000 | 0 | 32 000 | 0 | н/и | n/i | н/и | n/i |
46 | 32 000 | 2 | 16 000 | 2 | 16 000 | 0 | н/и | n/i | н/и | n/i |
58 | 128 000 | 4 | 64 000 | 0 | 32 000 | 0 | н/и | n/i | н/и | n/i |
АТ в моче Ab in urine | 13/15 (86,7%) | 7/15 (46,7%) | 3/15 (20%) | 0 | ||||
Примечание: н/и — не исследовали.
Note. n/i — not investigated.
С целью определения количественного содержания антител, экскретируемых с мочой, были исследованы методом титрования 345 проб мочи от 83 пациентов. Наиболее высокое содержание выделяемых с мочой специфических иммуноглобулинов отмечали с 5 по 11 сутки от начала лихорадки (рис. 2), что соответствует олигурическому периоду болезни.
Рисунок 2. Зависимость количества экскретируемых с мочой антител от времени, прошедшего с начала заболевания
Примечание. Градация на оси абсцисс имеет условный характер.
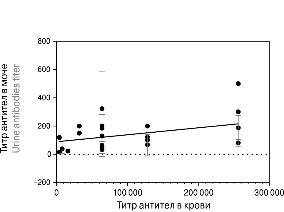
Для уточнения зависимости количества выделяемых с мочой антител от титра антител, циркулирующих в крови пациентов, были параллельно обследованы пробы мочи и крови, взятые в один день. Показано, что в олигурическом периоде болезни имеет место умеренная прямая положительная корреляционная зависимость (rS = 0,4) количественного содержания антител в сыворотке крови и моче (рис. 3). Вероятно, это объясняется тем, что в этот период болезни степень повреждения эндотелия почечных капилляров максимально выражена и количество выделяемых с мочой антител, в большинстве случаев, пропорционально их содержанию в крови. В то же время выявлена незначимая отрицательная корреляционная зависимость (rS = –0,2) количественного содержания антител, обнаруженных в сыворотке крови и моче, собранных в интервале с 11 по 28 день болезни. В этом временном интервале степень повреждения капилляров, а также функциональная способность почек имеют широкий диапазон индивидуальных различий. Так, в отдельных случаях даже при невысоких титрах антител в крови их экскреция с мочой была значительной (сильное повреждение капилляров) и наоборот, незначительное количественное содержание антител в моче наблюдалось при их высоких титрах в крови (незначительное повреждение капилляров и менее выраженное нарушение функции почек), что характерно для периода реконвалесценции.
Рисунок 3. Корреляционная зависимость количественного содержания антител, выявленных в сыворотке крови и моче (n = 46) с 5 по 12 сутки (олигурический период болезни)
Для серологической диагностики инфекционных заболеваний, в том числе ГЛПС, в настоящее время широко используются иммуноферментные тест-системы. В то же время для хантавирусных инфекций по-прежнему высокоактуальным остается применение непрямого метода иммунофлюоресценции. Диагностическая значимость этого метода обусловлена его высокой специфичностью [9, 14] и простотой исполнения. Специфические антитела к хантавирусам — возбудителям ГЛПС, очевидно, сохраняются пожизненно [3, 9]. В этой связи диагностическую значимость имеет 4-кратное нарастание титров антител в парных сыворотках крови, взятых с 2–4-дневным интервалом. Это касается как определения антител в МФА (суммарно IgM и IgG), так и антител классов IgG и IgM, выявляемых иммуноферментными методами. Ввиду того, что к 6–8 дню болезни титры антител к хантавирусам, выявляемых МФА, у большинства пациентов выходят на плато [2], при взятии первой сыворотки крови после 6 дня болезни последующее нарастание титра антител может отсутствовать. В этом случае надежным критерием острого периода хантавирусной инфекции является обнаружение антихантавирусных антител одновременно в крови и моче.
В результате настоящего исследования уточнены сроки выявления антител в моче больных ГЛПС как в остром периоде, так в периоды ранней и поздней реконвалесценции. Установлено, что в периоде реконвалесценции выделение антител с мочой продолжалось через 1, 2 и 3 месяца от начала заболевания в 86,7, 46 и 20% случаев соответственно, и лишь через 6 месяцев ни у одного из обследованных больных антитела в моче не удалось обнаружить. Вероятно, эта закономерность отражает процесс длительного восстановления функциональной способности почек. Как известно, в моче в норме присутствуют лишь следы IgG. Обнаружение специфических антител в моче больных ГЛПС свидетельствует о повышении уровня IgG, что указывает на неизбирательную гломерулопатию или смешанную клубочково-канальцевую патологию [17]. Одновременное обнаружение хантавирусных антител в крови и моче лихорадящих больных с помощью «Диагностикума ГЛПС» является достоверным диагностическим критерием острого периода хантавирусной инфекции, и позволяет установить специфический диагноз при поступлении в стационар на 3, 4, 5, 6–10 день от начала заболевания в 85,7, 89,4, 93,1 и 100% случаев соответственно, не прибегая к исследованию антител в парных сыворотках крови. Ранняя диагностика ГЛПС позволяет своевременно назначать патогенетическую терапию и определять тактику ведения пациентов, что в значительной степени предупреждает развитие тяжелых осложнений и снижает летальность при этой тяжелой инфекции.
About the authors
T. K. Dzagurova
Chumakov Federal Scientific Center for Research and Development of Immune-and-Biological Products of Russian Academy of Sciences (Institute of Poliomyelitis)
Author for correspondence.
Email: centrglps@yandex.ru
ORCID iD: 0000-0002-6656-1682
SPIN-code: 8373-2503
PhD, MD (Medicine), Head of the Laboratory of Hemorrhagic Fevers
Россия, MoscowR. T. Murzabaeva
Bashkir State Medical University, Ministry of Health of Russia
Email: rmurzabaeva@yandex.ru
ORCID iD: 0000-0002-9132-4697
PhD, MD (Medicine), Professor
Россия, UfaF. G. Kutluguzhina
Republic Clinical Diseases Hospital
Email: fagilya1974@gnail.com
ORCID iD: 0000-0002-7908-802X
Head of the Diagnostic Department
Россия, UfaV. G. Morozov
Medical Company “Hepatolog”
Email: viacheslavmorozov@yandex.ru
ORCID iD: 0000-0002-4451-7891
PhD, MD (Medicine), Professor, Director of the Medical Company “Hepatolog”
Россия, SamaraE. V. Volnyh
Novokuibyshevsk Central City Hospital
Email: e.volnykh@bk.ru
Head of the Infectious Diseases Department
Россия, Novokuibyshevsk, Samara RegionS. S. Kurashova
Chumakov Federal Scientific Center for Research and Development of Immune-and-Biological Products of Russian Academy of Sciences (Institute of Poliomyelitis)
Email: svetlanak886@yandex.ru
ORCID iD: 0000-0001-9934-699X
PhD (Medicine), Leading Researcher, Laboratory of Hemorrhagic Fevers
Россия, MoscowM. V. Balovneva
Chumakov Federal Scientific Center for Research and Development of Immune-and-Biological Products of Russian Academy of Sciences’’ (Institute of Poliomyelitis)
Email: machasm@yandex.ru
ORCID iD: 0000-0003-2198-7521
PhD (Biology), Leading Researcher, Laboratory of Hemorrhagic Fevers
Россия, MoscowP. E. Tkachenko
Sechenov First Moscow State Medical University
Email: dr.ptk@mail.ru
ORCID iD: 0000-0002-0605-323X
PhD (Medicine), Assistant Professor, Department of Internal Diseases Propaedeutics
Россия, MoscowA. A. Ishmukhametov
Chumakov Federal Scientific Center for Research and Development of Immune-and-Biological Products of Russian Academy of Sciences (Institute of Poliomyelitis); Sechenov First Moscow State Medical University
Email: aishmukhametov@gmail.com
ORCID iD: 0000-0001-6130-4145
RAS Full Member, PhD, MD (Medicine), Professor, General Director, Chumakov Federal Scientific Center for Research and Development of Immune-and-Biological Products of Russian Academy of Sciences (Institute of Poliomyelitis); Head of the Department of Organization and Research of Immunobiological Technologies
Россия, Moscow; MoscowA. V. Belyakova
Chumakov Federal Scientific Center for Research and Development of Immune-and-Biological Products of Russian Academy of Sciences (Institute of Poliomyelitis)
Email: belyakowa.all@yandex.ru
ORCID iD: 0000-0003-4363-6394
PhD (Biology), Senior Researcher, Laboratory of Hemorrhagic Fevers
Россия, MoscowE. A. Tkachenko
Chumakov Federal Scientific Center for Research and Development of Immune-and-Biological Products of Russian Academy of Sciences (Institute of Poliomyelitis)
Email: evgeniytkach@mail.ru
ORCID iD: 0000-0002-6829-1241
PhD, MD (Medicine), Professor, Scientific Supervisor
Россия, MoscowReferences
- Дзагурова Т.К., Лещинская Е.В., Ткаченко Е.А., Мясников Ю.А., Загидуллин И.М. Серологическое обследование больных геморрагической лихорадкой с почечным синдромом в Европейской части СССР // Вопросы вирусологии. 1983. № 6. С. 676–680. [Dzagurova T.K., Leshchinskaya E.V., Tkachenko E.A., Miasnikov Iu.A., Zagidullin I.M. Serological investigation of hemorrhagic fever with renal syndrome patients in the European part of the USSR. Voprosy Virusologii = Problems of Virology, 1983, no. 6, pp. 676–680. (In Russ.)]
- Дзагурова Т.К., Ткаченко Е.А., Петров В.А. Эффективность применения культуральных антигенов для серодиагностики ГЛПС с помощью метода иммунофлюоресценции // Вопросы вирусологии. 1988. № 1. С. 71–75. [Dzagurova T.K., Tkachenko E.A., Petrov V.A. The effectiveness of culture antigens for HFRS serodiagnostics by means of the immunofluorescence method. Voprosy Virusologii = Problems of Virology, 1988, no. 1, pp. 71–75. (In Russ.)]
- Мясников Ю.А., Дзагурова Т.К., Ткаченко Е.А., Резапкин Г.В., Савельева Р.А., Степаненко А.Г., Нургалеева Р.Г., Игнатов В.Я. О сроках сохранения антител у реконвалесцентов после геморрагической лихорадки с почечным синдромом в европейских очагах инфекции // Журнал микробиологии, эпидемиологии и иммунобиологии. 1986. № 6. С. 78–80. [Myasnikov Yu.A., Dzagurova T.K., Tkachenko E.A., Rezapkin G.V., Savelyeva R.A., Stepanenko A.G., Nurgaleeva R.G., Ignatov V.Ya. On the time of preservation of the antibody in convalescents after hemorrhagic fever with the renal syndrome in European foci of infection. Zhurnal mikrobiologii, epidemiologii i immunobiologii = Journal of Microbiology, Epidemiology and Immunobiology, 1986, no. 6, pp. 78–80. (In Russ.)]
- Федеральная служба по надзору в сфере защиты прав потребителей и благополучия человека. Инфекционная заболеваемость в Российской Федерации. [Federal Service for Supervision of Consumer Rights Protection and Human Welfare. Infectious morbidity in the Russian Federation]. URL: https://www.rospotrebnadzor.ru/activities/statistics-materials
- Шутов А.М., Потрашкова К.И., Прокаева П.К., Лесников И.Р. Диагностическое значение определения в моче антител к вирусу геморрагической лихорадки с почечным синдромом // Терапевтический архив. 1996. Т. 68, № 11. С. 35–37. [Shutov A.M., Potrashkova K.I., Prokaeva P.K., Lesnikov I.R. Diagnostic value of antibodies determination in the urine of hemorrhagic fever with renal syndrome patients. Terapevticheskii arkhiv = Therapeutic Archive, 1996, vol. 68, no. 11, pp. 35–37. (In Russ.)]
- Brummer-Korvenkontio M., Vaheri A., Hovi T., Bonsdorff C.H., Vuorimies J., Manni T., Penttinen K., Oker-Blom N., Lähdevirta J. Nephropathia epidemica: detection of antigen in bank voles and serologic diagnosis of human infection. J. Infect. Dis., 1980, no. 41, pp. 131–134. doi: 10.1093/infdis/141.2.131
- Ivanov A., Vapalahti O., Lankinen H., Tkachenko E., Vaheri A., Niklasson B., Lundkvist Å. Biotin-labeled antigen: a novel approach for detection of Puumala virus-specific IgM. J. Virol. Methods, 1996, no. 62, pp. 87–92. doi: 10.1016/0166-0934(96) 02090-3
- Hujakka H., Koistinen V., Eerikainen P., Kuronen I., Laatikainen A., Kauppinen J., Vaheri A., Vapalahti O., Närvänen A. Comparison of a new immunochromatographic rapid test with a commercial EIA for the detection of Puumala virus specific IgM antibodies. J. Clin. Virol., 2001, no. 23, pp. 79–85. doi: 10.1016/s1386-6532(01)00191-3
- Kruger D.H., Figueiredo L.T.M., Song J.-W., Klempa B. Hantaviruses — globally emerging pathogens. J. Clin. Virol., 2014, no. 64, pp. 128–136. doi: 10.1016/j.jcv.2014.08.033
- Lee H.W., Lee P.W., Johnson K.M. Isolation of the etiologic agent of Korean hemorrhagic fever. J. Infect. Dis., 1978, vol. 137, no. 3, pp. 298–308. doi: 10.1093/infdis/137.3.298
- Meisel H., Wolbert A., Razanskiene A., Marg A., Kazaks A., Sasnauskas K., Pauli G., Ulrich R., Krüger D.H. Development of novel immunoglobulin G (IgG), IgA, and IgM enzyme immunoassays based on recombinant Puumala and Dobrava hantavirus nucleocapsid proteins. Clin. Vaccine Immunol., 2006, no. 3, pp. 1349–1357. doi: 10.1128/CVI.00208-06
- Schmaljohn C.S., Chu Y.K., Schmaljohn A.L., Dalrymple J.M. Antigenic subunits of Hantaan virus expressed by Baculovirus and vaccinia virus recombinants. J. Virol., 1990, vol. 64, no. 7, pp. 3162–3170. doi: 10.1128/JVI.64.7.3162-3170.1990
- Schubert J., Tollmann F., Weissbrich B. Evaluation of a pan-reactive hantavirus enzyme immunoassay and of a hantavirus immunoblot for the diagnosis of nephropathia epidemica. J. Clin. Virol., 2001, no. 21, pp. 63–74. doi: 10.1016/s1386-6532(00)00187-6
- Sjolander K.B., Elgh F., Kallio-Kokko H., Vapalahti O., Hägglund M., Palmcrantz V., Juto P., Vaheri A., Niklasson B., Lundkvist Å. Evaluation of serological methods for diagnosis of Puumala hantavirus infection (nephropathia epidemica). J. Clin. Microbiol., 1997. vol. 35, no. 2, pp. 3264–3268. doi: 10.1128/JCM.35.12.3264-3268.1997
- Sonnenberg K., Stoecker W., Lundkvist Å., Vaheri A., Vapalahti O., Chan P.K., Feldmann H., Dick D., Schmidt-Chanasit J., Padula P., Vial P.A., Panculescu-Gatej R., Ceianu C., Heyman P., Avšič-Županc T., Niedrig M. Immunofluorescence assay for the simultaneous detection of antibodies against clinically important old and new world hantaviruses. PLoS Negl. Trop. Dis., 2013, vol. 7, no. 4: e2157. doi: 10.1371/journal.pntd.0002157
- Tkachenko E.A., Ishmukhametov A.A., Dzagurova T.K., Bernshtein A.D., Morozov V.G., Siniugina A.A., Kurashova S.S., Balkina A.S., Tkachenko P.E., Kruger D.H., Klempa B. Hemorrhagic fever with renal syndrome, Russia. Emerg. Infect. Dis., 2019, vol. 25, no. 12, pp. 2325–2328. doi: 10.3201/eid2512.181649
- Waller K.V., Ward K.M., Mahan J.D., Wismatt D.K. Current concepts in proteinuria. Clin. Chem., 1989, vol. 35, no. 5, pp. 755–765.
- Zoller L.G., Yang S., Got P., Darai G. A novel mu-capture enzyme-linked immunosorbent assay based on recombinant proteins for sensitive and specific diagnosis of hemorrhagic fever with renal syndrome. J. Clin. Microbiol., 1993, vol. 31, no. 5, pp. 1194–1199. doi: 10.1128/JCM.31.5.1194-1199.1993
Supplementary files







